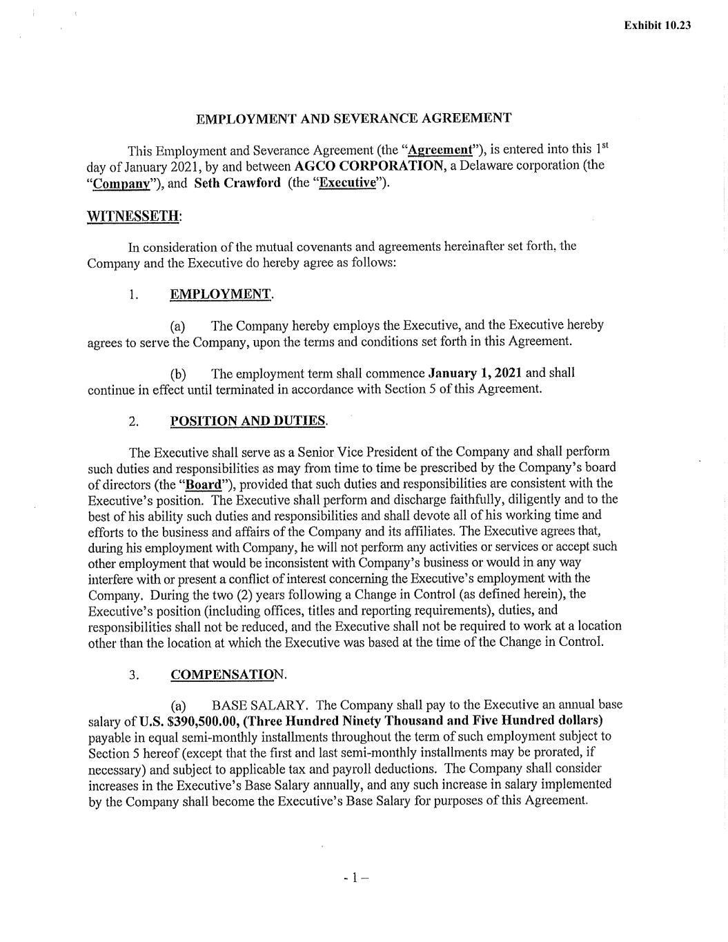
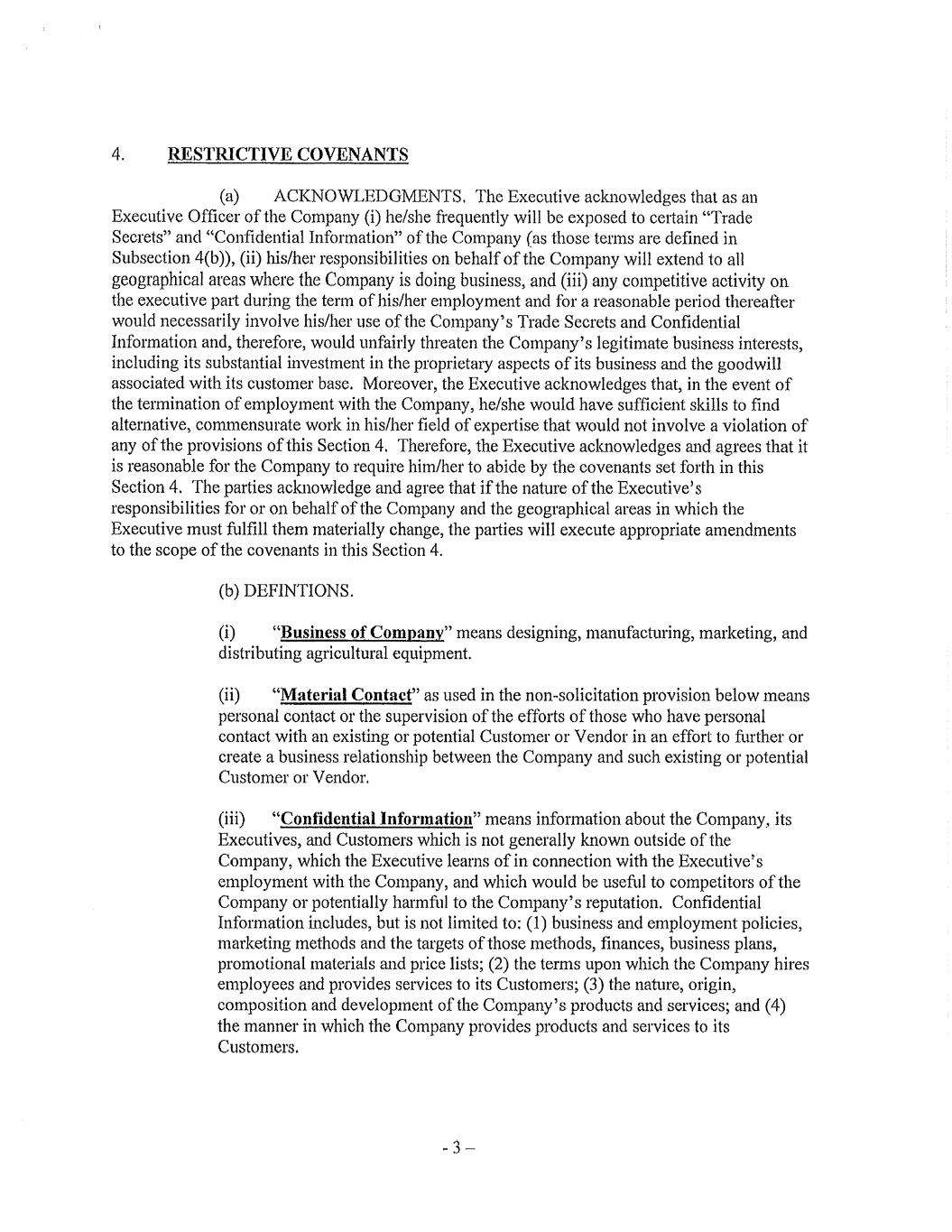
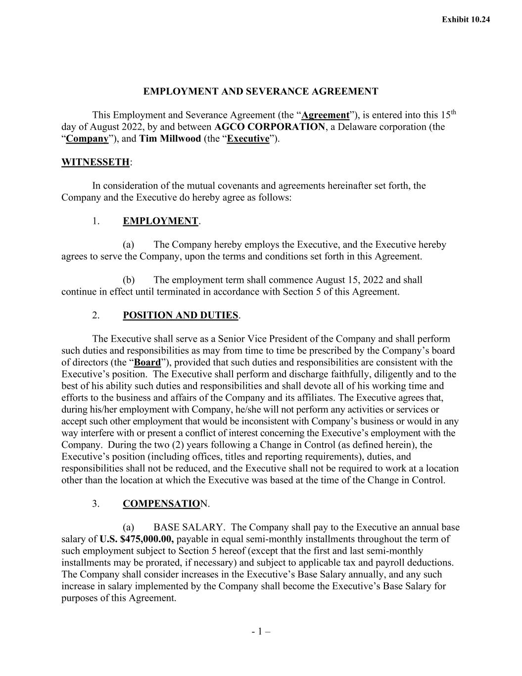
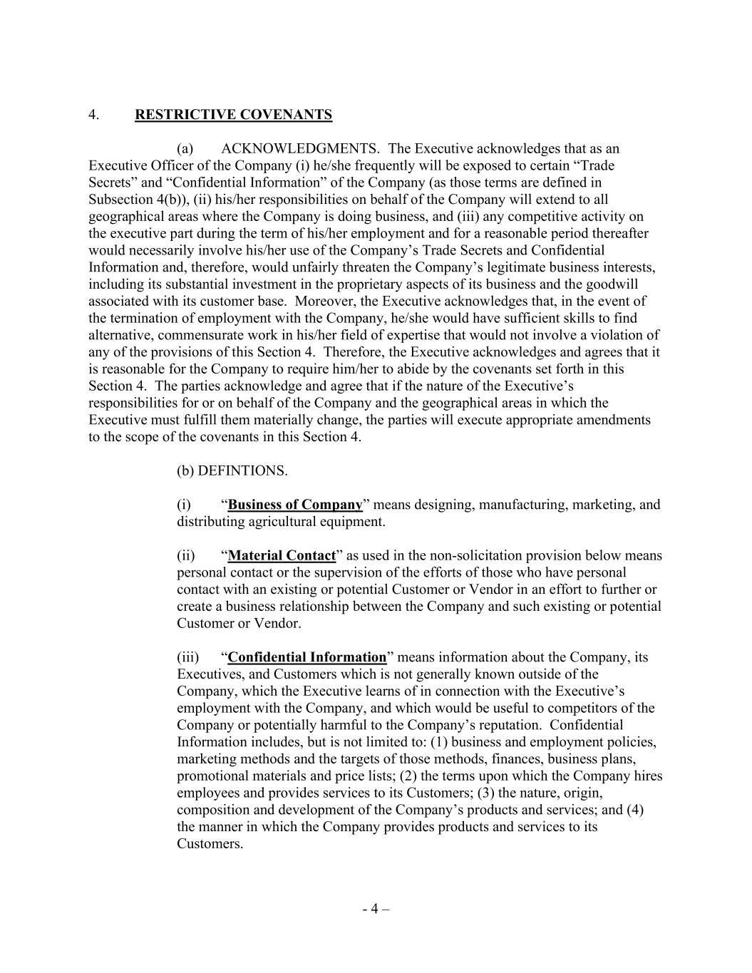
agco-20241231
AGCO CORP /DE00008802662024FYfalsehttp://fasb.org/us-gaap/2024#AccountingStandardsUpdate201613MemberP5YP3YP5YP1MP4YP3Yhttp://fasb.org/us-gaap/2024#OtherAssetImpairmentChargesP1YP3Yhttp://fasb.org/us-gaap/2024#AccountsPayableCurrenthttp://fasb.org/us-gaap/2024#AccountsPayableCurrenthttp://fasb.org/us-gaap/2024#RestructuringCostshttp://fasb.org/us-gaap/2024#RestructuringCostshttp://fasb.org/us-gaap/2024#RestructuringCostshttp://fasb.org/us-gaap/2024#OtherAssetsCurrenthttp://fasb.org/us-gaap/2024#AccruedLiabilitiesCurrenthttp://fasb.org/us-gaap/2024#OtherAssetsCurrenthttp://fasb.org/us-gaap/2024#AccruedLiabilitiesCurrenthttp://fasb.org/us-gaap/2024#OtherLiabilitiesNoncurrenthttp://fasb.org/us-gaap/2024#OtherAssetsNoncurrenthttp://fasb.org/us-gaap/2024#OtherAssetsCurrenthttp://fasb.org/us-gaap/2024#AccruedLiabilitiesCurrenthttp://fasb.org/us-gaap/2024#AccruedLiabilitiesCurrenthttp://fasb.org/us-gaap/2024#OtherAssetsCurrenthttp://fasb.org/us-gaap/2024#OtherLiabilitiesNoncurrenthttp://fasb.org/us-gaap/2024#OtherAssetsNoncurrenthttp://fasb.org/us-gaap/2024#AccruedLiabilitiesCurrenthttp://fasb.org/us-gaap/2024#OtherAssetsCurrent33.3333.3333.331.51.5http://fasb.org/us-gaap/2024#PropertyPlantAndEquipmentAndFinanceLeaseRightOfUseAssetAfterAccumulatedDepreciationAndAmortizationhttp://fasb.org/us-gaap/2024#PropertyPlantAndEquipmentAndFinanceLeaseRightOfUseAssetAfterAccumulatedDepreciationAndAmortizationhttp://fasb.org/us-gaap/2024#AccruedLiabilitiesCurrenthttp://fasb.org/us-gaap/2024#AccruedLiabilitiesCurrenthttp://fasb.org/us-gaap/2024#OtherLiabilitiesCurrenthttp://fasb.org/us-gaap/2024#OtherLiabilitiesCurrenthttp://fasb.org/us-gaap/2024#OtherLiabilitiesNoncurrenthttp://fasb.org/us-gaap/2024#OtherLiabilitiesNoncurrent1111iso4217:USDxbrli:sharesiso4217:USDxbrli:sharesagco:dealer_and_distributoriso4217:TRYiso4217:ARSxbrli:pureagco:assetagco:reporting_unitiso4217:EURagco:loan_agreementiso4217:CHFagco:agreementiso4217:BRLagco:planagco:segment00008802662024-01-012024-12-3100008802662024-06-3000008802662025-02-1000008802662023-01-012023-12-3100008802662022-01-012022-12-3100008802662024-12-3100008802662023-12-310000880266us-gaap:CommonStockMember2021-12-310000880266us-gaap:AdditionalPaidInCapitalMember2021-12-310000880266us-gaap:RetainedEarningsMember2021-12-310000880266us-gaap:AccumulatedOtherComprehensiveIncomeMember2021-12-310000880266us-gaap:NoncontrollingInterestMember2021-12-3100008802662021-12-310000880266us-gaap:RetainedEarningsMember2022-01-012022-12-310000880266us-gaap:NoncontrollingInterestMember2022-01-012022-12-310000880266us-gaap:CommonStockMember2022-01-012022-12-310000880266us-gaap:AdditionalPaidInCapitalMember2022-01-012022-12-310000880266us-gaap:AccumulatedOtherComprehensiveIncomeMember2022-01-012022-12-310000880266us-gaap:CommonStockMember2022-12-310000880266us-gaap:AdditionalPaidInCapitalMember2022-12-310000880266us-gaap:RetainedEarningsMember2022-12-310000880266us-gaap:AccumulatedOtherComprehensiveIncomeMember2022-12-310000880266us-gaap:NoncontrollingInterestMember2022-12-3100008802662022-12-310000880266us-gaap:RetainedEarningsMember2023-01-012023-12-310000880266us-gaap:NoncontrollingInterestMember2023-01-012023-12-310000880266srt:CumulativeEffectPeriodOfAdoptionAdjustmentMemberus-gaap:RetainedEarningsMember2022-12-310000880266srt:CumulativeEffectPeriodOfAdoptionAdjustmentMember2022-12-310000880266us-gaap:CommonStockMember2023-01-012023-12-310000880266us-gaap:AdditionalPaidInCapitalMember2023-01-012023-12-310000880266us-gaap:AccumulatedOtherComprehensiveIncomeMember2023-01-012023-12-310000880266us-gaap:CommonStockMember2023-12-310000880266us-gaap:AdditionalPaidInCapitalMember2023-12-310000880266us-gaap:RetainedEarningsMember2023-12-310000880266us-gaap:AccumulatedOtherComprehensiveIncomeMember2023-12-310000880266us-gaap:NoncontrollingInterestMember2023-12-310000880266us-gaap:RetainedEarningsMember2024-01-012024-12-310000880266us-gaap:CommonStockMember2024-01-012024-12-310000880266us-gaap:AdditionalPaidInCapitalMember2024-01-012024-12-310000880266us-gaap:NoncontrollingInterestMember2024-01-012024-12-310000880266us-gaap:AccumulatedOtherComprehensiveIncomeMember2024-01-012024-12-310000880266us-gaap:CommonStockMember2024-12-310000880266us-gaap:AdditionalPaidInCapitalMember2024-12-310000880266us-gaap:RetainedEarningsMember2024-12-310000880266us-gaap:AccumulatedOtherComprehensiveIncomeMember2024-12-310000880266us-gaap:NoncontrollingInterestMember2024-12-310000880266country:TRsrt:SubsidiariesMember2024-01-012024-12-310000880266country:TRsrt:SubsidiariesMember2024-12-310000880266country:TRsrt:SubsidiariesMembercurrency:TRY2024-12-310000880266country:ARsrt:SubsidiariesMember2024-01-012024-12-310000880266country:ARsrt:SubsidiariesMember2024-12-310000880266country:ARcurrency:ARS2024-12-310000880266country:ARagco:AGCOCapitalArgentinaSAMember2024-12-310000880266srt:MinimumMemberus-gaap:BuildingAndBuildingImprovementsMember2024-12-310000880266srt:MaximumMemberus-gaap:BuildingAndBuildingImprovementsMember2024-12-310000880266srt:MinimumMemberus-gaap:MachineryAndEquipmentMember2024-12-310000880266srt:MaximumMemberus-gaap:MachineryAndEquipmentMember2024-12-310000880266srt:MinimumMemberus-gaap:FurnitureAndFixturesMember2024-12-310000880266srt:MaximumMemberus-gaap:FurnitureAndFixturesMember2024-12-310000880266srt:MinimumMember2024-01-012024-12-310000880266srt:MaximumMember2024-01-012024-12-310000880266agco:LargeSeasonalProductsMembersrt:MaximumMember2024-01-012024-12-310000880266agco:UnitedStatesAndCanadaMemberagco:EquipmentSalesMember2024-01-012024-12-310000880266agco:UnitedStatesAndCanadaMemberagco:ReplacementPartSalesMember2024-01-012024-12-310000880266agco:InternationalMemberagco:EquipmentSalesMembersrt:MinimumMember2024-01-012024-12-310000880266agco:InternationalMemberagco:EquipmentSalesMembersrt:MaximumMember2024-01-012024-12-310000880266agco:InternationalMemberagco:ReplacementPartSalesMembersrt:MinimumMember2024-01-012024-12-310000880266agco:InternationalMemberagco:ReplacementPartSalesMembersrt:MaximumMember2024-01-012024-12-310000880266agco:InternationalMemberagco:LargeSeasonalProductsMembersrt:MaximumMember2024-01-012024-12-310000880266agco:UnitedStatesAndCanadaMemberagco:GrainStorageAndProteinProductionSystemsMember2024-01-012024-12-310000880266srt:NorthAmericaMember2024-01-012024-12-310000880266srt:SouthAmericaMember2024-01-012024-12-310000880266agco:EMEMember2024-01-012024-12-310000880266agco:APAMember2024-01-012024-12-310000880266us-gaap:AccountsReceivableMemberus-gaap:SalesReturnsAndAllowancesMember2024-12-310000880266us-gaap:AccountsReceivableMemberus-gaap:SalesReturnsAndAllowancesMember2023-12-310000880266us-gaap:AccountsReceivableMemberus-gaap:AllowanceForCreditLossMember2024-12-310000880266us-gaap:AccountsReceivableMemberus-gaap:AllowanceForCreditLossMember2023-12-310000880266us-gaap:AccountsReceivableMember2024-12-310000880266us-gaap:AccountsReceivableMember2023-12-310000880266us-gaap:AllowanceForCreditLossMember2023-12-310000880266us-gaap:AllowanceForCreditLossMember2024-01-012024-12-310000880266us-gaap:AllowanceForCreditLossMember2024-12-310000880266us-gaap:AllowanceForCreditLossMember2022-12-310000880266us-gaap:AllowanceForCreditLossMember2023-01-012023-12-310000880266us-gaap:AllowanceForCreditLossMember2021-12-310000880266us-gaap:AllowanceForCreditLossMember2022-01-012022-12-310000880266agco:PTxTrimbleNorthAmericaMember2024-01-012024-12-310000880266agco:GoodwillImpairmentLossMember2024-12-310000880266srt:MinimumMember2024-12-310000880266srt:MaximumMember2024-12-310000880266agco:TechnologyAndPatentsMember2024-01-012024-12-310000880266us-gaap:CustomerRelationshipsMember2024-01-012024-12-310000880266us-gaap:TrademarksAndTradeNamesMember2024-01-012024-12-310000880266us-gaap:OtherIntangibleAssetsMember2024-01-012024-12-310000880266us-gaap:TrademarksMember2024-12-310000880266us-gaap:SellingGeneralAndAdministrativeExpensesMember2024-01-012024-12-310000880266us-gaap:SellingGeneralAndAdministrativeExpensesMember2023-01-012023-12-310000880266us-gaap:SellingGeneralAndAdministrativeExpensesMember2022-01-012022-12-310000880266us-gaap:AccumulatedDefinedBenefitPlansAdjustmentMember2024-01-012024-12-310000880266us-gaap:AccumulatedDefinedBenefitPlansAdjustmentAttributableToNoncontrollingInterestMember2024-01-012024-12-310000880266us-gaap:AccumulatedGainLossNetCashFlowHedgeParentMember2024-01-012024-12-310000880266us-gaap:AccumulatedGainLossNetCashFlowHedgeNoncontrollingInterestMember2024-01-012024-12-310000880266us-gaap:AccumulatedTranslationAdjustmentMember2024-01-012024-12-310000880266us-gaap:AccumulatedForeignCurrencyAdjustmentAttributableToNoncontrollingInterestMember2024-01-012024-12-310000880266us-gaap:AociAttributableToNoncontrollingInterestMember2024-01-012024-12-310000880266us-gaap:AccumulatedDefinedBenefitPlansAdjustmentMember2023-01-012023-12-310000880266us-gaap:AccumulatedDefinedBenefitPlansAdjustmentAttributableToNoncontrollingInterestMember2023-01-012023-12-310000880266us-gaap:AccumulatedGainLossNetCashFlowHedgeParentMember2023-01-012023-12-310000880266us-gaap:AccumulatedGainLossNetCashFlowHedgeNoncontrollingInterestMember2023-01-012023-12-310000880266us-gaap:AccumulatedTranslationAdjustmentMember2023-01-012023-12-310000880266us-gaap:AccumulatedForeignCurrencyAdjustmentAttributableToNoncontrollingInterestMember2023-01-012023-12-310000880266us-gaap:AociAttributableToNoncontrollingInterestMember2023-01-012023-12-310000880266us-gaap:AccumulatedDefinedBenefitPlansAdjustmentMember2022-01-012022-12-310000880266us-gaap:AccumulatedDefinedBenefitPlansAdjustmentAttributableToNoncontrollingInterestMember2022-01-012022-12-310000880266us-gaap:AccumulatedGainLossNetCashFlowHedgeParentMember2022-01-012022-12-310000880266us-gaap:AccumulatedGainLossNetCashFlowHedgeNoncontrollingInterestMember2022-01-012022-12-310000880266us-gaap:AccumulatedTranslationAdjustmentMember2022-01-012022-12-310000880266us-gaap:AccumulatedForeignCurrencyAdjustmentAttributableToNoncontrollingInterestMember2022-01-012022-12-310000880266us-gaap:AociAttributableToNoncontrollingInterestMember2022-01-012022-12-310000880266agco:SubsidiariesPTxTrimbleLLCMember2024-04-012024-04-010000880266agco:OneAgMember2024-04-012024-04-010000880266agco:PTxTrimbleLLCMember2024-04-010000880266agco:OneAgMember2024-01-012024-12-310000880266agco:OneAgMember2024-04-010000880266agco:OneAgMemberagco:MeasurementInputExerciseDateMember2024-04-010000880266agco:OneAgMemberus-gaap:DevelopedTechnologyRightsMember2024-04-012024-12-310000880266us-gaap:DevelopedTechnologyRightsMembersrt:MinimumMember2024-04-010000880266us-gaap:DevelopedTechnologyRightsMembersrt:MaximumMember2024-04-010000880266agco:OneAgMemberus-gaap:CustomerRelationshipsMember2024-04-012024-12-310000880266us-gaap:CustomerRelationshipsMember2024-04-010000880266agco:OneAgMemberus-gaap:TradeNamesMember2024-04-012024-12-310000880266us-gaap:TradeNamesMember2024-04-010000880266agco:OneAgMemberagco:FavorableContractsMember2024-04-012024-12-310000880266agco:FavorableContractsMembersrt:MinimumMember2024-04-010000880266agco:FavorableContractsMembersrt:MaximumMember2024-04-010000880266agco:OneAgMember2023-01-012023-12-310000880266agco:SubsidiariesPTxTrimbleLLCMember2024-04-012024-12-310000880266us-gaap:DisposalGroupDisposedOfBySaleNotDiscontinuedOperationsMemberagco:GrainProteinGPMember2024-11-010000880266us-gaap:DisposalGroupDisposedOfBySaleNotDiscontinuedOperationsMemberagco:GrainProteinGPMember2024-11-012024-11-010000880266us-gaap:DisposalGroupDisposedOfBySaleNotDiscontinuedOperationsMember2024-11-010000880266us-gaap:LandMember2024-12-310000880266us-gaap:LandMember2023-12-310000880266us-gaap:BuildingAndBuildingImprovementsMember2024-12-310000880266us-gaap:BuildingAndBuildingImprovementsMember2023-12-310000880266us-gaap:MachineryAndEquipmentMember2024-12-310000880266us-gaap:MachineryAndEquipmentMember2023-12-310000880266us-gaap:FurnitureAndFixturesMember2024-12-310000880266us-gaap:FurnitureAndFixturesMember2023-12-310000880266agco:UnitedStatesCanadaEuropeandBrazilMember2024-12-310000880266agco:UnitedStatesCanadaEuropeandBrazilMember2023-12-310000880266us-gaap:TradeAccountsReceivableMember2024-12-310000880266us-gaap:TradeAccountsReceivableMember2023-12-310000880266us-gaap:OtherExpenseMember2024-01-012024-12-310000880266us-gaap:OtherExpenseMember2023-01-012023-12-310000880266us-gaap:OtherExpenseMember2022-01-012022-12-310000880266srt:NorthAmericaMember2022-12-310000880266srt:SouthAmericaMember2022-12-310000880266agco:EMEMember2022-12-310000880266agco:APAMember2022-12-310000880266srt:NorthAmericaMember2023-01-012023-12-310000880266srt:SouthAmericaMember2023-01-012023-12-310000880266agco:EMEMember2023-01-012023-12-310000880266agco:APAMember2023-01-012023-12-310000880266srt:NorthAmericaMember2023-12-310000880266srt:SouthAmericaMember2023-12-310000880266agco:EMEMember2023-12-310000880266agco:APAMember2023-12-310000880266srt:NorthAmericaMember2024-12-310000880266srt:SouthAmericaMember2024-12-310000880266agco:EMEMember2024-12-310000880266agco:APAMember2024-12-310000880266us-gaap:TrademarksAndTradeNamesMember2022-12-310000880266us-gaap:CustomerRelationshipsMember2022-12-310000880266agco:TechnologyAndPatentsMember2022-12-310000880266us-gaap:OtherIntangibleAssetsMember2022-12-310000880266us-gaap:TrademarksAndTradeNamesMember2023-01-012023-12-310000880266us-gaap:CustomerRelationshipsMember2023-01-012023-12-310000880266agco:TechnologyAndPatentsMember2023-01-012023-12-310000880266us-gaap:OtherIntangibleAssetsMember2023-01-012023-12-310000880266us-gaap:TrademarksAndTradeNamesMember2023-12-310000880266us-gaap:CustomerRelationshipsMember2023-12-310000880266agco:TechnologyAndPatentsMember2023-12-310000880266us-gaap:OtherIntangibleAssetsMember2023-12-310000880266agco:IntangibleAssetsExcludingIntellectualPropertyMember2024-01-012024-12-310000880266us-gaap:TrademarksAndTradeNamesMember2024-12-310000880266us-gaap:CustomerRelationshipsMember2024-12-310000880266agco:TechnologyAndPatentsMember2024-12-310000880266us-gaap:OtherIntangibleAssetsMember2024-12-310000880266us-gaap:TrademarksAndTradeNamesMember2022-12-310000880266us-gaap:TrademarksAndTradeNamesMember2023-01-012023-12-310000880266us-gaap:TrademarksAndTradeNamesMember2023-12-310000880266us-gaap:TrademarksAndTradeNamesMember2024-01-012024-12-310000880266us-gaap:TrademarksAndTradeNamesMember2024-12-310000880266agco:IntangibleAssetsExcludingIntellectualPropertyMember2023-01-012023-12-310000880266agco:IntangibleAssetsExcludingIntellectualPropertyMember2022-01-012022-12-310000880266us-gaap:ComputerSoftwareIntangibleAssetMemberagco:GrainProteinGPMemberus-gaap:DisposalGroupDisposedOfBySaleNotDiscontinuedOperationsMember2024-11-010000880266agco:FinanceJointVenturesMember2024-12-310000880266agco:FinanceJointVenturesMember2023-12-310000880266agco:ManufacturingJointVenturesMember2024-12-310000880266agco:ManufacturingJointVenturesMember2023-12-310000880266agco:OtherJointVenturesMember2024-12-310000880266agco:OtherJointVenturesMember2023-12-310000880266agco:FinanceJointVenturesMember2024-01-012024-12-310000880266agco:FinanceJointVenturesMember2023-01-012023-12-310000880266agco:FinanceJointVenturesMember2022-01-012022-12-310000880266agco:ManufacturingAndOtherJointVenturesMember2024-01-012024-12-310000880266agco:ManufacturingAndOtherJointVenturesMember2023-01-012023-12-310000880266agco:ManufacturingAndOtherJointVenturesMember2022-01-012022-12-310000880266us-gaap:EquityMethodInvestmentNonconsolidatedInvesteeOrGroupOfInvesteesMember2024-12-310000880266us-gaap:EquityMethodInvestmentNonconsolidatedInvesteeOrGroupOfInvesteesMember2023-12-310000880266us-gaap:EquityMethodInvestmentNonconsolidatedInvesteeOrGroupOfInvesteesMember2024-01-012024-12-310000880266us-gaap:EquityMethodInvestmentNonconsolidatedInvesteeOrGroupOfInvesteesMember2023-01-012023-12-310000880266us-gaap:EquityMethodInvestmentNonconsolidatedInvesteeOrGroupOfInvesteesMember2022-01-012022-12-310000880266srt:AffiliatedEntityMember2024-12-310000880266srt:AffiliatedEntityMember2023-12-310000880266agco:RussianFinanceJointVentureMember2022-01-012022-12-310000880266agco:RevolvingCreditFacilityAndTermLoanExpires2027Memberus-gaap:RevolvingCreditFacilityMemberus-gaap:LineOfCreditMember2024-12-310000880266agco:RevolvingCreditFacilityAndTermLoanExpires2027Memberus-gaap:RevolvingCreditFacilityMemberus-gaap:LineOfCreditMember2023-12-310000880266agco:SeniorNotesDue2027Memberus-gaap:SeniorNotesMember2024-03-210000880266agco:SeniorNotesDue2027Memberus-gaap:SeniorNotesMember2024-12-310000880266agco:SeniorNotesDue2027Memberus-gaap:SeniorNotesMember2023-12-310000880266agco:SeniorNotesDue2034Memberus-gaap:SeniorNotesMember2024-03-210000880266agco:SeniorNotesDue2034Memberus-gaap:SeniorNotesMember2024-12-310000880266agco:SeniorNotesDue2034Memberus-gaap:SeniorNotesMember2023-12-310000880266agco:A0800SeniorNotesDue2028Memberus-gaap:SeniorNotesMember2021-10-060000880266agco:A0800SeniorNotesDue2028Memberus-gaap:SeniorNotesMember2024-12-310000880266agco:A0800SeniorNotesDue2028Memberus-gaap:SeniorNotesMember2023-12-310000880266agco:A1.002SeniorNotesDue2025Memberus-gaap:SeniorNotesMember2019-01-250000880266agco:A1.002SeniorNotesDue2025Memberus-gaap:SeniorNotesMember2024-12-310000880266agco:A1.002SeniorNotesDue2025Memberus-gaap:SeniorNotesMember2023-12-310000880266agco:EuropeanInvestmentBankEIBSeniorTermLoanDue2029Memberagco:MultiCurrencyFinanceContractMember2024-12-310000880266agco:EuropeanInvestmentBankEIBSeniorTermLoanDue2029Memberagco:MultiCurrencyFinanceContractMember2023-12-310000880266agco:EuropeanInvestmentBankEIBMultiCurrencyFacilityDue2030Memberagco:MultiCurrencyFinanceContractMember2024-12-310000880266agco:EuropeanInvestmentBankEIBMultiCurrencyFacilityDue2030Memberagco:MultiCurrencyFinanceContractMember2023-12-310000880266agco:SeniorTermLoansDueBetween2025And2028Memberus-gaap:SeniorNotesMember2024-12-310000880266agco:SeniorTermLoansDueBetween2025And2028Memberus-gaap:SeniorNotesMember2023-12-310000880266agco:OtherLongTermDebtMember2024-12-310000880266agco:OtherLongTermDebtMember2023-12-310000880266agco:A125BillionMultiCurrencyUnsecuredCreditFacilityMemberus-gaap:RevolvingCreditFacilityMemberus-gaap:LineOfCreditMember2022-12-310000880266us-gaap:RevolvingCreditFacilityMemberus-gaap:LineOfCreditMember2022-11-300000880266us-gaap:RevolvingCreditFacilityMemberus-gaap:LineOfCreditMember2022-12-012022-12-310000880266agco:BilateralRevolvingCreditFacilityMemberus-gaap:RevolvingCreditFacilityMemberus-gaap:LineOfCreditMember2022-12-012022-12-310000880266agco:A125BillionMultiCurrencyUnsecuredCreditFacilityUSDollarTrancheMemberus-gaap:RevolvingCreditFacilityMemberus-gaap:LineOfCreditMember2022-12-310000880266agco:A125BillionMultiCurrencyUnsecuredCreditFacilityMultiCurrencyTrancheMemberus-gaap:RevolvingCreditFacilityMemberus-gaap:LineOfCreditMember2022-12-310000880266agco:InterestAccrualOptionOneMemberagco:MultiCurrencyRevolvingCreditFacilityMemberus-gaap:LineOfCreditMemberus-gaap:SecuredOvernightFinancingRateSofrMember2022-12-012022-12-310000880266agco:InterestAccrualOptionOneMemberagco:MultiCurrencyRevolvingCreditFacilityMemberus-gaap:LineOfCreditMemberus-gaap:SecuredOvernightFinancingRateSofrMembersrt:MinimumMember2022-12-012022-12-310000880266agco:InterestAccrualOptionOneMemberagco:MultiCurrencyRevolvingCreditFacilityMemberus-gaap:LineOfCreditMemberus-gaap:SecuredOvernightFinancingRateSofrMembersrt:MaximumMember2022-12-012022-12-310000880266agco:InterestAccrualOptionTwoMemberagco:MultiCurrencyRevolvingCreditFacilityMemberus-gaap:LineOfCreditMemberus-gaap:FederalFundsEffectiveSwapRateMember2022-12-012022-12-310000880266agco:InterestAccrualOptionTwoMemberagco:MultiCurrencyRevolvingCreditFacilityMemberus-gaap:LineOfCreditMemberus-gaap:SecuredOvernightFinancingRateSofrMember2022-12-012022-12-310000880266agco:InterestAccrualOptionTwoMemberagco:MultiCurrencyRevolvingCreditFacilityMemberus-gaap:LineOfCreditMemberus-gaap:SecuredOvernightFinancingRateSofrMembersrt:MinimumMember2022-12-012022-12-310000880266agco:InterestAccrualOptionTwoMemberagco:MultiCurrencyRevolvingCreditFacilityMemberus-gaap:LineOfCreditMemberus-gaap:SecuredOvernightFinancingRateSofrMembersrt:MaximumMember2022-12-012022-12-310000880266agco:MultiCurrencyRevolvingCreditFacilityMemberus-gaap:LineOfCreditMemberagco:EuroInterbankOfferedRateEURIBORMembersrt:MinimumMember2022-12-012022-12-310000880266agco:MultiCurrencyRevolvingCreditFacilityMemberus-gaap:LineOfCreditMemberagco:EuroInterbankOfferedRateEURIBORMembersrt:MaximumMember2022-12-012022-12-310000880266agco:A125BillionMultiCurrencyUnsecuredCreditFacilityMemberus-gaap:RevolvingCreditFacilityMemberus-gaap:LineOfCreditMember2024-12-310000880266us-gaap:DelayedDrawTermLoanMember2023-12-310000880266us-gaap:DelayedDrawTermLoanMember2024-03-012024-03-310000880266us-gaap:DelayedDrawTermLoanMember2024-03-310000880266us-gaap:DelayedDrawTermLoanMemberus-gaap:LineOfCreditMember2024-11-012024-11-010000880266agco:UncommittedRevolvingCreditFacilityMemberus-gaap:RevolvingCreditFacilityMember2022-06-300000880266agco:UncommittedRevolvingCreditFacilityMemberus-gaap:RevolvingCreditFacilityMember2024-12-310000880266agco:UncommittedRevolvingCreditFacilityMemberus-gaap:RevolvingCreditFacilityMember2023-12-310000880266agco:SeniorNotesDue2027Memberus-gaap:SeniorNotesMembersrt:ScenarioForecastMember2027-02-212027-03-210000880266agco:SeniorNotesDue2027Memberus-gaap:SeniorNotesMembersrt:ScenarioForecastMember2023-12-212034-03-210000880266agco:A0800SeniorNotesDue2028Memberus-gaap:SeniorNotesMember2021-10-062021-10-060000880266agco:A1.002SeniorNotesDue2025Memberus-gaap:SeniorNotesMemberus-gaap:SubsequentEventMember2025-01-012025-01-240000880266agco:EuropeanInvestmentBankEIBSeniorTermLoanDue2029Memberagco:MultiCurrencyFinanceContractMember2023-09-290000880266agco:EuropeanInvestmentBankEIBSeniorTermLoanDue2029Memberagco:MultiCurrencyFinanceContractMember2023-10-260000880266agco:EuropeanInvestmentBankEIBMultiCurrencyFacilityDue2030Memberagco:MultiCurrencyFinanceContractMember2024-01-250000880266agco:EuropeanInvestmentBankEIBMultiCurrencyFacilityDue2030Memberagco:MultiCurrencyFinanceContractMember2024-02-150000880266agco:SeniorTermLoansDueBetween2025And2028Memberus-gaap:SeniorNotesMember2016-10-310000880266agco:SeniorTermLoansDueBetween2025And2028Memberus-gaap:SeniorNotesMember2018-08-310000880266agco:SeniorTermLoansDueBetween2025And2028Memberus-gaap:SeniorNotesMember2019-10-012023-10-310000880266agco:SeniorTermLoansDueBetween2025And2028Memberus-gaap:SeniorNotesMember2021-08-012023-08-310000880266agco:SeniorTermLoansDueBetween2025And2028Memberus-gaap:LineOfCreditMembersrt:MinimumMember2024-01-012024-12-310000880266agco:SeniorTermLoansDueBetween2025And2028Memberus-gaap:LineOfCreditMembersrt:MaximumMember2024-01-012024-12-310000880266agco:SeniorTermLoansDueBetween2025And2028Memberus-gaap:LineOfCreditMemberagco:EuroInterbankOfferedRateEURIBORMembersrt:MinimumMember2024-01-012024-12-310000880266us-gaap:BridgeLoanMember2023-09-280000880266us-gaap:BridgeLoanMember2023-09-282023-09-280000880266us-gaap:BridgeLoanMember2024-03-250000880266agco:ShortTermDebtOtherMember2024-12-310000880266agco:ShortTermDebtOtherMember2023-12-310000880266us-gaap:OneTimeTerminationBenefitsMemberagco:A2024RestructuringProgramMembersrt:MinimumMember2024-06-240000880266us-gaap:OneTimeTerminationBenefitsMemberagco:A2024RestructuringProgramMembersrt:MaximumMember2024-06-240000880266agco:BusinessOptimizationMember2024-01-012024-12-310000880266agco:RussianFinanceJointVentureMemberagco:EntityUnderTimeLimitedGeneralLicenseMember2022-01-012022-03-310000880266agco:RussianFinanceJointVentureMember2022-01-012022-03-310000880266us-gaap:ForeignExchangeContractMemberus-gaap:CashFlowHedgingMemberus-gaap:DesignatedAsHedgingInstrumentMember2024-12-310000880266us-gaap:ForeignExchangeContractMemberus-gaap:CashFlowHedgingMemberus-gaap:DesignatedAsHedgingInstrumentMember2023-12-310000880266us-gaap:ForeignExchangeContractMemberus-gaap:CashFlowHedgingMemberus-gaap:DesignatedAsHedgingInstrumentMember2022-12-310000880266us-gaap:CommodityContractMemberus-gaap:CashFlowHedgingMemberus-gaap:DesignatedAsHedgingInstrumentMember2024-12-310000880266us-gaap:CommodityContractMemberus-gaap:CashFlowHedgingMemberus-gaap:DesignatedAsHedgingInstrumentMember2023-12-310000880266us-gaap:CommodityContractMemberus-gaap:CashFlowHedgingMemberus-gaap:DesignatedAsHedgingInstrumentMember2022-12-310000880266us-gaap:TreasuryLockMemberus-gaap:CashFlowHedgingMemberus-gaap:DesignatedAsHedgingInstrumentMember2024-03-282024-03-280000880266us-gaap:AccumulatedGainLossNetCashFlowHedgeParentMember2021-12-310000880266us-gaap:AccumulatedGainLossNetCashFlowHedgeParentMemberus-gaap:ForeignExchangeContractMember2022-01-012022-12-310000880266us-gaap:AccumulatedGainLossNetCashFlowHedgeParentMemberus-gaap:CommodityContractMember2022-01-012022-12-310000880266us-gaap:AccumulatedGainLossNetCashFlowHedgeParentMember2022-12-310000880266us-gaap:AccumulatedGainLossNetCashFlowHedgeParentMemberus-gaap:ForeignExchangeContractMember2023-01-012023-12-310000880266us-gaap:AccumulatedGainLossNetCashFlowHedgeParentMemberus-gaap:CommodityContractMember2023-01-012023-12-310000880266us-gaap:AccumulatedGainLossNetCashFlowHedgeParentMember2023-12-310000880266us-gaap:AccumulatedGainLossNetCashFlowHedgeParentMemberus-gaap:ForeignExchangeContractMember2024-01-012024-12-310000880266us-gaap:AccumulatedGainLossNetCashFlowHedgeParentMemberus-gaap:CommodityContractMember2024-01-012024-12-310000880266us-gaap:AccumulatedGainLossNetCashFlowHedgeParentMemberus-gaap:TreasuryLockMember2024-01-012024-12-310000880266us-gaap:AccumulatedGainLossNetCashFlowHedgeParentMember2024-12-310000880266us-gaap:AccumulatedGainLossNetCashFlowHedgeParentMemberus-gaap:ForeignExchangeContractMember2024-12-310000880266agco:CrossCurrencyInterestRateContractPaymentMemberus-gaap:NetInvestmentHedgingMemberus-gaap:DesignatedAsHedgingInstrumentMembersrt:ScenarioForecastMember2028-01-290000880266agco:CrossCurrencyInterestRateContractPaymentMemberus-gaap:NetInvestmentHedgingMemberus-gaap:DesignatedAsHedgingInstrumentMember2024-12-310000880266agco:CrossCurrencyInterestRateContractReceiptMemberus-gaap:NetInvestmentHedgingMemberus-gaap:DesignatedAsHedgingInstrumentMembersrt:ScenarioForecastMember2028-01-290000880266agco:CrossCurrencyInterestRateContractPaymentMemberus-gaap:NetInvestmentHedgingMemberus-gaap:DesignatedAsHedgingInstrumentMember2024-11-040000880266agco:CrossCurrencyInterestRateContractReceiptMemberus-gaap:NetInvestmentHedgingMemberus-gaap:DesignatedAsHedgingInstrumentMember2024-11-040000880266agco:CrossCurrencyInterestRateContractReceiptMemberus-gaap:NetInvestmentHedgingMemberus-gaap:DesignatedAsHedgingInstrumentMember2024-11-042024-11-040000880266us-gaap:CurrencySwapMemberus-gaap:NetInvestmentHedgingMemberus-gaap:DesignatedAsHedgingInstrumentMember2024-11-040000880266agco:CrossCurrencySwapTrancheOneMemberus-gaap:NetInvestmentHedgingMemberus-gaap:DesignatedAsHedgingInstrumentMember2024-11-040000880266agco:CrossCurrencySwapTrancheOneMemberus-gaap:NetInvestmentHedgingMemberus-gaap:DesignatedAsHedgingInstrumentMember2024-11-042024-11-040000880266agco:CrossCurrencySwapTrancheTwoMemberus-gaap:NetInvestmentHedgingMemberus-gaap:DesignatedAsHedgingInstrumentMember2024-11-040000880266agco:CrossCurrencySwapTrancheTwoMemberus-gaap:NetInvestmentHedgingMemberus-gaap:DesignatedAsHedgingInstrumentMember2024-11-042024-11-040000880266agco:CrossCurrencySwapTrancheThreeMemberus-gaap:NetInvestmentHedgingMemberus-gaap:DesignatedAsHedgingInstrumentMember2024-11-040000880266agco:CrossCurrencySwapTrancheThreeMemberus-gaap:NetInvestmentHedgingMemberus-gaap:DesignatedAsHedgingInstrumentMember2024-11-042024-11-040000880266agco:CrossCurrencySwapPaymentMemberus-gaap:NetInvestmentHedgingMemberus-gaap:DesignatedAsHedgingInstrumentMember2024-11-040000880266agco:CrossCurrencySwapPaymentMemberus-gaap:NetInvestmentHedgingMemberus-gaap:DesignatedAsHedgingInstrumentMembercurrency:EUR2024-12-310000880266agco:CrossCurrencySwapPaymentMemberus-gaap:NetInvestmentHedgingMemberus-gaap:DesignatedAsHedgingInstrumentMembercurrency:CHF2024-12-310000880266agco:CrossCurrencySwapReceiptMemberus-gaap:NetInvestmentHedgingMemberus-gaap:DesignatedAsHedgingInstrumentMember2024-11-040000880266agco:ForeignCurrencyDenominatedDebtMemberus-gaap:NetInvestmentHedgingMemberus-gaap:DesignatedAsHedgingInstrumentMember2023-12-310000880266agco:ForeignCurrencyDenominatedDebtMemberus-gaap:DesignatedAsHedgingInstrumentMember2023-01-012023-12-310000880266us-gaap:CrossCurrencyInterestRateContractMemberus-gaap:NetInvestmentHedgingMemberus-gaap:DesignatedAsHedgingInstrumentMember2024-12-310000880266us-gaap:CrossCurrencyInterestRateContractMemberus-gaap:NetInvestmentHedgingMemberus-gaap:DesignatedAsHedgingInstrumentMember2023-12-310000880266us-gaap:CrossCurrencyInterestRateContractMemberus-gaap:NetInvestmentHedgingMemberus-gaap:DesignatedAsHedgingInstrumentMember2024-01-012024-12-310000880266us-gaap:CrossCurrencyInterestRateContractMemberus-gaap:NetInvestmentHedgingMemberus-gaap:DesignatedAsHedgingInstrumentMember2023-01-012023-12-310000880266us-gaap:CrossCurrencyInterestRateContractMemberus-gaap:NetInvestmentHedgingMemberus-gaap:DesignatedAsHedgingInstrumentMember2022-01-012022-12-310000880266us-gaap:ForeignExchangeContractMemberus-gaap:NondesignatedMember2024-12-310000880266us-gaap:ForeignExchangeContractMemberus-gaap:NondesignatedMember2023-12-310000880266us-gaap:ForeignExchangeContractMemberus-gaap:NondesignatedMemberus-gaap:OtherNonoperatingIncomeExpenseMember2024-01-012024-12-310000880266us-gaap:ForeignExchangeContractMemberus-gaap:NondesignatedMemberus-gaap:OtherNonoperatingIncomeExpenseMember2023-01-012023-12-310000880266us-gaap:ForeignExchangeContractMemberus-gaap:NondesignatedMemberus-gaap:OtherNonoperatingIncomeExpenseMember2022-01-012022-12-310000880266us-gaap:ForeignExchangeContractMemberus-gaap:DesignatedAsHedgingInstrumentMember2024-12-310000880266us-gaap:CommodityContractMemberus-gaap:DesignatedAsHedgingInstrumentMember2024-12-310000880266us-gaap:CurrencySwapMemberus-gaap:DesignatedAsHedgingInstrumentMember2024-12-310000880266us-gaap:ForeignExchangeContractMemberus-gaap:DesignatedAsHedgingInstrumentMember2023-12-310000880266us-gaap:CurrencySwapMemberus-gaap:DesignatedAsHedgingInstrumentMember2023-12-310000880266us-gaap:CostOfSalesMember2024-01-012024-12-310000880266us-gaap:CostOfSalesMember2023-01-012023-12-310000880266us-gaap:CostOfSalesMember2022-01-012022-12-310000880266agco:TwoThousandSixPlanMember2024-12-310000880266agco:LongTermIncentivePlanMember2024-01-012024-12-310000880266agco:LongTermIncentivePlanMembersrt:MinimumMember2024-01-012024-12-310000880266agco:LongTermIncentivePlanMembersrt:MaximumMember2024-01-012024-12-310000880266us-gaap:PerformanceSharesMember2024-01-012024-12-310000880266us-gaap:PerformanceSharesMember2023-01-012023-12-310000880266us-gaap:PerformanceSharesMember2022-01-012022-12-310000880266us-gaap:PerformanceSharesMember2023-12-310000880266us-gaap:PerformanceSharesMember2024-12-310000880266us-gaap:PerformanceSharesMemberagco:CertainRetireesAndOtherIndividualsMember2023-12-310000880266us-gaap:PerformanceSharesMemberus-gaap:SubsequentEventMember2025-02-012025-02-180000880266us-gaap:RestrictedStockUnitsRSUMember2024-01-012024-12-310000880266us-gaap:RestrictedStockUnitsRSUMember2023-01-012023-12-310000880266us-gaap:RestrictedStockUnitsRSUMember2022-01-012022-12-310000880266us-gaap:RestrictedStockUnitsRSUMember2023-12-310000880266us-gaap:RestrictedStockUnitsRSUMember2024-12-310000880266us-gaap:RestrictedStockUnitsRSUMemberus-gaap:SubsequentEventMember2025-01-012025-01-310000880266us-gaap:PerformanceSharesMemberus-gaap:SubsequentEventMember2025-01-292025-01-290000880266us-gaap:RestrictedStockUnitsRSUMemberus-gaap:SubsequentEventMember2025-01-292025-01-290000880266us-gaap:RestrictedStockMember2024-01-012024-12-310000880266us-gaap:RestrictedStockMember2023-04-272023-04-270000880266us-gaap:RestrictedStockUnitsRSUMemberus-gaap:ShareBasedCompensationAwardTrancheOneMember2024-01-012024-12-310000880266us-gaap:RestrictedStockUnitsRSUMemberus-gaap:ShareBasedCompensationAwardTrancheTwoMember2024-01-012024-12-310000880266us-gaap:RestrictedStockUnitsRSUMemberus-gaap:ShareBasedCompensationAwardTrancheThreeMember2024-01-012024-12-310000880266agco:AcceleratedShareRepurchaseMember2024-11-300000880266agco:AcceleratedShareRepurchaseMember2024-11-012024-12-310000880266agco:AcceleratedShareRepurchaseMember2023-11-300000880266agco:AcceleratedShareRepurchaseMember2023-11-012023-12-310000880266agco:AcceleratedShareRepurchaseMember2024-01-012024-01-310000880266agco:AcceleratedShareRepurchaseMember2021-08-012021-11-300000880266agco:AcceleratedShareRepurchaseMember2021-11-300000880266agco:AcceleratedShareRepurchaseMember2021-08-012021-12-310000880266agco:AcceleratedShareRepurchaseMember2022-01-012022-01-310000880266us-gaap:SubsequentEventMember2025-01-162025-01-1600008802662024-01-012024-03-3100008802662024-10-012024-12-3100008802662023-10-012023-12-3100008802662023-07-012023-09-3000008802662024-04-012024-06-3000008802662024-07-012024-09-300000880266agco:S2024Q4DividendsMember2024-01-012024-12-3100008802662023-04-012023-06-3000008802662023-01-012023-03-310000880266agco:S2023Q4DividendsMember2023-01-012023-12-3100008802662022-04-012022-06-3000008802662022-07-012022-09-3000008802662022-01-012022-03-310000880266agco:S2022Q4DividendsMember2022-01-012022-12-310000880266us-gaap:AccumulatedDefinedBenefitPlansAdjustmentMember2021-12-310000880266us-gaap:AccumulatedTranslationAdjustmentMember2021-12-310000880266us-gaap:AccumulatedDefinedBenefitPlansAdjustmentMember2022-12-310000880266us-gaap:AccumulatedTranslationAdjustmentMember2022-12-310000880266us-gaap:AccumulatedDefinedBenefitPlansAdjustmentMember2023-12-310000880266us-gaap:AccumulatedTranslationAdjustmentMember2023-12-310000880266us-gaap:AccumulatedDefinedBenefitPlansAdjustmentMember2024-12-310000880266us-gaap:AccumulatedTranslationAdjustmentMember2024-12-310000880266us-gaap:ForeignExchangeContractMemberus-gaap:AccumulatedGainLossNetCashFlowHedgeParentMemberus-gaap:ReclassificationOutOfAccumulatedOtherComprehensiveIncomeMember2024-01-012024-12-310000880266us-gaap:ForeignExchangeContractMemberus-gaap:AccumulatedGainLossNetCashFlowHedgeParentMemberus-gaap:ReclassificationOutOfAccumulatedOtherComprehensiveIncomeMember2023-01-012023-12-310000880266us-gaap:ForeignExchangeContractMemberus-gaap:AccumulatedGainLossNetCashFlowHedgeParentMemberus-gaap:ReclassificationOutOfAccumulatedOtherComprehensiveIncomeMember2022-01-012022-12-310000880266us-gaap:CommodityContractMemberus-gaap:AccumulatedGainLossNetCashFlowHedgeParentMemberus-gaap:ReclassificationOutOfAccumulatedOtherComprehensiveIncomeMember2024-01-012024-12-310000880266us-gaap:CommodityContractMemberus-gaap:AccumulatedGainLossNetCashFlowHedgeParentMemberus-gaap:ReclassificationOutOfAccumulatedOtherComprehensiveIncomeMember2023-01-012023-12-310000880266us-gaap:CommodityContractMemberus-gaap:AccumulatedGainLossNetCashFlowHedgeParentMemberus-gaap:ReclassificationOutOfAccumulatedOtherComprehensiveIncomeMember2022-01-012022-12-310000880266us-gaap:TreasuryLockMemberus-gaap:AccumulatedGainLossNetCashFlowHedgeParentMemberus-gaap:ReclassificationOutOfAccumulatedOtherComprehensiveIncomeMember2024-01-012024-12-310000880266us-gaap:TreasuryLockMemberus-gaap:AccumulatedGainLossNetCashFlowHedgeParentMemberus-gaap:ReclassificationOutOfAccumulatedOtherComprehensiveIncomeMember2023-01-012023-12-310000880266us-gaap:TreasuryLockMemberus-gaap:AccumulatedGainLossNetCashFlowHedgeParentMemberus-gaap:ReclassificationOutOfAccumulatedOtherComprehensiveIncomeMember2022-01-012022-12-310000880266us-gaap:AccumulatedGainLossNetCashFlowHedgeParentMemberus-gaap:ReclassificationOutOfAccumulatedOtherComprehensiveIncomeMember2024-01-012024-12-310000880266us-gaap:AccumulatedGainLossNetCashFlowHedgeParentMemberus-gaap:ReclassificationOutOfAccumulatedOtherComprehensiveIncomeMember2023-01-012023-12-310000880266us-gaap:AccumulatedGainLossNetCashFlowHedgeParentMemberus-gaap:ReclassificationOutOfAccumulatedOtherComprehensiveIncomeMember2022-01-012022-12-310000880266us-gaap:AccumulatedDefinedBenefitPlansAdjustmentNetUnamortizedGainLossMemberus-gaap:ReclassificationOutOfAccumulatedOtherComprehensiveIncomeMember2024-01-012024-12-310000880266us-gaap:AccumulatedDefinedBenefitPlansAdjustmentNetUnamortizedGainLossMemberus-gaap:ReclassificationOutOfAccumulatedOtherComprehensiveIncomeMember2023-01-012023-12-310000880266us-gaap:AccumulatedDefinedBenefitPlansAdjustmentNetUnamortizedGainLossMemberus-gaap:ReclassificationOutOfAccumulatedOtherComprehensiveIncomeMember2022-01-012022-12-310000880266us-gaap:AccumulatedDefinedBenefitPlansAdjustmentNetPriorServiceCostCreditMemberus-gaap:ReclassificationOutOfAccumulatedOtherComprehensiveIncomeMember2024-01-012024-12-310000880266us-gaap:AccumulatedDefinedBenefitPlansAdjustmentNetPriorServiceCostCreditMemberus-gaap:ReclassificationOutOfAccumulatedOtherComprehensiveIncomeMember2023-01-012023-12-310000880266us-gaap:AccumulatedDefinedBenefitPlansAdjustmentNetPriorServiceCostCreditMemberus-gaap:ReclassificationOutOfAccumulatedOtherComprehensiveIncomeMember2022-01-012022-12-310000880266agco:AccumulatedDefinedBenefitPlansAdjustmentGainLossDueToSettlementsAttributableToParentMemberus-gaap:ReclassificationOutOfAccumulatedOtherComprehensiveIncomeMember2024-01-012024-12-310000880266agco:AccumulatedDefinedBenefitPlansAdjustmentGainLossDueToSettlementsAttributableToParentMemberus-gaap:ReclassificationOutOfAccumulatedOtherComprehensiveIncomeMember2023-01-012023-12-310000880266agco:AccumulatedDefinedBenefitPlansAdjustmentGainLossDueToSettlementsAttributableToParentMemberus-gaap:ReclassificationOutOfAccumulatedOtherComprehensiveIncomeMember2022-01-012022-12-310000880266us-gaap:AccumulatedDefinedBenefitPlansAdjustmentMemberus-gaap:ReclassificationOutOfAccumulatedOtherComprehensiveIncomeMember2024-01-012024-12-310000880266us-gaap:AccumulatedDefinedBenefitPlansAdjustmentMemberus-gaap:ReclassificationOutOfAccumulatedOtherComprehensiveIncomeMember2023-01-012023-12-310000880266us-gaap:AccumulatedDefinedBenefitPlansAdjustmentMemberus-gaap:ReclassificationOutOfAccumulatedOtherComprehensiveIncomeMember2022-01-012022-12-310000880266us-gaap:ReclassificationOutOfAccumulatedOtherComprehensiveIncomeMember2024-01-012024-12-310000880266us-gaap:ReclassificationOutOfAccumulatedOtherComprehensiveIncomeMember2023-01-012023-12-310000880266us-gaap:ReclassificationOutOfAccumulatedOtherComprehensiveIncomeMember2022-01-012022-12-310000880266agco:FinanceJointVenturesMemberagco:RabobankMember2024-12-310000880266us-gaap:RelatedPartyMemberagco:FinanceJointVenturesMember2024-01-012024-12-310000880266us-gaap:RelatedPartyMemberagco:FinanceJointVenturesMember2023-01-012023-12-310000880266us-gaap:RelatedPartyMemberagco:FinanceJointVenturesMember2022-01-012022-12-310000880266agco:FinanceJointVenturesMember2024-01-012024-12-310000880266agco:FinanceJointVenturesMember2023-01-012023-12-310000880266agco:FinanceJointVenturesMember2022-01-012022-12-310000880266agco:AGCOCorporationMemberagco:TractorsAndFarmEquipmentLimitedMember2024-01-012024-12-310000880266agco:TractorsAndFarmEquipmentLimitedMember2024-01-012024-12-310000880266agco:TractorsAndFarmEquipmentLimitedMember2023-01-012023-12-310000880266agco:TractorsAndFarmEquipmentLimitedMember2022-01-012022-12-310000880266agco:TractorsAndFarmEquipmentLimitedMemberagco:SaleOfPartsMember2024-01-012024-12-310000880266agco:TractorsAndFarmEquipmentLimitedMemberagco:SaleOfPartsMember2023-01-012023-12-310000880266agco:TractorsAndFarmEquipmentLimitedMemberagco:SaleOfPartsMember2022-01-012022-12-310000880266country:CH2023-01-012023-12-310000880266agco:TaxBasisAdjustmentForeignMember2023-12-310000880266us-gaap:ValuationAllowanceOfDeferredTaxAssetsMember2023-12-310000880266us-gaap:ValuationAllowanceOfDeferredTaxAssetsMember2024-01-012024-12-310000880266us-gaap:ValuationAllowanceOfDeferredTaxAssetsMember2024-12-310000880266us-gaap:ValuationAllowanceOfDeferredTaxAssetsMember2022-12-310000880266us-gaap:ValuationAllowanceOfDeferredTaxAssetsMember2023-01-012023-12-310000880266us-gaap:ValuationAllowanceOfDeferredTaxAssetsMember2021-12-310000880266us-gaap:ValuationAllowanceOfDeferredTaxAssetsMember2022-01-012022-12-310000880266agco:OperatingLossCarryforwardsByExpirationDateDateOneMember2024-12-310000880266agco:OperatingLossCarryforwardsByExpirationDateDateTwoMember2024-12-310000880266agco:OperatingLossCarryforwardsByExpirationDateDateThreeMember2024-12-310000880266agco:OperatingLossCarryforwardsByExpirationDateDateFourMember2024-12-310000880266us-gaap:ForeignCountryMember2024-12-310000880266agco:ChangeInTaxPositionsAndJudgementsAndLapsesOfStatutesOfLimitationsMember2024-01-012024-12-310000880266agco:ChangeInTaxPositionsAndJudgementsAndLapsesOfStatutesOfLimitationsMember2023-01-012023-12-310000880266us-gaap:DomesticCountryMember2022-12-310000880266us-gaap:ForeignCountryMember2024-01-012024-12-310000880266us-gaap:ForeignCountryMember2023-12-310000880266us-gaap:ForeignCountryMember2023-01-012023-12-310000880266country:USus-gaap:PensionPlansDefinedBenefitMember2023-12-310000880266country:USus-gaap:PensionPlansDefinedBenefitMember2024-12-012024-12-310000880266us-gaap:PensionPlansDefinedBenefitMemberagco:EnppMember2024-01-012024-12-310000880266us-gaap:PensionPlansDefinedBenefitMember2024-01-012024-12-310000880266us-gaap:PensionPlansDefinedBenefitMember2023-01-012023-12-310000880266us-gaap:PensionPlansDefinedBenefitMember2022-01-012022-12-310000880266srt:MinimumMember2023-01-012023-12-310000880266srt:MaximumMember2023-01-012023-12-310000880266srt:MinimumMember2022-01-012022-12-310000880266srt:MaximumMember2022-01-012022-12-310000880266country:USus-gaap:PensionPlansDefinedBenefitMember2024-01-012024-12-310000880266country:USus-gaap:PensionPlansDefinedBenefitMember2023-01-012023-12-310000880266country:USus-gaap:PensionPlansDefinedBenefitMember2022-01-012022-12-310000880266us-gaap:OtherPostretirementBenefitPlansDefinedBenefitMember2024-01-012024-12-310000880266us-gaap:OtherPostretirementBenefitPlansDefinedBenefitMember2023-01-012023-12-310000880266us-gaap:OtherPostretirementBenefitPlansDefinedBenefitMember2022-01-012022-12-310000880266us-gaap:PensionPlansDefinedBenefitMember2023-12-310000880266us-gaap:PensionPlansDefinedBenefitMember2022-12-310000880266us-gaap:OtherPostretirementBenefitPlansDefinedBenefitMember2023-12-310000880266us-gaap:OtherPostretirementBenefitPlansDefinedBenefitMember2022-12-310000880266us-gaap:PensionPlansDefinedBenefitMember2024-12-310000880266us-gaap:OtherPostretirementBenefitPlansDefinedBenefitMember2024-12-310000880266us-gaap:OtherPostretirementBenefitPlansDefinedBenefitMemberus-gaap:AccumulatedDefinedBenefitPlansAdjustmentMember2021-12-310000880266us-gaap:OtherPostretirementBenefitPlansDefinedBenefitMemberus-gaap:AccumulatedDefinedBenefitPlansAdjustmentMember2022-01-012022-12-310000880266us-gaap:OtherPostretirementBenefitPlansDefinedBenefitMemberus-gaap:AccumulatedDefinedBenefitPlansAdjustmentMember2022-12-310000880266us-gaap:OtherPostretirementBenefitPlansDefinedBenefitMemberus-gaap:AccumulatedDefinedBenefitPlansAdjustmentMember2023-01-012023-12-310000880266us-gaap:OtherPostretirementBenefitPlansDefinedBenefitMemberus-gaap:AccumulatedDefinedBenefitPlansAdjustmentMember2023-12-310000880266us-gaap:OtherPostretirementBenefitPlansDefinedBenefitMemberus-gaap:AccumulatedDefinedBenefitPlansAdjustmentMember2024-01-012024-12-310000880266us-gaap:OtherPostretirementBenefitPlansDefinedBenefitMemberus-gaap:AccumulatedDefinedBenefitPlansAdjustmentMember2024-12-310000880266country:GBus-gaap:PensionPlansDefinedBenefitMember2024-01-012024-12-310000880266us-gaap:OtherPostretirementBenefitPlansDefinedBenefitMemberagco:U.S.andBRAZILMember2024-12-310000880266us-gaap:OtherPostretirementBenefitPlansDefinedBenefitMemberagco:U.S.andBRAZILMember2023-12-310000880266country:USus-gaap:OtherPostretirementBenefitPlansDefinedBenefitMember2024-12-310000880266country:USus-gaap:OtherPostretirementBenefitPlansDefinedBenefitMember2023-12-310000880266country:USus-gaap:PensionPlansDefinedBenefitMember2024-12-310000880266srt:MinimumMember2023-12-310000880266srt:MaximumMember2023-12-310000880266country:BRus-gaap:OtherPostretirementBenefitPlansDefinedBenefitMember2024-12-310000880266country:BRus-gaap:OtherPostretirementBenefitPlansDefinedBenefitMember2023-12-310000880266us-gaap:ForeignPlanMemberus-gaap:PensionPlansDefinedBenefitMember2024-12-310000880266country:GBus-gaap:PensionPlansDefinedBenefitMember2024-12-310000880266country:USus-gaap:PensionPlansDefinedBenefitMemberus-gaap:DefinedBenefitPlanEquitySecuritiesMember2024-12-310000880266country:USus-gaap:PensionPlansDefinedBenefitMemberus-gaap:DefinedBenefitPlanEquitySecuritiesMember2023-12-310000880266country:USus-gaap:PensionPlansDefinedBenefitMemberus-gaap:FixedIncomeSecuritiesMember2024-12-310000880266country:USus-gaap:PensionPlansDefinedBenefitMemberus-gaap:FixedIncomeSecuritiesMember2023-12-310000880266country:USus-gaap:PensionPlansDefinedBenefitMemberus-gaap:OtherInvestmentsMember2024-12-310000880266country:USus-gaap:PensionPlansDefinedBenefitMemberus-gaap:OtherInvestmentsMember2023-12-310000880266country:GBus-gaap:PensionPlansDefinedBenefitMemberus-gaap:DefinedBenefitPlanEquitySecuritiesMember2024-12-310000880266country:GBus-gaap:PensionPlansDefinedBenefitMemberus-gaap:DefinedBenefitPlanEquitySecuritiesMember2023-12-310000880266country:GBus-gaap:PensionPlansDefinedBenefitMemberus-gaap:FixedIncomeSecuritiesMember2024-12-310000880266country:GBus-gaap:PensionPlansDefinedBenefitMemberus-gaap:FixedIncomeSecuritiesMember2023-12-310000880266country:GBus-gaap:PensionPlansDefinedBenefitMemberus-gaap:OtherInvestmentsMember2024-12-310000880266country:GBus-gaap:PensionPlansDefinedBenefitMemberus-gaap:OtherInvestmentsMember2023-12-310000880266country:GBus-gaap:PensionPlansDefinedBenefitMember2023-12-310000880266us-gaap:FairValueInputsLevel12And3Memberus-gaap:PensionPlansDefinedBenefitMemberagco:GlobalEquitySecuritiesMember2024-12-310000880266us-gaap:FairValueInputsLevel1Memberus-gaap:PensionPlansDefinedBenefitMemberagco:GlobalEquitySecuritiesMember2024-12-310000880266us-gaap:FairValueInputsLevel2Memberus-gaap:PensionPlansDefinedBenefitMemberagco:GlobalEquitySecuritiesMember2024-12-310000880266us-gaap:FairValueInputsLevel3Memberus-gaap:PensionPlansDefinedBenefitMemberagco:GlobalEquitySecuritiesMember2024-12-310000880266us-gaap:FairValueInputsLevel12And3Memberus-gaap:PensionPlansDefinedBenefitMemberus-gaap:DefinedBenefitPlanEquitySecuritiesMember2024-12-310000880266us-gaap:FairValueInputsLevel1Memberus-gaap:PensionPlansDefinedBenefitMemberus-gaap:DefinedBenefitPlanEquitySecuritiesMember2024-12-310000880266us-gaap:FairValueInputsLevel2Memberus-gaap:PensionPlansDefinedBenefitMemberus-gaap:DefinedBenefitPlanEquitySecuritiesMember2024-12-310000880266us-gaap:FairValueInputsLevel3Memberus-gaap:PensionPlansDefinedBenefitMemberus-gaap:DefinedBenefitPlanEquitySecuritiesMember2024-12-310000880266us-gaap:FairValueInputsLevel12And3Memberus-gaap:PensionPlansDefinedBenefitMemberagco:AggregateFixedIncomeSecuritiesMember2024-12-310000880266us-gaap:FairValueInputsLevel1Memberus-gaap:PensionPlansDefinedBenefitMemberagco:AggregateFixedIncomeSecuritiesMember2024-12-310000880266us-gaap:FairValueInputsLevel2Memberus-gaap:PensionPlansDefinedBenefitMemberagco:AggregateFixedIncomeSecuritiesMember2024-12-310000880266us-gaap:FairValueInputsLevel3Memberus-gaap:PensionPlansDefinedBenefitMemberagco:AggregateFixedIncomeSecuritiesMember2024-12-310000880266us-gaap:FairValueInputsLevel12And3Memberus-gaap:PensionPlansDefinedBenefitMemberus-gaap:FixedIncomeSecuritiesMember2024-12-310000880266us-gaap:FairValueInputsLevel1Memberus-gaap:PensionPlansDefinedBenefitMemberus-gaap:FixedIncomeSecuritiesMember2024-12-310000880266us-gaap:FairValueInputsLevel2Memberus-gaap:PensionPlansDefinedBenefitMemberus-gaap:FixedIncomeSecuritiesMember2024-12-310000880266us-gaap:FairValueInputsLevel3Memberus-gaap:PensionPlansDefinedBenefitMemberus-gaap:FixedIncomeSecuritiesMember2024-12-310000880266us-gaap:FairValueInputsLevel12And3Memberus-gaap:PensionPlansDefinedBenefitMemberus-gaap:PrivateEquityFundsMember2024-12-310000880266us-gaap:FairValueInputsLevel1Memberus-gaap:PensionPlansDefinedBenefitMemberus-gaap:PrivateEquityFundsMember2024-12-310000880266us-gaap:FairValueInputsLevel2Memberus-gaap:PensionPlansDefinedBenefitMemberus-gaap:PrivateEquityFundsMember2024-12-310000880266us-gaap:FairValueInputsLevel3Memberus-gaap:PensionPlansDefinedBenefitMemberus-gaap:PrivateEquityFundsMember2024-12-310000880266us-gaap:FairValueMeasuredAtNetAssetValuePerShareMemberus-gaap:PensionPlansDefinedBenefitMemberus-gaap:HedgeFundsMember2024-12-310000880266us-gaap:FairValueInputsLevel12And3Memberus-gaap:PensionPlansDefinedBenefitMemberagco:AlternativeInvestmentsMember2024-12-310000880266us-gaap:FairValueInputsLevel1Memberus-gaap:PensionPlansDefinedBenefitMemberagco:AlternativeInvestmentsMember2024-12-310000880266us-gaap:FairValueInputsLevel2Memberus-gaap:PensionPlansDefinedBenefitMemberagco:AlternativeInvestmentsMember2024-12-310000880266us-gaap:FairValueInputsLevel3Memberus-gaap:PensionPlansDefinedBenefitMemberagco:AlternativeInvestmentsMember2024-12-310000880266us-gaap:FairValueInputsLevel12And3Memberus-gaap:PensionPlansDefinedBenefitMemberus-gaap:MiscellaneousInvestmentsMember2024-12-310000880266us-gaap:FairValueInputsLevel1Memberus-gaap:PensionPlansDefinedBenefitMemberus-gaap:MiscellaneousInvestmentsMember2024-12-310000880266us-gaap:FairValueInputsLevel2Memberus-gaap:PensionPlansDefinedBenefitMemberus-gaap:MiscellaneousInvestmentsMember2024-12-310000880266us-gaap:FairValueInputsLevel3Memberus-gaap:PensionPlansDefinedBenefitMemberus-gaap:MiscellaneousInvestmentsMember2024-12-310000880266us-gaap:FairValueMeasuredAtNetAssetValuePerShareMemberus-gaap:PensionPlansDefinedBenefitMemberus-gaap:DefinedBenefitPlanCashAndCashEquivalentsMember2024-12-310000880266us-gaap:FairValueInputsLevel1Memberus-gaap:PensionPlansDefinedBenefitMember2024-12-310000880266us-gaap:FairValueInputsLevel2Memberus-gaap:PensionPlansDefinedBenefitMember2024-12-310000880266us-gaap:FairValueInputsLevel3Memberus-gaap:PensionPlansDefinedBenefitMember2024-12-310000880266us-gaap:PensionPlansDefinedBenefitMemberus-gaap:USTreasurySecuritiesMember2024-12-310000880266us-gaap:PensionPlansDefinedBenefitMemberagco:FixedIncomeSecuritiesNonUSMember2024-12-310000880266us-gaap:PensionPlansDefinedBenefitMemberagco:AssetOrMortgageBackedSecuritiesMember2024-12-310000880266us-gaap:PensionPlansDefinedBenefitMemberus-gaap:CorporateBondSecuritiesMember2024-12-310000880266us-gaap:PensionPlansDefinedBenefitMemberagco:FixedIncomeSecuritiesHighYieldMember2024-12-310000880266us-gaap:PensionPlansDefinedBenefitMemberagco:AlternativeInvestmentsRelativeValueFundsMember2024-12-310000880266us-gaap:PensionPlansDefinedBenefitMemberagco:AlternativeInvestmentsLongShortEquityFundsMember2024-12-310000880266us-gaap:PensionPlansDefinedBenefitMemberagco:AlternativeInvestmentsEventDrivenFundsMember2024-12-310000880266us-gaap:PensionPlansDefinedBenefitMemberagco:AlternativeInvestmentsCreditFundsMember2024-12-310000880266us-gaap:FairValueInputsLevel3Memberus-gaap:PensionPlansDefinedBenefitMember2023-12-310000880266us-gaap:FairValueInputsLevel3Memberus-gaap:PensionPlansDefinedBenefitMemberagco:AlternativeInvestmentsMember2023-12-310000880266us-gaap:FairValueInputsLevel3Memberus-gaap:PensionPlansDefinedBenefitMemberus-gaap:MiscellaneousInvestmentsMember2023-12-310000880266us-gaap:FairValueInputsLevel3Memberus-gaap:PensionPlansDefinedBenefitMember2024-01-012024-12-310000880266us-gaap:FairValueInputsLevel3Memberus-gaap:PensionPlansDefinedBenefitMemberagco:AlternativeInvestmentsMember2024-01-012024-12-310000880266us-gaap:FairValueInputsLevel3Memberus-gaap:PensionPlansDefinedBenefitMemberus-gaap:MiscellaneousInvestmentsMember2024-01-012024-12-310000880266us-gaap:FairValueInputsLevel12And3Memberus-gaap:PensionPlansDefinedBenefitMemberagco:GlobalEquitySecuritiesMember2023-12-310000880266us-gaap:FairValueInputsLevel1Memberus-gaap:PensionPlansDefinedBenefitMemberagco:GlobalEquitySecuritiesMember2023-12-310000880266us-gaap:FairValueInputsLevel2Memberus-gaap:PensionPlansDefinedBenefitMemberagco:GlobalEquitySecuritiesMember2023-12-310000880266us-gaap:FairValueInputsLevel3Memberus-gaap:PensionPlansDefinedBenefitMemberagco:GlobalEquitySecuritiesMember2023-12-310000880266us-gaap:FairValueInputsLevel12And3Memberus-gaap:PensionPlansDefinedBenefitMemberus-gaap:DefinedBenefitPlanEquitySecuritiesMember2023-12-310000880266us-gaap:FairValueInputsLevel1Memberus-gaap:PensionPlansDefinedBenefitMemberus-gaap:DefinedBenefitPlanEquitySecuritiesMember2023-12-310000880266us-gaap:FairValueInputsLevel2Memberus-gaap:PensionPlansDefinedBenefitMemberus-gaap:DefinedBenefitPlanEquitySecuritiesMember2023-12-310000880266us-gaap:FairValueInputsLevel3Memberus-gaap:PensionPlansDefinedBenefitMemberus-gaap:DefinedBenefitPlanEquitySecuritiesMember2023-12-310000880266us-gaap:FairValueInputsLevel12And3Memberus-gaap:PensionPlansDefinedBenefitMemberagco:AggregateFixedIncomeSecuritiesMember2023-12-310000880266us-gaap:FairValueInputsLevel1Memberus-gaap:PensionPlansDefinedBenefitMemberagco:AggregateFixedIncomeSecuritiesMember2023-12-310000880266us-gaap:FairValueInputsLevel2Memberus-gaap:PensionPlansDefinedBenefitMemberagco:AggregateFixedIncomeSecuritiesMember2023-12-310000880266us-gaap:FairValueInputsLevel3Memberus-gaap:PensionPlansDefinedBenefitMemberagco:AggregateFixedIncomeSecuritiesMember2023-12-310000880266us-gaap:FairValueInputsLevel12And3Memberus-gaap:PensionPlansDefinedBenefitMemberus-gaap:FixedIncomeSecuritiesMember2023-12-310000880266us-gaap:FairValueInputsLevel1Memberus-gaap:PensionPlansDefinedBenefitMemberus-gaap:FixedIncomeSecuritiesMember2023-12-310000880266us-gaap:FairValueInputsLevel2Memberus-gaap:PensionPlansDefinedBenefitMemberus-gaap:FixedIncomeSecuritiesMember2023-12-310000880266us-gaap:FairValueInputsLevel3Memberus-gaap:PensionPlansDefinedBenefitMemberus-gaap:FixedIncomeSecuritiesMember2023-12-310000880266us-gaap:FairValueInputsLevel12And3Memberus-gaap:PensionPlansDefinedBenefitMemberus-gaap:PrivateEquityFundsMember2023-12-310000880266us-gaap:FairValueInputsLevel1Memberus-gaap:PensionPlansDefinedBenefitMemberus-gaap:PrivateEquityFundsMember2023-12-310000880266us-gaap:FairValueInputsLevel2Memberus-gaap:PensionPlansDefinedBenefitMemberus-gaap:PrivateEquityFundsMember2023-12-310000880266us-gaap:FairValueInputsLevel3Memberus-gaap:PensionPlansDefinedBenefitMemberus-gaap:PrivateEquityFundsMember2023-12-310000880266us-gaap:FairValueMeasuredAtNetAssetValuePerShareMemberus-gaap:PensionPlansDefinedBenefitMemberus-gaap:HedgeFundsMember2023-12-310000880266us-gaap:FairValueInputsLevel12And3Memberus-gaap:PensionPlansDefinedBenefitMemberagco:AlternativeInvestmentsMember2023-12-310000880266us-gaap:FairValueInputsLevel1Memberus-gaap:PensionPlansDefinedBenefitMemberagco:AlternativeInvestmentsMember2023-12-310000880266us-gaap:FairValueInputsLevel2Memberus-gaap:PensionPlansDefinedBenefitMemberagco:AlternativeInvestmentsMember2023-12-310000880266us-gaap:FairValueInputsLevel12And3Memberus-gaap:PensionPlansDefinedBenefitMemberus-gaap:MiscellaneousInvestmentsMember2023-12-310000880266us-gaap:FairValueInputsLevel1Memberus-gaap:PensionPlansDefinedBenefitMemberus-gaap:MiscellaneousInvestmentsMember2023-12-310000880266us-gaap:FairValueInputsLevel2Memberus-gaap:PensionPlansDefinedBenefitMemberus-gaap:MiscellaneousInvestmentsMember2023-12-310000880266us-gaap:FairValueMeasuredAtNetAssetValuePerShareMemberus-gaap:PensionPlansDefinedBenefitMemberus-gaap:DefinedBenefitPlanCashAndCashEquivalentsMember2023-12-310000880266us-gaap:FairValueInputsLevel1Memberus-gaap:PensionPlansDefinedBenefitMember2023-12-310000880266us-gaap:FairValueInputsLevel2Memberus-gaap:PensionPlansDefinedBenefitMember2023-12-310000880266us-gaap:PensionPlansDefinedBenefitMemberus-gaap:USTreasurySecuritiesMember2023-12-310000880266us-gaap:PensionPlansDefinedBenefitMemberagco:FixedIncomeSecuritiesNonUSMember2023-12-310000880266us-gaap:PensionPlansDefinedBenefitMemberus-gaap:CorporateBondSecuritiesMember2023-12-310000880266us-gaap:PensionPlansDefinedBenefitMemberagco:FixedIncomeSecuritiesHighYieldMember2023-12-310000880266us-gaap:PensionPlansDefinedBenefitMemberagco:AlternativeInvestmentsRelativeValueFundsMember2023-12-310000880266us-gaap:PensionPlansDefinedBenefitMemberagco:AlternativeInvestmentsLongShortEquityFundsMember2023-12-310000880266us-gaap:PensionPlansDefinedBenefitMemberagco:AlternativeInvestmentsEventDrivenFundsMember2023-12-310000880266us-gaap:PensionPlansDefinedBenefitMemberagco:AlternativeInvestmentsCreditFundsMember2023-12-310000880266us-gaap:PensionPlansDefinedBenefitMemberagco:AlternativeInvestmentsHedgedAndNonHedgedFundsMember2023-12-310000880266us-gaap:FairValueInputsLevel3Memberus-gaap:PensionPlansDefinedBenefitMember2022-12-310000880266us-gaap:FairValueInputsLevel3Memberus-gaap:PensionPlansDefinedBenefitMemberagco:AlternativeInvestmentsMember2022-12-310000880266us-gaap:FairValueInputsLevel3Memberus-gaap:PensionPlansDefinedBenefitMemberus-gaap:MiscellaneousInvestmentsMember2022-12-310000880266us-gaap:FairValueInputsLevel3Memberus-gaap:PensionPlansDefinedBenefitMember2023-01-012023-12-310000880266us-gaap:FairValueInputsLevel3Memberus-gaap:PensionPlansDefinedBenefitMemberagco:AlternativeInvestmentsMember2023-01-012023-12-310000880266us-gaap:FairValueInputsLevel3Memberus-gaap:PensionPlansDefinedBenefitMemberus-gaap:MiscellaneousInvestmentsMember2023-01-012023-12-310000880266us-gaap:ForeignPlanMemberus-gaap:PensionPlansDefinedBenefitMember2024-01-012024-12-310000880266us-gaap:ForeignPlanMemberus-gaap:PensionPlansDefinedBenefitMemberus-gaap:DefinedBenefitPlanEquitySecuritiesMember2024-12-310000880266us-gaap:ForeignPlanMemberus-gaap:PensionPlansDefinedBenefitMemberus-gaap:FixedIncomeSecuritiesMember2024-12-310000880266country:GB2024-01-012024-12-310000880266us-gaap:FairValueInputsLevel1Member2024-12-310000880266us-gaap:FairValueInputsLevel2Member2024-12-310000880266us-gaap:FairValueInputsLevel3Member2024-12-310000880266us-gaap:FairValueInputsLevel1Member2023-12-310000880266us-gaap:FairValueInputsLevel2Member2023-12-310000880266us-gaap:FairValueInputsLevel3Member2023-12-310000880266agco:AGCOCapitalArgentinaSAMember2024-12-310000880266agco:USAndCanadaFinanceJointVenturesMember2024-12-310000880266agco:ExtendedWarrantyContractsMaintenanceServicesTechnologyServicesMember2024-01-012024-12-310000880266agco:ExtendedWarrantyContractsMaintenanceServicesTechnologyServicesMember2023-01-012023-12-310000880266agco:GrainStorageAndProteinProductionSystemsMember2024-01-012024-12-310000880266agco:GrainStorageAndProteinProductionSystemsMember2023-01-012023-12-3100008802662025-01-012024-12-3100008802662026-01-012024-12-3100008802662027-01-012024-12-3100008802662028-01-012024-12-3100008802662029-01-012024-12-310000880266country:USagco:NorthAmericaSegmentMember2024-01-012024-12-310000880266country:USagco:SouthAmericaSegmentMember2024-01-012024-12-310000880266country:USagco:EMESegmentMember2024-01-012024-12-310000880266country:USagco:APASegmentMember2024-01-012024-12-310000880266country:US2024-01-012024-12-310000880266country:CAagco:NorthAmericaSegmentMember2024-01-012024-12-310000880266country:CAagco:SouthAmericaSegmentMember2024-01-012024-12-310000880266country:CAagco:EMESegmentMember2024-01-012024-12-310000880266country:CAagco:APASegmentMember2024-01-012024-12-310000880266country:CA2024-01-012024-12-310000880266country:DEagco:NorthAmericaSegmentMember2024-01-012024-12-310000880266country:DEagco:SouthAmericaSegmentMember2024-01-012024-12-310000880266country:DEagco:EMESegmentMember2024-01-012024-12-310000880266country:DEagco:APASegmentMember2024-01-012024-12-310000880266country:DE2024-01-012024-12-310000880266country:FRagco:NorthAmericaSegmentMember2024-01-012024-12-310000880266country:FRagco:SouthAmericaSegmentMember2024-01-012024-12-310000880266country:FRagco:EMESegmentMember2024-01-012024-12-310000880266country:FRagco:APASegmentMember2024-01-012024-12-310000880266country:FR2024-01-012024-12-310000880266agco:UnitedKingdomAndIrelandMemberagco:NorthAmericaSegmentMember2024-01-012024-12-310000880266agco:UnitedKingdomAndIrelandMemberagco:SouthAmericaSegmentMember2024-01-012024-12-310000880266agco:UnitedKingdomAndIrelandMemberagco:EMESegmentMember2024-01-012024-12-310000880266agco:UnitedKingdomAndIrelandMemberagco:APASegmentMember2024-01-012024-12-310000880266agco:UnitedKingdomAndIrelandMember2024-01-012024-12-310000880266agco:FinlandAndScandinaviaMemberagco:NorthAmericaSegmentMember2024-01-012024-12-310000880266agco:FinlandAndScandinaviaMemberagco:SouthAmericaSegmentMember2024-01-012024-12-310000880266agco:FinlandAndScandinaviaMemberagco:EMESegmentMember2024-01-012024-12-310000880266agco:FinlandAndScandinaviaMemberagco:APASegmentMember2024-01-012024-12-310000880266agco:FinlandAndScandinaviaMember2024-01-012024-12-310000880266country:ITagco:NorthAmericaSegmentMember2024-01-012024-12-310000880266country:ITagco:SouthAmericaSegmentMember2024-01-012024-12-310000880266country:ITagco:EMESegmentMember2024-01-012024-12-310000880266country:ITagco:APASegmentMember2024-01-012024-12-310000880266country:IT2024-01-012024-12-310000880266agco:OtherEuropeMemberagco:NorthAmericaSegmentMember2024-01-012024-12-310000880266agco:OtherEuropeMemberagco:SouthAmericaSegmentMember2024-01-012024-12-310000880266agco:OtherEuropeMemberagco:EMESegmentMember2024-01-012024-12-310000880266agco:OtherEuropeMemberagco:APASegmentMember2024-01-012024-12-310000880266agco:OtherEuropeMember2024-01-012024-12-310000880266country:BRagco:NorthAmericaSegmentMember2024-01-012024-12-310000880266country:BRagco:SouthAmericaSegmentMember2024-01-012024-12-310000880266country:BRagco:EMESegmentMember2024-01-012024-12-310000880266country:BRagco:APASegmentMember2024-01-012024-12-310000880266country:BR2024-01-012024-12-310000880266agco:OtherSouthAmericaMemberagco:NorthAmericaSegmentMember2024-01-012024-12-310000880266agco:OtherSouthAmericaMemberagco:SouthAmericaSegmentMember2024-01-012024-12-310000880266agco:OtherSouthAmericaMemberagco:EMESegmentMember2024-01-012024-12-310000880266agco:OtherSouthAmericaMemberagco:APASegmentMember2024-01-012024-12-310000880266agco:OtherSouthAmericaMember2024-01-012024-12-310000880266agco:MiddleEastandAlgeriaMemberagco:NorthAmericaSegmentMember2024-01-012024-12-310000880266agco:MiddleEastandAlgeriaMemberagco:SouthAmericaSegmentMember2024-01-012024-12-310000880266agco:MiddleEastandAlgeriaMemberagco:EMESegmentMember2024-01-012024-12-310000880266agco:MiddleEastandAlgeriaMemberagco:APASegmentMember2024-01-012024-12-310000880266agco:MiddleEastandAlgeriaMember2024-01-012024-12-310000880266srt:AfricaMemberagco:NorthAmericaSegmentMember2024-01-012024-12-310000880266srt:AfricaMemberagco:SouthAmericaSegmentMember2024-01-012024-12-310000880266srt:AfricaMemberagco:EMESegmentMember2024-01-012024-12-310000880266srt:AfricaMemberagco:APASegmentMember2024-01-012024-12-310000880266srt:AfricaMember2024-01-012024-12-310000880266srt:AsiaMemberagco:NorthAmericaSegmentMember2024-01-012024-12-310000880266srt:AsiaMemberagco:SouthAmericaSegmentMember2024-01-012024-12-310000880266srt:AsiaMemberagco:EMESegmentMember2024-01-012024-12-310000880266srt:AsiaMemberagco:APASegmentMember2024-01-012024-12-310000880266srt:AsiaMember2024-01-012024-12-310000880266agco:AustraliaAndNewZealandMemberagco:NorthAmericaSegmentMember2024-01-012024-12-310000880266agco:AustraliaAndNewZealandMemberagco:SouthAmericaSegmentMember2024-01-012024-12-310000880266agco:AustraliaAndNewZealandMemberagco:EMESegmentMember2024-01-012024-12-310000880266agco:AustraliaAndNewZealandMemberagco:APASegmentMember2024-01-012024-12-310000880266agco:AustraliaAndNewZealandMember2024-01-012024-12-310000880266agco:MexicoCentralAmericaAndCaribbeanMemberagco:NorthAmericaSegmentMember2024-01-012024-12-310000880266agco:MexicoCentralAmericaAndCaribbeanMemberagco:SouthAmericaSegmentMember2024-01-012024-12-310000880266agco:MexicoCentralAmericaAndCaribbeanMemberagco:EMESegmentMember2024-01-012024-12-310000880266agco:MexicoCentralAmericaAndCaribbeanMemberagco:APASegmentMember2024-01-012024-12-310000880266agco:MexicoCentralAmericaAndCaribbeanMember2024-01-012024-12-310000880266agco:NorthAmericaSegmentMember2024-01-012024-12-310000880266agco:SouthAmericaSegmentMember2024-01-012024-12-310000880266agco:EMESegmentMember2024-01-012024-12-310000880266agco:APASegmentMember2024-01-012024-12-310000880266agco:TractorsMemberagco:NorthAmericaSegmentMember2024-01-012024-12-310000880266agco:TractorsMemberagco:SouthAmericaSegmentMember2024-01-012024-12-310000880266agco:TractorsMemberagco:EMESegmentMember2024-01-012024-12-310000880266agco:TractorsMemberagco:APASegmentMember2024-01-012024-12-310000880266agco:TractorsMember2024-01-012024-12-310000880266agco:ReplacementPartSalesMemberagco:NorthAmericaSegmentMember2024-01-012024-12-310000880266agco:ReplacementPartSalesMemberagco:SouthAmericaSegmentMember2024-01-012024-12-310000880266agco:ReplacementPartSalesMemberagco:EMESegmentMember2024-01-012024-12-310000880266agco:ReplacementPartSalesMemberagco:APASegmentMember2024-01-012024-12-310000880266agco:ReplacementPartSalesMember2024-01-012024-12-310000880266agco:GrainStorageAndProteinProductionSystemsMemberagco:NorthAmericaSegmentMember2024-01-012024-12-310000880266agco:GrainStorageAndProteinProductionSystemsMemberagco:SouthAmericaSegmentMember2024-01-012024-12-310000880266agco:GrainStorageAndProteinProductionSystemsMemberagco:EMESegmentMember2024-01-012024-12-310000880266agco:GrainStorageAndProteinProductionSystemsMemberagco:APASegmentMember2024-01-012024-12-310000880266agco:ApplicationEquipmentAndOtherMachineryProductLineMemberagco:NorthAmericaSegmentMember2024-01-012024-12-310000880266agco:ApplicationEquipmentAndOtherMachineryProductLineMemberagco:SouthAmericaSegmentMember2024-01-012024-12-310000880266agco:ApplicationEquipmentAndOtherMachineryProductLineMemberagco:EMESegmentMember2024-01-012024-12-310000880266agco:ApplicationEquipmentAndOtherMachineryProductLineMemberagco:APASegmentMember2024-01-012024-12-310000880266agco:ApplicationEquipmentAndOtherMachineryProductLineMember2024-01-012024-12-310000880266country:USagco:NorthAmericaSegmentMember2023-01-012023-12-310000880266country:USagco:SouthAmericaSegmentMember2023-01-012023-12-310000880266country:USagco:EMESegmentMember2023-01-012023-12-310000880266country:USagco:APASegmentMember2023-01-012023-12-310000880266country:US2023-01-012023-12-310000880266country:CAagco:NorthAmericaSegmentMember2023-01-012023-12-310000880266country:CAagco:SouthAmericaSegmentMember2023-01-012023-12-310000880266country:CAagco:EMESegmentMember2023-01-012023-12-310000880266country:CAagco:APASegmentMember2023-01-012023-12-310000880266country:CA2023-01-012023-12-310000880266country:DEagco:NorthAmericaSegmentMember2023-01-012023-12-310000880266country:DEagco:SouthAmericaSegmentMember2023-01-012023-12-310000880266country:DEagco:EMESegmentMember2023-01-012023-12-310000880266country:DEagco:APASegmentMember2023-01-012023-12-310000880266country:DE2023-01-012023-12-310000880266country:FRagco:NorthAmericaSegmentMember2023-01-012023-12-310000880266country:FRagco:SouthAmericaSegmentMember2023-01-012023-12-310000880266country:FRagco:EMESegmentMember2023-01-012023-12-310000880266country:FRagco:APASegmentMember2023-01-012023-12-310000880266country:FR2023-01-012023-12-310000880266agco:UnitedKingdomAndIrelandMemberagco:NorthAmericaSegmentMember2023-01-012023-12-310000880266agco:UnitedKingdomAndIrelandMemberagco:SouthAmericaSegmentMember2023-01-012023-12-310000880266agco:UnitedKingdomAndIrelandMemberagco:EMESegmentMember2023-01-012023-12-310000880266agco:UnitedKingdomAndIrelandMemberagco:APASegmentMember2023-01-012023-12-310000880266agco:UnitedKingdomAndIrelandMember2023-01-012023-12-310000880266agco:FinlandAndScandinaviaMemberagco:NorthAmericaSegmentMember2023-01-012023-12-310000880266agco:FinlandAndScandinaviaMemberagco:SouthAmericaSegmentMember2023-01-012023-12-310000880266agco:FinlandAndScandinaviaMemberagco:EMESegmentMember2023-01-012023-12-310000880266agco:FinlandAndScandinaviaMemberagco:APASegmentMember2023-01-012023-12-310000880266agco:FinlandAndScandinaviaMember2023-01-012023-12-310000880266country:ITagco:NorthAmericaSegmentMember2023-01-012023-12-310000880266country:ITagco:SouthAmericaSegmentMember2023-01-012023-12-310000880266country:ITagco:EMESegmentMember2023-01-012023-12-310000880266country:ITagco:APASegmentMember2023-01-012023-12-310000880266country:IT2023-01-012023-12-310000880266agco:OtherEuropeMemberagco:NorthAmericaSegmentMember2023-01-012023-12-310000880266agco:OtherEuropeMemberagco:SouthAmericaSegmentMember2023-01-012023-12-310000880266agco:OtherEuropeMemberagco:EMESegmentMember2023-01-012023-12-310000880266agco:OtherEuropeMemberagco:APASegmentMember2023-01-012023-12-310000880266agco:OtherEuropeMember2023-01-012023-12-310000880266country:BRagco:NorthAmericaSegmentMember2023-01-012023-12-310000880266country:BRagco:SouthAmericaSegmentMember2023-01-012023-12-310000880266country:BRagco:EMESegmentMember2023-01-012023-12-310000880266country:BRagco:APASegmentMember2023-01-012023-12-310000880266country:BR2023-01-012023-12-310000880266agco:OtherSouthAmericaMemberagco:NorthAmericaSegmentMember2023-01-012023-12-310000880266agco:OtherSouthAmericaMemberagco:SouthAmericaSegmentMember2023-01-012023-12-310000880266agco:OtherSouthAmericaMemberagco:EMESegmentMember2023-01-012023-12-310000880266agco:OtherSouthAmericaMemberagco:APASegmentMember2023-01-012023-12-310000880266agco:OtherSouthAmericaMember2023-01-012023-12-310000880266agco:MiddleEastandAlgeriaMemberagco:NorthAmericaSegmentMember2023-01-012023-12-310000880266agco:MiddleEastandAlgeriaMemberagco:SouthAmericaSegmentMember2023-01-012023-12-310000880266agco:MiddleEastandAlgeriaMemberagco:EMESegmentMember2023-01-012023-12-310000880266agco:MiddleEastandAlgeriaMemberagco:APASegmentMember2023-01-012023-12-310000880266agco:MiddleEastandAlgeriaMember2023-01-012023-12-310000880266srt:AfricaMemberagco:NorthAmericaSegmentMember2023-01-012023-12-310000880266srt:AfricaMemberagco:SouthAmericaSegmentMember2023-01-012023-12-310000880266srt:AfricaMemberagco:EMESegmentMember2023-01-012023-12-310000880266srt:AfricaMemberagco:APASegmentMember2023-01-012023-12-310000880266srt:AfricaMember2023-01-012023-12-310000880266srt:AsiaMemberagco:NorthAmericaSegmentMember2023-01-012023-12-310000880266srt:AsiaMemberagco:SouthAmericaSegmentMember2023-01-012023-12-310000880266srt:AsiaMemberagco:EMESegmentMember2023-01-012023-12-310000880266srt:AsiaMemberagco:APASegmentMember2023-01-012023-12-310000880266srt:AsiaMember2023-01-012023-12-310000880266agco:AustraliaAndNewZealandMemberagco:NorthAmericaSegmentMember2023-01-012023-12-310000880266agco:AustraliaAndNewZealandMemberagco:SouthAmericaSegmentMember2023-01-012023-12-310000880266agco:AustraliaAndNewZealandMemberagco:EMESegmentMember2023-01-012023-12-310000880266agco:AustraliaAndNewZealandMemberagco:APASegmentMember2023-01-012023-12-310000880266agco:AustraliaAndNewZealandMember2023-01-012023-12-310000880266agco:MexicoCentralAmericaAndCaribbeanMemberagco:NorthAmericaSegmentMember2023-01-012023-12-310000880266agco:MexicoCentralAmericaAndCaribbeanMemberagco:SouthAmericaSegmentMember2023-01-012023-12-310000880266agco:MexicoCentralAmericaAndCaribbeanMemberagco:EMESegmentMember2023-01-012023-12-310000880266agco:MexicoCentralAmericaAndCaribbeanMemberagco:APASegmentMember2023-01-012023-12-310000880266agco:MexicoCentralAmericaAndCaribbeanMember2023-01-012023-12-310000880266agco:NorthAmericaSegmentMember2023-01-012023-12-310000880266agco:SouthAmericaSegmentMember2023-01-012023-12-310000880266agco:EMESegmentMember2023-01-012023-12-310000880266agco:APASegmentMember2023-01-012023-12-310000880266agco:TractorsMemberagco:NorthAmericaSegmentMember2023-01-012023-12-310000880266agco:TractorsMemberagco:SouthAmericaSegmentMember2023-01-012023-12-310000880266agco:TractorsMemberagco:EMESegmentMember2023-01-012023-12-310000880266agco:TractorsMemberagco:APASegmentMember2023-01-012023-12-310000880266agco:TractorsMember2023-01-012023-12-310000880266agco:ReplacementPartSalesMemberagco:NorthAmericaSegmentMember2023-01-012023-12-310000880266agco:ReplacementPartSalesMemberagco:SouthAmericaSegmentMember2023-01-012023-12-310000880266agco:ReplacementPartSalesMemberagco:EMESegmentMember2023-01-012023-12-310000880266agco:ReplacementPartSalesMemberagco:APASegmentMember2023-01-012023-12-310000880266agco:ReplacementPartSalesMember2023-01-012023-12-310000880266agco:GrainStorageAndProteinProductionSystemsMemberagco:NorthAmericaSegmentMember2023-01-012023-12-310000880266agco:GrainStorageAndProteinProductionSystemsMemberagco:SouthAmericaSegmentMember2023-01-012023-12-310000880266agco:GrainStorageAndProteinProductionSystemsMemberagco:EMESegmentMember2023-01-012023-12-310000880266agco:GrainStorageAndProteinProductionSystemsMemberagco:APASegmentMember2023-01-012023-12-310000880266agco:ApplicationEquipmentAndOtherMachineryProductLineMemberagco:NorthAmericaSegmentMember2023-01-012023-12-310000880266agco:ApplicationEquipmentAndOtherMachineryProductLineMemberagco:SouthAmericaSegmentMember2023-01-012023-12-310000880266agco:ApplicationEquipmentAndOtherMachineryProductLineMemberagco:EMESegmentMember2023-01-012023-12-310000880266agco:ApplicationEquipmentAndOtherMachineryProductLineMemberagco:APASegmentMember2023-01-012023-12-310000880266agco:ApplicationEquipmentAndOtherMachineryProductLineMember2023-01-012023-12-310000880266country:USagco:NorthAmericaSegmentMember2022-01-012022-12-310000880266country:USagco:SouthAmericaSegmentMember2022-01-012022-12-310000880266country:USagco:EMESegmentMember2022-01-012022-12-310000880266country:USagco:APASegmentMember2022-01-012022-12-310000880266country:US2022-01-012022-12-310000880266country:CAagco:NorthAmericaSegmentMember2022-01-012022-12-310000880266country:CAagco:SouthAmericaSegmentMember2022-01-012022-12-310000880266country:CAagco:EMESegmentMember2022-01-012022-12-310000880266country:CAagco:APASegmentMember2022-01-012022-12-310000880266country:CA2022-01-012022-12-310000880266country:DEagco:NorthAmericaSegmentMember2022-01-012022-12-310000880266country:DEagco:SouthAmericaSegmentMember2022-01-012022-12-310000880266country:DEagco:EMESegmentMember2022-01-012022-12-310000880266country:DEagco:APASegmentMember2022-01-012022-12-310000880266country:DE2022-01-012022-12-310000880266country:FRagco:NorthAmericaSegmentMember2022-01-012022-12-310000880266country:FRagco:SouthAmericaSegmentMember2022-01-012022-12-310000880266country:FRagco:EMESegmentMember2022-01-012022-12-310000880266country:FRagco:APASegmentMember2022-01-012022-12-310000880266country:FR2022-01-012022-12-310000880266agco:UnitedKingdomAndIrelandMemberagco:NorthAmericaSegmentMember2022-01-012022-12-310000880266agco:UnitedKingdomAndIrelandMemberagco:SouthAmericaSegmentMember2022-01-012022-12-310000880266agco:UnitedKingdomAndIrelandMemberagco:EMESegmentMember2022-01-012022-12-310000880266agco:UnitedKingdomAndIrelandMemberagco:APASegmentMember2022-01-012022-12-310000880266agco:UnitedKingdomAndIrelandMember2022-01-012022-12-310000880266agco:FinlandAndScandinaviaMemberagco:NorthAmericaSegmentMember2022-01-012022-12-310000880266agco:FinlandAndScandinaviaMemberagco:SouthAmericaSegmentMember2022-01-012022-12-310000880266agco:FinlandAndScandinaviaMemberagco:EMESegmentMember2022-01-012022-12-310000880266agco:FinlandAndScandinaviaMemberagco:APASegmentMember2022-01-012022-12-310000880266agco:FinlandAndScandinaviaMember2022-01-012022-12-310000880266country:ITagco:NorthAmericaSegmentMember2022-01-012022-12-310000880266country:ITagco:SouthAmericaSegmentMember2022-01-012022-12-310000880266country:ITagco:EMESegmentMember2022-01-012022-12-310000880266country:ITagco:APASegmentMember2022-01-012022-12-310000880266country:IT2022-01-012022-12-310000880266agco:OtherEuropeMemberagco:NorthAmericaSegmentMember2022-01-012022-12-310000880266agco:OtherEuropeMemberagco:SouthAmericaSegmentMember2022-01-012022-12-310000880266agco:OtherEuropeMemberagco:EMESegmentMember2022-01-012022-12-310000880266agco:OtherEuropeMemberagco:APASegmentMember2022-01-012022-12-310000880266agco:OtherEuropeMember2022-01-012022-12-310000880266country:BRagco:NorthAmericaSegmentMember2022-01-012022-12-310000880266country:BRagco:SouthAmericaSegmentMember2022-01-012022-12-310000880266country:BRagco:EMESegmentMember2022-01-012022-12-310000880266country:BRagco:APASegmentMember2022-01-012022-12-310000880266country:BR2022-01-012022-12-310000880266agco:OtherSouthAmericaMemberagco:NorthAmericaSegmentMember2022-01-012022-12-310000880266agco:OtherSouthAmericaMemberagco:SouthAmericaSegmentMember2022-01-012022-12-310000880266agco:OtherSouthAmericaMemberagco:EMESegmentMember2022-01-012022-12-310000880266agco:OtherSouthAmericaMemberagco:APASegmentMember2022-01-012022-12-310000880266agco:OtherSouthAmericaMember2022-01-012022-12-310000880266agco:MiddleEastandAlgeriaMemberagco:NorthAmericaSegmentMember2022-01-012022-12-310000880266agco:MiddleEastandAlgeriaMemberagco:SouthAmericaSegmentMember2022-01-012022-12-310000880266agco:MiddleEastandAlgeriaMemberagco:EMESegmentMember2022-01-012022-12-310000880266agco:MiddleEastandAlgeriaMemberagco:APASegmentMember2022-01-012022-12-310000880266agco:MiddleEastandAlgeriaMember2022-01-012022-12-310000880266srt:AfricaMemberagco:NorthAmericaSegmentMember2022-01-012022-12-310000880266srt:AfricaMemberagco:SouthAmericaSegmentMember2022-01-012022-12-310000880266srt:AfricaMemberagco:EMESegmentMember2022-01-012022-12-310000880266srt:AfricaMemberagco:APASegmentMember2022-01-012022-12-310000880266srt:AfricaMember2022-01-012022-12-310000880266srt:AsiaMemberagco:NorthAmericaSegmentMember2022-01-012022-12-310000880266srt:AsiaMemberagco:SouthAmericaSegmentMember2022-01-012022-12-310000880266srt:AsiaMemberagco:EMESegmentMember2022-01-012022-12-310000880266srt:AsiaMemberagco:APASegmentMember2022-01-012022-12-310000880266srt:AsiaMember2022-01-012022-12-310000880266agco:AustraliaAndNewZealandMemberagco:NorthAmericaSegmentMember2022-01-012022-12-310000880266agco:AustraliaAndNewZealandMemberagco:SouthAmericaSegmentMember2022-01-012022-12-310000880266agco:AustraliaAndNewZealandMemberagco:EMESegmentMember2022-01-012022-12-310000880266agco:AustraliaAndNewZealandMemberagco:APASegmentMember2022-01-012022-12-310000880266agco:AustraliaAndNewZealandMember2022-01-012022-12-310000880266agco:MexicoCentralAmericaAndCaribbeanMemberagco:NorthAmericaSegmentMember2022-01-012022-12-310000880266agco:MexicoCentralAmericaAndCaribbeanMemberagco:SouthAmericaSegmentMember2022-01-012022-12-310000880266agco:MexicoCentralAmericaAndCaribbeanMemberagco:EMESegmentMember2022-01-012022-12-310000880266agco:MexicoCentralAmericaAndCaribbeanMemberagco:APASegmentMember2022-01-012022-12-310000880266agco:MexicoCentralAmericaAndCaribbeanMember2022-01-012022-12-310000880266agco:NorthAmericaSegmentMember2022-01-012022-12-310000880266agco:SouthAmericaSegmentMember2022-01-012022-12-310000880266agco:EMESegmentMember2022-01-012022-12-310000880266agco:APASegmentMember2022-01-012022-12-310000880266agco:TractorsMemberagco:NorthAmericaSegmentMember2022-01-012022-12-310000880266agco:TractorsMemberagco:SouthAmericaSegmentMember2022-01-012022-12-310000880266agco:TractorsMemberagco:EMESegmentMember2022-01-012022-12-310000880266agco:TractorsMemberagco:APASegmentMember2022-01-012022-12-310000880266agco:TractorsMember2022-01-012022-12-310000880266agco:ReplacementPartSalesMemberagco:NorthAmericaSegmentMember2022-01-012022-12-310000880266agco:ReplacementPartSalesMemberagco:SouthAmericaSegmentMember2022-01-012022-12-310000880266agco:ReplacementPartSalesMemberagco:EMESegmentMember2022-01-012022-12-310000880266agco:ReplacementPartSalesMemberagco:APASegmentMember2022-01-012022-12-310000880266agco:ReplacementPartSalesMember2022-01-012022-12-310000880266agco:GrainStorageAndProteinProductionSystemsMemberagco:NorthAmericaSegmentMember2022-01-012022-12-310000880266agco:GrainStorageAndProteinProductionSystemsMemberagco:SouthAmericaSegmentMember2022-01-012022-12-310000880266agco:GrainStorageAndProteinProductionSystemsMemberagco:EMESegmentMember2022-01-012022-12-310000880266agco:GrainStorageAndProteinProductionSystemsMemberagco:APASegmentMember2022-01-012022-12-310000880266agco:GrainStorageAndProteinProductionSystemsMember2022-01-012022-12-310000880266agco:ApplicationEquipmentAndOtherMachineryProductLineMemberagco:NorthAmericaSegmentMember2022-01-012022-12-310000880266agco:ApplicationEquipmentAndOtherMachineryProductLineMemberagco:SouthAmericaSegmentMember2022-01-012022-12-310000880266agco:ApplicationEquipmentAndOtherMachineryProductLineMemberagco:EMESegmentMember2022-01-012022-12-310000880266agco:ApplicationEquipmentAndOtherMachineryProductLineMemberagco:APASegmentMember2022-01-012022-12-310000880266agco:ApplicationEquipmentAndOtherMachineryProductLineMember2022-01-012022-12-310000880266us-gaap:OperatingSegmentsMemberagco:NorthAmericaSegmentMember2024-01-012024-12-310000880266us-gaap:OperatingSegmentsMemberagco:SouthAmericaSegmentMember2024-01-012024-12-310000880266us-gaap:OperatingSegmentsMemberagco:EMESegmentMember2024-01-012024-12-310000880266us-gaap:OperatingSegmentsMemberagco:APASegmentMember2024-01-012024-12-310000880266us-gaap:OperatingSegmentsMember2024-01-012024-12-310000880266us-gaap:OperatingSegmentsMemberagco:NorthAmericaSegmentMember2024-12-310000880266us-gaap:OperatingSegmentsMemberagco:SouthAmericaSegmentMember2024-12-310000880266us-gaap:OperatingSegmentsMemberagco:EMESegmentMember2024-12-310000880266us-gaap:OperatingSegmentsMemberagco:APASegmentMember2024-12-310000880266us-gaap:OperatingSegmentsMember2024-12-310000880266us-gaap:OperatingSegmentsMemberagco:NorthAmericaSegmentMember2023-01-012023-12-310000880266us-gaap:OperatingSegmentsMemberagco:SouthAmericaSegmentMember2023-01-012023-12-310000880266us-gaap:OperatingSegmentsMemberagco:EMESegmentMember2023-01-012023-12-310000880266us-gaap:OperatingSegmentsMemberagco:APASegmentMember2023-01-012023-12-310000880266us-gaap:OperatingSegmentsMember2023-01-012023-12-310000880266us-gaap:OperatingSegmentsMemberagco:NorthAmericaSegmentMember2023-12-310000880266us-gaap:OperatingSegmentsMemberagco:SouthAmericaSegmentMember2023-12-310000880266us-gaap:OperatingSegmentsMemberagco:EMESegmentMember2023-12-310000880266us-gaap:OperatingSegmentsMemberagco:APASegmentMember2023-12-310000880266us-gaap:OperatingSegmentsMember2023-12-310000880266us-gaap:OperatingSegmentsMemberagco:NorthAmericaSegmentMember2022-01-012022-12-310000880266us-gaap:OperatingSegmentsMemberagco:SouthAmericaSegmentMember2022-01-012022-12-310000880266us-gaap:OperatingSegmentsMemberagco:EMESegmentMember2022-01-012022-12-310000880266us-gaap:OperatingSegmentsMemberagco:APASegmentMember2022-01-012022-12-310000880266us-gaap:OperatingSegmentsMember2022-01-012022-12-310000880266us-gaap:OperatingSegmentsMemberagco:NorthAmericaSegmentMember2022-12-310000880266us-gaap:OperatingSegmentsMemberagco:SouthAmericaSegmentMember2022-12-310000880266us-gaap:OperatingSegmentsMemberagco:EMESegmentMember2022-12-310000880266us-gaap:OperatingSegmentsMemberagco:APASegmentMember2022-12-310000880266us-gaap:OperatingSegmentsMember2022-12-310000880266us-gaap:MaterialReconcilingItemsMember2024-01-012024-12-310000880266us-gaap:MaterialReconcilingItemsMember2023-01-012023-12-310000880266us-gaap:MaterialReconcilingItemsMember2022-01-012022-12-310000880266us-gaap:MaterialReconcilingItemsMember2024-12-310000880266us-gaap:MaterialReconcilingItemsMember2023-12-310000880266us-gaap:MaterialReconcilingItemsMember2022-12-310000880266country:US2024-12-310000880266country:US2023-12-310000880266country:DE2024-12-310000880266country:DE2023-12-310000880266country:BR2024-12-310000880266country:BR2023-12-310000880266country:FI2024-12-310000880266country:FI2023-12-310000880266country:FR2024-12-310000880266country:FR2023-12-310000880266country:IT2024-12-310000880266country:IT2023-12-310000880266country:CN2024-12-310000880266country:CN2023-12-310000880266country:DK2024-12-310000880266country:DK2023-12-310000880266agco:OtherCountriesMember2024-12-310000880266agco:OtherCountriesMember2023-12-31
UNITED STATES
SECURITIES AND EXCHANGE COMMISSION
WASHINGTON, D.C. 20549
FORM 10-K
ANNUAL REPORT PURSUANT TO SECTION 13 OR 15(d) OF THE SECURITIES EXCHANGE ACT OF 1934
For the fiscal year ended December 31, 2024
OR
TRANSITION REPORT PURSUANT TO SECTION 13 OR 15(d) OF THE SECURITIES EXCHANGE ACT OF 1934
For the transition period from _________ to _________
Commission File Number: 001-12930
AGCO CORPORATION
(Exact name of Registrant as specified in its charter)
Delaware
58-1960019
(State or other jurisdiction of incorporation or organization)(I.R.S. Employer Identification No.)
4205 River Green Parkway
Duluth,Georgia30096
(Address of principal executive offices)
(Zip Code)
(770) 813-9200
(Registrants telephone number, including area code)
Securities registered pursuant to Section 12(b) of the Act:
Title of ClassTrading SymbolName of exchange on which registered
Common stockAGCONew York Stock Exchange
Indicate by check mark if the registrant is a well-known seasoned issuer as defined in Rule 405 of the Securities Act. Yes No o
Indicate by check mark if the registrant is not required to file reports pursuant to Section 13 or Section 15(d) of the Act. Yes No
Indicate by check mark whether the registrant: (1) has filed all reports required to be filed by Section 13 or 15(d) of the Securities Exchange Act of 1934 during the preceding 12 months (or for such shorter period that the registrant was required to file such reports), and (2) has been subject to such filing requirements for the past 90 days. Yes No o
Indicate by check mark whether the registrant has submitted electronically every Interactive Data File required to be submitted pursuant to Rule 405 of Regulation S-T (§232.405 of this chapter) during the preceding 12 months (or for such shorter period that the registrant was required to submit such files). Yes No o
Indicate by check mark whether the registrant is a large accelerated filer, an accelerated filer, a non-accelerated filer, a smaller reporting company or an emerging growth company. See definitions of “large accelerated filer,” “accelerated filer,” “smaller reporting company” and “emerging growth company” in Rule 12b-2 of the Exchange Act. (Check one):
Large accelerated fileroAccelerated fileroNon-accelerated filerSmaller reporting companyEmerging growth company
If an emerging growth company, indicate by check mark if the registrant has elected not to use the extended transition period for complying with any new or revised financial accounting standards provided pursuant to Section 13(a) of the Exchange Act. o
Indicate by check mark whether the registrant has filed a report on and attestation to its management’s assessment of the effectiveness of its internal control over financial reporting under Section 404(b) of the Sarbanes-Oxley Act (15 U.S.C. 7262(b)) by the registered public accounting firm that prepared or issued its audit report.
If securities are registered pursuant to Section 12(b) of the Act, indicate by check mark whether the financial statements of the registrant included in the filing reflect the correction of an error to previously issued financial statements. o
Indicate by check mark whether any of those error corrections are restatements that required a recovery analysis of incentive-based compensation received by any of the registrant’s executive officers during the relevant recovery period pursuant to § 240.10D-1(b). o
Indicate by check mark whether the registrant is a shell company (as defined in Rule 12b-2 of the Exchange Act). Yes No ☒
The aggregate market value of AGCO Corporation’s Common Stock (based upon the closing sales price quoted on the New York Stock Exchange) held by non-affiliates as of June 30, 2024 was approximately $6.1 billion. For this purpose, directors and officers and the entities that they control have been assumed to be affiliates. As of February 10, 2025, 74,582,014 shares of AGCO Corporation’s Common Stock were outstanding.
Documents Incorporated by Reference
Portions of AGCO Corporation’s Proxy Statement for the 2025 Annual Meeting of Stockholders are incorporated by reference into Part III of this Form 10-K.


TABLE OF CONTENTS



PART I

Item 1.        Business

    AGCO Corporation was incorporated in Delaware in 1991. Unless otherwise indicated, all references in this Form 10-K to “AGCO,” “we,” “us” or the “Company” include AGCO Corporation and its subsidiaries.

General

    We are a global leader in the design, manufacture and distribution of agricultural machinery and precision agriculture technology. We deliver value to farmers and Original Equipment Manufacturer (“OEM”) customers through our differentiated brand portfolio including leading brands Fendt®, Massey Ferguson®, PTx and Valtra®. Our full line of equipment, smart farming solutions and services helps farmers sustainably feed our world. We distribute most of our products through approximately 2,700 independent dealers and distributors in approximately 140 countries. We also provide retail and wholesale financing through our finance joint ventures with Coöperatieve Rabobank U.A., which, together with its affiliates, we refer to as “Rabobank.” In 2024, we fundamentally shifted our portfolio through the PTx Trimble joint venture and the divestiture of the majority of our Grain & Protein (“G&P”) business.

    On April 1, 2024, pursuant to the terms of an Amended and Restated Sale and Contribution Agreement among AGCO, Trimble and PTx Trimble (the “Joint Venture”), AGCO and Trimble completed (i) the contribution by Trimble to the Joint Venture of Trimble’s OneAg business, which is Trimble’s agricultural business, excluding certain Global Navigation Satellite System and guidance technologies, and $8.1 million of cash, (ii) the contribution by AGCO to the Joint Venture of its interest in JCA Industries, LLC d/b/a JCA Technologies and $46.0 million of cash, and (iii) the purchase by AGCO from Trimble of membership interests in the Joint Venture in exchange for the payment by AGCO to Trimble of $1,954.0 million in cash, subject to customary working capital and other adjustments. Immediately following the closing and as a result of the transaction, AGCO directly and indirectly owns an 85% interest in the Joint Venture and Trimble owns a 15% interest in the Joint Venture. AGCO began consolidating PTx Trimble within its consolidated financial statements on April 1, 2024. We believe PTx Trimble creates a global-leading mixed-fleet precision agriculture platform. We are the exclusive provider of the comprehensive technology offering, supporting the future development and distribution of next-generation agriculture technologies, allowing us to offer a wide variety of user-friendly technologies compatible across brands, equipment models and farm types. The acquired hardware, software and cloud-based applications span all aspects of the crop cycle, from land preparation to planting and seeding to harvest. Refer to Note 2 of our Consolidated Financial Statements contained in Item 8, “Financial Statements and Supplementary Data,” for further information.

    On July 25, 2024, the Company entered into a Stock and Asset Purchase Agreement to sell the majority of its G&P business, which includes the GSI®, Automated Production® (AP), Cumberland®, Cimbria® and Tecno® brands for a purchase price of $700.0 million, subject to customary working capital and other adjustments. On November 1, 2024, the Company completed the sale of the Company’s G&P business to A-AG Holdco Limited, an affiliate of American Industrial Partners. The divestiture of the G&P business aligns with AGCO's efforts to better position itself for high margin growth and allows for AGCO to better streamline and focus on its portfolio of agricultural machinery and precision ag technology products. Refer to Note 3 of our Consolidated Financial Statements contained in Item 8, “Financial Statements and Supplementary Data,” for further information.
1

Products

    The following table sets forth a description of the Company’s more significant products and their percentage of net sales:

Percentage of Net Sales(1)
ProductProduct Description
2024
2023
2022
TractorsHigh horsepower tractors (140 to 650 horsepower); typically used on large acreage farms, primarily for row crop production, soil cultivation, planting, land leveling, seeding and commercial hay operations61 %61 %59 %
Utility or Mid-range tractors (40 to 130 horsepower); typically used on small and medium-sized farms and in specialty agricultural industries, including dairy, livestock, orchards and vineyards
Compact tractors (under 40 horsepower); typically used on small farms and specialty agricultural industries, as well as for landscaping, equestrian and residential uses
CombinesCombines, sold with a variety of threshing technologies and complemented by a variety of crop-harvesting heads; typically used in harvesting grain crops such as corn, wheat, soybeans and rice%%%
Hay Tools and Forage Equipment, Planters, Implements & Other EquipmentRound and rectangular balers, loader wagons, self-propelled windrowers, forage harvesters, disc mowers, spreaders, rakes, tedders, and mower conditioners; used for the harvesting and packaging of vegetative feeds used in the cattle, dairy, horse and renewable fuel industries10 %12 %12 %
Planters and other planting equipment (including retrofit equipment); used to plant seeds and apply fertilizer in the field, typically used for row crops, including planting technologies that cover the areas of monitoring and measurement, liquid control and delivery, meter accuracy and seed delivery
Implements, including disc harrows, which cut through crop residue, leveling seed beds and mixing chemicals with the soils; heavy tillage, which break up soil and mix crop residue into topsoil, with or without prior discing; field cultivators, which prepare a smooth seed bed and destroy weeds; and drills, which are primarily used for small grain seeding
Other equipment, including loaders; used for a variety of tasks, including lifting and transporting hay crops
Application Equipment
Self-propelled, three and four wheeled vehicles and related equipment; for use in the application of liquid and dry fertilizers and crop protection chemicals both prior to planting crops (“pre-emergence”) and after crops emerge from the ground (“post-emergence”)
%%%
Replacement Parts
Replacement parts for all of the products we sell, including products no longer in production. Most of our products can be economically maintained with parts and service for a period of 10 to 20 years. Our parts inventories are maintained and distributed through a network of master and regional warehouses throughout North America, South America, Europe, Africa, China and Australia in order to provide timely response to customer demand for replacement parts
16 %13 %13 %
Grain Storage and Protein Production Systems
Grain storage bins and related drying and handling equipment systems; seed-processing systems; swine and poultry feed storage and delivery, ventilation and watering systems; egg production systems, and broiler production equipment
%%%
____________________________________
(1)    The summation of these individual percentages may not total due to rounding.

Precision Agriculture

     In 2024, we launched PTx, a new brand representing our precision ag portfolio. PTx combines precision ag technologies from the cornerstones of AGCO's tech stack: Precision Planting® and its newest joint venture, PTx Trimble. AGCO's PTx technologies enable farmers who use almost any brand to increase profitability and sustainability. With retrofit, factory-fit and OEM solutions that work across mixed fleets, we help transform farmers' equipment into smarter, more efficient machines. Our PTx solutions provide retrofit solutions to upgrade farmers’ existing equipment to improve their planting, fertilizer, pesticide and herbicide application and harvest operations, resulting in yield and cost optimization.These solutions are reflected in the table above. We provide telemetry-based fleet management tools, including remote monitoring and diagnostics, which help farmers improve uptime, machine and yield optimization, mixed fleet optimization and decision support, with critical data privacy choices and convenient mobile tools that offer access to data and information. These products ultimately result in improved yields or reduced waste as well as increased profitability for farmers to help enable sustainable farming. In addition, our precision agriculture solutions are based on connectivity, automation and digitalization and include satellite-based steering, field data collection, product self-adjustment and yield-mapping. PTx sells precision agriculture solutions around the crop cycle to third-party original equipment manufacturers (“OEMs”) and supports our products, brands and the aftermarket with a comprehensive and customizable suite of solutions, enabling farmers to make individual, data-based decisions in order to reduce costs and maximize efficiency, yields and profitability. These technologies are developed internally or sourced from third parties and integrated into our products. We believe that these products and related devices are highly valued by farmers
2

globally and are integral to the current and future growth of our equipment sales and revenues. The PTx Trimble Joint Venture, which closed on April 1, 2024, complements and enhances AGCO’s existing precision agriculture portfolio to deliver even more industry leading solutions across the crop cycle by creating a global-leading mixed-fleet precision agriculture platform. By combining these two precision agriculture portfolios, we believe we are positioned to drive outsized growth and better provide next-generation technologies to even more farmers around the world.

Operational Excellence

    The Company is focused on operational efficiencies to build a more resilient business. On June 24, 2024, the Company announced a restructuring program (the “Program”) in response to increased weakening demand in the agriculture industry. The initial phase of the Program is focused on further reducing structural costs, streamlining the Company’s workforce and enhancing global efficiencies related to changing the Company’s operating model for certain corporate and back-office functions and better leveraging technology and global centers of excellence. The Company estimates that it will incur charges for one-time termination benefits of approximately $150.0 million to $200.0 million in connection with this phase of the Program, primarily consisting of cash charges related to severance payments, employees benefits and related costs. The Company incurred the majority of charges in 2024 and expects to incur the remaining charges in 2025. Once fully implemented, the Company expects this phase of the Program to yield annual run-rate benefits and cost savings of approximately $100.0 million to $125.0 million. Additionally, we are reimagining our business operations globally with efficiency initiatives and structural changes of processes (offshore, automate, outsource).

Market Conditions

    Demand for agricultural equipment is cyclical, influenced by, among other things, farm income, farm land values and debt levels, financing costs, acreage planted, crop yields, weather conditions, the demand for agricultural commodities, commodity and protein prices, agricultural product demand and general economic conditions and government policies, tariffs and subsidies. Geopolitical factors, including inflation, tariffs and regional conflicts, continue to create volatility in the global economy, including the potential for energy shortages, employment disruptions, supply chain constraints and delays in deliveries, as well as logistics interruptions. Global industry demand for farm equipment, driven by farm income, declined during 2024 in most major markets compared to 2023. The future demand for agricultural equipment will be influenced by the factors noted above.

2024 Compared to 2023 Financial Highlights

    Net income (loss) attributable to AGCO Corporation for 2024 was $(424.8) million, or $(5.69) per diluted share, compared to $1,171.4 million, or $15.63 per diluted share for 2023.

    Net sales for 2024 were $11,661.9 million, or 19.1% lower than 2023, primarily due to lower sales volumes resulting from softer industry sales reflecting lower end market demand and unfavorable currency impacts. Income (loss) from operations was $(122.1) million in 2024 compared to $1,700.4 million in 2023. The decrease in income from operations in 2024 was primarily the result of lower sales and production volumes reflecting weak industry conditions, the recognition of
the loss on sale of the majority of the Company's G&P business as well as impairment charges and restructuring and business optimization expenses. Refer to “Financial Highlights” under Item 7, “Management’s Discussion and Analysis of Financial Condition and Results of Operations,” for additional information.

Competition

    The agricultural industry is highly competitive. We compete with several large national and international full-line suppliers, as well as numerous short-line and specialty manufacturers with differing manufacturing and marketing methods. Our two principal competitors on a worldwide basis are Deere & Company and CNH Industrial N.V. We have regional competitors around the world that have significant market share in a single country or a group of countries. Additionally, the industry is attracting technology-focused companies and start-up ventures as technology increasingly impacts all aspects of the crop cycle.

    We believe several key factors influence a buyer’s choice of farm equipment, including the strength and quality of a company’s dealers, the quality and pricing of products, dealer or brand loyalty, product availability, terms of financing and customer service. Refer to “Marketing and Distribution” for additional information.

3

Marketing and Distribution

Dealers and Distributors

    We distribute products primarily through a network of independent dealers and distributors. Our dealers are responsible for retail sales of equipment to end users and after-sales service and support. Our distributors may sell our product through networks of dealers supported by the distributors, and our distributors also may directly market our products and provide customer service support. Our sales are not dependent on any specific dealer, distributor or group of dealers. In some countries, we utilize associates and licensees to provide a distribution channel for our products and a source of low-cost production for certain products.
Independent Dealers and Distributors
Percent of Net Sales(1)
Geographical Region20242024
2023
2022
Europe75555 %49 %49 %
North America1,21524 %26 %25 %
South America32511 %16 %17 %
Rest of World (2)
40510 %%%
____________________________________
(1)    The summation of these individual percentages may not total due to rounding.
(2)    Consists of countries in Africa, the Middle East, Australia and Asia.

Dealer Support and Supervision

    We believe that one of the most important criteria affecting a farmer’s decision to purchase a particular brand of equipment is the quality of the dealer who sells and services the equipment. We support our dealers in order to improve the quality of our dealer network. In 2024, we announced the launch of FarmerCore, a global initiative to deliver a next generation farmer and dealer experience built on three pillars: the on-farm mindset, smart network coverage and digital engagement. FarmerCore will be implemented in close partnership with AGCO’s global dealer network. The program launched this year in select North and South America dealer organizations, with continued expansion expected throughout 2025. We monitor each dealer’s performance and profitability and establish programs that focus on continuous dealer improvement. Our dealers generally have sales territories for which they are responsible.

    We believe that our ability to offer our dealers a full product line of agricultural machines and precision agriculture technology, as well as our digital tools to support the dealer’s sales, marketing, warranty and servicing efforts, helps ensure the vitality and increases the competitiveness of our dealer network. We also maintain dealer advisory groups to obtain dealer feedback on our operations.

    We provide our dealers with volume sales incentives, demonstration programs and other advertising support to assist sales. We design our sales programs, including retail financing incentives, and our policies for maintaining parts and service availability with extensive product warranties to enhance our dealers’ competitive position.

Resources

Manufacturing and Assembly

    We manufacture and assemble our products globally. Our locations are intended to optimize capacity, technology and local costs. We balance our manufacturing resources with externally-sourced machinery, components and/or replacement parts to enable us to better control costs, inventory levels and our supply of components. We believe that our manufacturing facilities are sufficient to meet our needs for the foreseeable future. Refer to Item 2, “Properties,” for a listing of our principal manufacturing locations.

    Our AGCO Power division produces diesel engines, gears and generating sets. The diesel engines are manufactured for use in a majority of our tractors, combines and sprayers, and also are sold to third parties. AGCO Power specializes in the manufacturing of off-road engines in the 75 to 500 horsepower range.


4

Components and Third-Party Suppliers

    We externally source some of our machinery, components and replacement parts from third-party suppliers. Our production strategy is intended to optimize our research and development and capital investment requirements and to allow us greater flexibility to respond to changes in market conditions.

    We purchase some fully manufactured tractors from Tractors and Farm Equipment Limited (“TAFE”), Carraro S.p.A. and Iseki & Company, Limited. We also purchase other tractors, implements and hay and forage equipment from various third-party suppliers. On April 26, 2024, we gave notice to TAFE that the Company was terminating all of its commercial relationships with TAFE. Refer to Note 18 of our Consolidated Financial Statements contained in Item 8, “Financial Statements and Supplementary Data,” for further discussion of our relationship with TAFE.

    In addition to the purchase of machinery, third-party suppliers supply us with significant components used in our manufacturing operations. We select third-party suppliers that we believe are low cost and high quality and possess the most appropriate technology.

    We also assist in the development of these products or component parts based upon our own design requirements. Our past experience with outside suppliers generally has been favorable, although from 2020 to 2022 we experienced supply chain disruptions for several key components, such as semiconductors. These supply chain disruptions eased over the course of 2023 and improved in 2024.

Intellectual Property

    We own and have licenses to the rights under a number of domestic and foreign patents, trademarks, trade names and brand names relating to our products and businesses. We defend our patent, trademark and trade and brand name rights primarily by monitoring competitors’ machines and industry publications and conducting other investigative work. We consider our intellectual property rights, including our right to use our trade and brand names, important in the operation of our businesses. However, we do not believe we are dependent on any single patent or group of patents, although several of our trade and brand names are internationally recognized and are important to our operations. We intend to maintain the separate strengths and identities of our core brand names and product lines.

Engineering, Research and Innovation

    We make significant expenditures for engineering and applied research to improve the quality and performance of our products, to develop new products and technologies which enhance agriculture and integrate sustainability and to comply with government safety and engine emissions regulations.

    Through AGCO Ventures, we source and fund new technologies to drive and support farmers worldwide. This initiative actively connects our business needs with industry and market perspectives to identify investment opportunities in startup companies, corporate venture funds, incubators, accelerators, higher education and research institutions. AGCO Ventures supports the accelerated development of critical capabilities and competencies across three strategic areas: information management and analytics, agriculture technology and environmental and alternative fuel sources.

Wholesale Financing, Sales Terms and Accounts Receivable Sales Agreement

    Primarily in the United States and Canada, we engage in the standard industry practice of providing dealers with floor plan payment terms for their inventories of farm equipment for extended periods, generally through our AGCO Finance joint ventures. The terms of our wholesale finance agreements with our dealers vary by region and product line, with fixed payment schedules on all sales, generally ranging from one to 12 months. In the United States and Canada, dealers typically are not required to make an initial down payment, and our terms allow for an interest-free period generally ranging from one to 12 months, depending on the product. Amounts due from sales to dealers in the United States and Canada are immediately due upon a retail sale of the underlying equipment by the dealer. If not previously paid by the dealer, installment payments generally are required beginning after the interest-free period with the remaining outstanding equipment balance generally due within 12 months after shipment. In limited circumstances, we provide sales terms, and in some cases interest-free periods, that are longer than 12 months for certain products. These typically are specified programs, predominantly in the United States and Canada, where interest is charged after a period of up to 24 months, depending on various factors including dealers’ sales volumes during the preceding year. We generally obtain a security interest in the new and used equipment we finance.

5

    Sales terms outside the United States and Canada are typically of a shorter duration, generally ranging from 30 to 180 days. In many cases, we retain a security interest in the equipment sold on extended terms. In certain international markets, our sales are often backed by letters of credit or credit insurance.

    We have accounts receivable sales agreements that permit transferring, on an ongoing basis, a majority of our wholesale receivables in North America, Europe and Brazil to our AGCO Finance joint ventures in the United States, Canada, Europe and Brazil. Upon transfer, the wholesale receivables maintain standard payment terms, including required regular principal payments on amounts outstanding and interest charges at market rates. Qualified dealers may obtain additional financing through our U.S., Canadian, European and Brazilian finance joint ventures at the joint ventures’ discretion. In addition, our AGCO Finance joint ventures may provide wholesale financing directly to dealers in Europe, Brazil and Australia. We also sell certain trade receivables under factoring arrangements to other third-party financial institutions around the world, and we account for the sale of such receivables as off-balance sheet transactions.

Retail Financing

    Our AGCO Finance joint ventures offer financing to most of the end users of our products. Besides contributing to our overall profitability, the AGCO Finance joint ventures enhance our sales efforts by tailoring retail finance programs to prevailing market conditions. Our AGCO Finance joint ventures provide both retail financing and wholesale financing to our dealers in the United States, Canada, Europe, Brazil, Argentina and Australia. AGCO owns a 49% interest in the joint ventures with the remaining interests owned by a wholly-owned subsidiary of Rabobank. The majority of the assets of the finance joint ventures consist of finance receivables. The majority of the liabilities consist of notes payable and accrued interest. Under the various joint venture agreements, Rabobank provides financing to the AGCO finance joint ventures, primarily through lines of credit. We do not guarantee the debt obligations of the joint ventures. In the United States and Canada, we guarantee certain minimum residual values to those joint ventures upon expiration of certain eligible operating leases between the finance joint ventures and end users. We also have other guarantees with our other finance joint ventures. Refer to Note 22 of our Consolidated Financial Statements contained in Item 8, “Financial Statements and Supplementary Data,” for additional information.

    In addition, Rabobank is the primary lender with respect to our credit facility, our senior term loan and our term loan facility, as are more fully described in “Liquidity and Capital Resources” within Item 7, “Management’s Discussion and Analysis of Financial Condition and Results of Operations.” Our historical relationship with Rabobank has been strong, and we anticipate its continued long-term support of our business.

Seasonality

    Generally, retail sales by dealers to farmers are highly seasonal and largely are a function of the timing of the planting and harvesting seasons. To the extent possible, we attempt to ship products to our dealers and distributors on a level basis throughout the year to reduce the effect of seasonal retail demands on our manufacturing operations and to minimize our investment in inventory. Our financing requirements are subject to variations due to seasonal changes in working capital levels, which typically increase in the first half of the year and then decrease in the second half of the year. The fourth quarter is also typically a period for higher retail sales because of our customers’ year-end tax planning considerations, the increase in the availability of funds from completed harvests and the timing of dealer incentives. Our net sales and income from operations historically have been the lowest in the first quarter and have increased in subsequent quarters.

Environmental Regulations

    We are subject to environmental laws and regulations concerning emissions to the air, discharges of processed or other types of wastewater, and the generation, handling, storage, transportation, treatment and disposal of waste materials. These laws and regulations are constantly changing, and the effects that they may have on us in the future are impossible to accurately predict. We attempt to comply with all applicable environmental, health and safety laws and regulations. However, we believe that any expense or liability we may incur in connection with noncompliance with laws or regulations or the cleanup of any of our properties will not have a materially adverse effect on us.

    The engines manufactured by our AGCO Power division, which specializes in manufacturing off-road engines in the 75 to 500 horsepower range, currently comply with emissions standards and related requirements set by European, Brazilian and U.S. regulatory authorities, including both the United States Environmental Protection Agency and various state authorities. We expect to meet future emissions requirements through the introduction of new technology to our engines and exhaust after-treatment systems, as necessary. In some markets, such as the United States, we must obtain governmental environmental approvals in order to import our products, and these approvals can be difficult and time-consuming to obtain or may not be
6

obtainable at all. Production at our facilities and sales of our products could be impaired if AGCO Power and our other engine suppliers are unable to timely respond to any changes in environmental laws and regulations affecting engine emissions, including the emissions of greenhouse gases (“GHG”). Compliance with environmental and safety regulations has added, and will continue to add, to the cost of our products and increase the capital-intensive nature of our business.

Regulation and Government Policy

    We have manufacturing facilities or other physical presence globally and sell our products primarily through independent dealers and distributors in approximately 140 countries. This subjects us to a range of trade, product, foreign exchange, employment, tax, tariffs, environmental and other laws and regulations, in addition to the environmental regulations discussed previously, in a significant number of jurisdictions. Many jurisdictions and a variety of laws regulate the contractual relationships with our dealers. These laws impose substantive standards on the relationships between us and our dealers, including events of default, grounds for termination, non-renewal of dealer contracts and equipment repurchase requirements. Such laws could adversely affect our ability to terminate our dealers.

    In addition, each of the jurisdictions in which we operate or sell products has an important interest in the success of its agricultural industry and the consistency of the availability of reasonably priced food sources. These interests result in active political involvement in the agricultural industry, which in turn, can impact our business in a variety of ways.

Sustainability

    Our farmers continue to face increased challenges due to climate change. Our goal is to ensure that farmers have the machines and technologies they need to sustainably feed the world. Our products enable smart farming to help farms and machines run more efficiently with lower inputs and higher yields. Our precision agriculture products enable farmers to precisely place optimal amounts of inputs such as fertilizer, weed control and seeds. In addition, we are committed to driving down machinery emissions through battery powered electric tractors and other alternative fuel propulsion solutions to help farmers decarbonize and optimize their operations. AGCO also supports retrofit products on an array of OEM brands to customers which provide more flexibility, extend product lifecycles, and generate less emissions compared to new products.

    While much of our focus is on innovating sustainable solutions, we are also committed to integrating sustainability into our core business strategy. Our low-carbon transition plan establishes key levers to reduce our climate impact by addressing both operational and value chain emissions. In our operations, we are embracing renewable energy and furthering initiatives to make our sites more energy efficient. Throughout our value chain, we attempt to deliver sustainable product solutions, optimize our transportation and logistics networks and engage supply chain partners to help drive environmental progress.

Human Capital

    Our employees are our greatest asset and a key enabler of our success. We have approximately 24,000 employees worldwide, all guided by our Company’s clear purpose – to create farmer-focused solutions to sustainably feed our world. We are dedicated to retaining and developing our employees by promoting safety and well-being, providing opportunities for them to learn and lead, and creating a culture where they feel welcomed, valued, and heard.

    Our compensation programs, practices, and policies reflect our commitment to reward short and long-term performance that aligns with and drives shareholder value. Total direct compensation is generally positioned within a competitive range of the market median, with differentiation based on tenure, skills, proficiency and performance to attract and retain key talent. In addition to salaries, our compensation programs include annual short-term and long-term incentives and participation in various retirement savings plans, dependent upon the position and level of employee and the countries in which we operate. In 2024, our voluntary employee turnover rate was approximately 6.9%, compared to 7.5% in 2023.

    Our employees engage in learning and development targeted to their current roles and future career aspirations. This includes completing online, self-directed and instructor-led courses across a broad range of categories – leadership, professional skills, technical competencies and compliance. Compliance training includes educating our employees about AGCO’s cultural beliefs and ensuring they comply with our global Code of Conduct and associated policies, including anti-bribery/corruption, data privacy and cybersecurity, conflicts of interest, discrimination and workplace harassment and sexual harassment.

7

    We are deeply committed to identifying and developing the next generation of top-tier leadership by placing focus on technologically innovative talent. We conduct quarterly in-depth talent and succession reviews with our senior leadership team that concentrate on accelerating talent development and strengthening succession pipelines for our most critical roles, including recruiting from within. We review our succession plans with our Board’s Talent and Compensation Committee annually.

    During 2024, we shared our fourth annual global employee experience and engagement survey to all employees across our offices and shop floor locations worldwide to seek feedback on what we are doing well and where we can improve. The results showed a favorable engagement score of approximately 67%, which aligns with our core employee engagement index metric, based upon 81% workforce participation. In addition to our annual survey, we conducted intermittent pulse surveys, which enabled real-time feedback on targeted topics.

    We are committed to ensuring our Board is highly-skilled and gender-diverse. Three of our current ten board members are women. Women represent approximately 14% of our full-time executive positions at the senior vice president and vice president levels, and approximately 18% of our overall full-time management-level employees. We want to increase the percentage of female representation in our full time management-level employee group and our overall global employee base.

Health, Wellness and Safety

    We are committed to the health, safety and wellness of our employees, striving to work safe, every day in every way. Our health and safety program focuses on risk reduction and safety management systems that promote preventative measures. We have implemented many leading and lagging indicators for enabling employee health and safety. Leading indicators are measured using proactive prevention programs that are designed to reduce overall risks by implementing risk assessments, ergonomic assessments and incident investigations to include detailed root cause corrective action analysis, near-miss corrective actions, and behavioral-based safety programs. The lagging indicators are measured by each of our facilities and demonstrate the current state regarding injury rates such as total case incident rate (“TCIR”). This is the fourth year in a row we achieved double digit improvement in our global TCIR rate. We reported a global TCIR of 0.89 in 2024 compared to 1.86 in 2023, which is an approximate 52% decrease and exceeded our target to achieve a target TCIR equal to 1.0 by 2025.

Unions, Collective Bargaining Agreements and Work Councils

    Of our worldwide employees, approximately 4,000 are located in the United States. Many of our global manufacturing employees, and some other employees, are represented by unions and works councils, and a significant number of our employees are subject to collective bargaining agreements that typically are for terms of three to five years and are renegotiated in connection with renewals. We currently do not expect any significant difficulties in renewing these agreements.

Human Rights Policy

    We are committed to respecting human rights in all aspects of our global operations under our global Human Rights Policy. We believe that we have a responsibility to ensure that human rights are understood and observed in every region in which we operate. We strive to foster safe, inclusive and respectful workplaces wherever we do business, including prohibiting human trafficking, slavery, child labor or any other form of forced or involuntary labor. Our commitment to human rights also includes improving agricultural prosperity and supporting marginalized farmers and vulnerable populations in developing countries where our activities contribute to addressing adverse human rights impacts. Through our AGCO Agriculture Foundation, as well as our brand and regional engagement activities, we support a variety of non-profit organizations and local community-based groups. In 2024, we introduced the Employee Relief Fund to provide critical support for our employees in the wake of significant crisis events such as natural disasters.

8

Available Information

    Our Internet address is www.agcocorp.com. We make the following reports filed by us available, free of charge, on our website under the “Investors” section:

annual reports on Form 10-K;
quarterly reports on Form 10-Q;
current reports on Form 8-K;
proxy statements for the annual meetings of stockholders; and
reports on Form SD.

    These reports are made available on our website as soon as practicable after they are filed with the Securities and Exchange Commission (“SEC”). The SEC also maintains a website (www.sec.gov) that contains our reports and other information filed with the SEC.

    We also provide corporate governance and other information on our website. This information includes:

charters for the standing committees of our Board of Directors, which are available under the “Investors” section of our website under the heading “Governance,” and
our Global Code of Conduct, which is available under the “About Us” section of our website under the heading “Code of Conduct.”

    In addition, in the event of any waivers of our Global Code of Conduct, those waivers will be available under the heading “Code of Conduct” of our website.

    None of these materials, including the other materials available on our website, is incorporated by reference into this Form 10-K unless expressly provided.
9

Item 1A.    Risk Factors

    We make forward-looking statements in this report, in other materials we file with the SEC, on our website, in press releases and in materials that we otherwise share with the public. In addition, our senior management makes forward-looking statements to investors, analysts, the media and others. Statements, including the statements contained in Item 7, “Management’s Discussion and Analysis of Financial Condition and Results of Operations,” concerning our future operations, prospects, strategies, products, manufacturing facilities, legal proceedings, financial condition, financial performance (including net sales, earnings and related growth) and demand for our products and services, as well as other statements of our beliefs or expectations of industry conditions, foreign currency translation impacts, market demand, supply chain and logistics disruptions, farm incomes, weather conditions, commodity and protein prices, general economic conditions, dividends, share repurchases, availability of financing, working capital, capital expenditures, debt service requirements, margins, production and sales volumes, factory productivity, pricing impacts, material costs, benefits from cost reduction initiatives, investments in, and results of, product development and enhancement, compliance with financial covenants, support from lenders, recovery of amounts under guarantee, uncertain income tax provisions, tax rates, funding of our pension and postretirement benefit plans, or realization of net deferred tax assets, are forward-looking statements. The forward-looking statements we make are not guarantees of future performance and are subject to various assumptions, risks and other factors that could cause actual results to differ materially from those suggested by the forward-looking statements. These factors include, among others, those set forth below and in the other documents that we file with the SEC. There also are other factors that we may not describe, generally because we currently do not perceive them to be material, or likely to become material, that also could cause actual results to differ materially from our expectations.

    These risks could impact our business in a number of ways, including by negatively impacting our future results of operations, cash flows and financial condition. For simplicity, below we collectively refer to these potential impacts as impacts on our “performance.”

    We expressly disclaim any obligation to update or revise any forward-looking statements, whether as a result of new information, future events or otherwise, except as required by law.

Market, Economic and Geopolitical Risks

Our financial results depend entirely upon the agricultural industry, and factors that adversely affect the agricultural industry generally, including declines in the general economy, increases in farm input costs, unfavorable weather conditions and lower commodity and protein prices, adversely affect our performance.

    Our success depends entirely on the vitality of the agricultural industry. Historically, the agricultural industry has been cyclical and subject to a variety of economic and other factors. Sales of agricultural equipment, in turn, also are cyclical and generally reflect the economic health of the agricultural industry. The economic health of the agricultural industry is affected by numerous factors, including farm income, farm land values and debt levels and financing costs, all of which are influenced by levels of commodity and protein prices, acreage planted, crop yields, agricultural product demand, farm input costs, government policies, tariffs and government subsidies. The economic health of the agricultural industry also is influenced by general economic conditions, interest rate and exchange rate levels, and the availability of financing for retail customers, including government financing subsidies to farmers, which can be significant in countries such as Brazil, as discussed elsewhere in this “Risk Factors” section. Trends in the agricultural industry, such as farm consolidations, may affect the agricultural equipment market. In addition, weather conditions, such as floods, heat waves or droughts, and pervasive livestock or crop diseases affect farmers’ buying decisions. Downturns in the agricultural industry due to these or other factors, which could vary by market, can result in decreases in demand for agricultural equipment, which would adversely affect our performance. Moreover, the unpredictable nature of many of these factors and the resulting volatility in demand make it difficult for us to accurately predict sales and optimize production. This, in turn, can result in higher costs, including inventory carrying costs and underutilized manufacturing capacity. During previous downturns in the agricultural industry, we experienced significant and prolonged declines in our performance, and we expect our business to remain subject to similar market fluctuations in the future.

The agricultural equipment industry is highly seasonal, and seasonal fluctuations significantly impact our performance.

    The agricultural equipment business is highly seasonal, which causes our quarterly results and our cash flow to fluctuate during the year. Farmers generally purchase agricultural equipment in the spring and fall in conjunction with the major planting and harvesting seasons. In addition, the fourth quarter typically is a significant period for retail sales because of year-end tax planning considerations, the increase in availability of funds from completed harvests, and the timing of dealer
10

incentives. Our net sales and income from operations historically have been the lowest in the first quarter and have increased in subsequent quarters.

Most of our sales depend on the availability of financing to retail customers, and any disruption in their ability to obtain financing, whether due to economic downturns or otherwise, will result in the sale of fewer products by us. In addition, the collectability of receivables that are created from our sales, as well as from such retail financing, is critical to our business.

    Most retail sales of our products are financed, either by our AGCO Finance joint ventures or by a bank or other private lender. The AGCO Finance joint ventures, which are controlled by Rabobank and are dependent upon Rabobank for financing as well, finance approximately 50% of the retail sales of our tractors and combines in the markets where the joint ventures operate. Any difficulty by Rabobank in continuing to provide that financing, or any business decision by Rabobank as the controlling member not to fund the business or particular aspects of it (for example, a particular country or region), would require the joint ventures to find other sources of financing (which may be difficult to obtain) or would require us to find other sources of financing for our dealers and their retail customers.

    If we are unable to obtain other sources of financing, our dealers and their retail customers would be required to utilize other retail financing providers, which may or may not be available. In an economic downturn, we expect that financing for capital equipment purchases generally would become more difficult and more expensive to obtain. To the extent that financing is not available, or available only at unattractive prices, it would negatively impact our performance.

    Both AGCO and our AGCO Finance joint ventures have substantial accounts receivable from dealers and retail customers and are adversely impacted when collectability is less than optimal. Overall collectability depends upon the financial strength of the agricultural industry, which in turn depends upon the factors discussed elsewhere in this “Risk Factors” section. Certain finance joint ventures lease equipment that may experience residual value losses that exceed expectations caused by lower pricing for used equipment and higher than expected returns at lease maturity. AGCO guarantees minimum residual values for some of the leased equipment. To the extent that defaults and losses are higher than expected, our equity in the net earnings of the finance joint ventures would be less, or there could be losses, which could materially impact our performance.

A majority of our sales and manufacturing take place outside the United States, and, as a result, we are exposed to risks related to foreign laws, tariffs, taxes, economic conditions, labor supply and relations, political conditions and governmental policies as well as U.S. laws governing who we sell to and how we conduct business. These risks may delay or reduce our realization of value from our international operations.

    A majority of our sales are derived from sales outside the United States. The foreign countries in which our sales are the greatest are Germany, France, Brazil, the United Kingdom, Australia, Italy, Finland and Canada. We have significant manufacturing operations in France, Germany, Brazil, Italy and Finland, and we have established manufacturing operations in emerging markets, such as China. Many of our sales involve products that are manufactured in one country and sold in a different country, and therefore, our performance can be adversely affected by adverse changes, in either the country of origin or the country of destination, by the factors discussed elsewhere in this “Risk Factors” section, particularly the factors that impact the delivered cost of our products. Our business practices in these foreign countries must comply with not just local law, but also U.S. law, including limitations on where and to whom we may sell products and the Foreign Corrupt Practices Act (“FCPA”). We have a compliance program in place designed to reduce the likelihood of violations of these laws, but it is difficult to identify and prevent violations. Significant violations could subject us to fines and other penalties as well as increased compliance costs. Some of our international operations also are, or might become, subject to various risks that are not present in domestic operations, including restrictions on dividends and the repatriation of funds. Foreign emerging markets may present special risks, such as unavailability of financing, inflation, slow economic growth, price controls and difficulties in complying with U.S. regulations.

    Domestic and foreign political developments and government regulations and policies directly affect the international agricultural industry, which affects the demand for agricultural equipment. Declines in demand for agricultural equipment adversely affect our performance. Future pandemics, in addition to related or unrelated application, modification or adoption of laws, regulations, trade agreements or policies, can adversely affect the agricultural industry, including the imposition of import and export duties and quotas, expropriation and potentially burdensome taxation, and could have an adverse effect on our performance. Trade restrictions, including potential withdrawal from or modification of existing trade agreements, negotiation of new trade agreements, and imposition of new (and retaliatory) tariffs against certain countries or covering certain products, could limit our ability to capitalize on current and future growth opportunities in the international markets in which we operate and impair our ability to expand our business by offering new technologies, products and services. These changes, particularly increases in the cost of steel, also can impact the cost of the products we manufacture. Trade restrictions and changes in, or uncertainty surrounding, global trade policy also could affect our competitive position.
11


    The U.S. government has recently announced tariffs on all imported steel and aluminum. The U.S. government has also recently indicated that it intends to impose tariffs on goods imported from foreign countries, including China, Mexico and Canada. In addition, the U.S. government has also indicated that additional tariffs may be imposed on imports from other countries in the future. There is substantial uncertainty surrounding these tariffs, including any retaliatory tariffs and other consequences that may arise from the imposition of tariffs on imports from, and exports to, these other countries. These risks may delay, adversely impact or reduce our realization of value from our international operations. For more information on the risks surrounding tariffs and trade regulation, see the risk factor titled “Changes to United States tax, tariff, trade and import/export regulations may have a negative effect on global economic conditions, financial markets and our business”.

    As previously discussed, the health of the agricultural industry and the ability of our international dealers and retail customers to operate their businesses, in general, are affected by domestic and foreign government programs that provide economic support to farmers. As a result, farm income levels and the ability of farmers to obtain advantageous financing and other protections would be reduced to the extent that any such programs are curtailed or eliminated. A recent freeze on the provision of funding and spending in foreign countries through U.S. foreign aid programs has created economic uncertainty for farmers, and more permanent suspensions or reductions in the provision of foreign aid by the U.S. could occur in the future and create greater global uncertainty. Any such reductions likely would result in a decrease in demand for agricultural equipment. For example, a decrease or elimination of current price protections for commodities or of subsidy payments or financing rate subsidies for farmers in the European Union, the United States, Brazil or elsewhere would negatively impact the operations of farmers in those regions, and, as a result, our sales may decline if these farmers delay, reduce or cancel purchases of our products. In emerging markets, some of these (and other) risks can be greater than they might be elsewhere. In addition, the financing provided by the AGCO Finance joint ventures or by others in certain jurisdictions is supported by a government subsidy or guarantee in some markets, including financing rate subsidies. The programs under which those subsidies and guarantees are provided generally are of limited duration and subject to renewal and contain various caps and other limitations. In some markets, for example Brazil, this support is quite significant and, from time to time, has not been available. In the event the governments that provide this support elect not to renew these programs, and were financing not available on reasonable terms, whether through our AGCO Finance joint ventures or otherwise, our performance would be negatively impacted.

    In 2024 and 2023, we had net sales of approximately $90 million and $85 million, respectively, in Ukraine. As of December 31, 2024 and 2023, we had less than $15 million in assets in Ukraine. It is unclear what impact the hostilities in Ukraine going forward will have on our net sales or assets, although we assume that our net sales may continue to decline in Ukraine, possibly significantly. We assess the fair value of our assets in Ukraine for potential impairment on a periodic basis as warranted.

    In addition, AGCO sells products in, and purchases parts and components from, other regions where there could be hostilities. Should hostilities arise, we would expect our sales to decline and for our parts and component deliveries to be interrupted, which would adversely impact our performance.

    As a result of the multinational nature of our business and the acquisitions that we have made over time, our corporate and tax structures are complex, with a significant portion of our operations being held through foreign holding companies. As a result, we are subject to taxation from multiple tax jurisdictions, and it can be inefficient, from a tax perspective, for us to repatriate or otherwise transfer funds. In addition, we must comply with a greater level of tax-related regulation and reviews by multiple governmental units than do companies with a more simplified structure. Our foreign and U.S. operations also routinely sell products to, and license technology to, other operations of ours. The pricing of these intra-company transactions is subject to regulation and review as well. While we make every effort to comply with all applicable tax laws, audits and other reviews by governmental entities for non-compliance could result in our companies being required to pay additional taxes, interest and penalties, which could have an adverse effect on our international operations.

We face significant competition, and, if we are unable to compete successfully against other agricultural equipment manufacturers, we will lose dealers and their retail customers and our performance will decline.

    The agricultural equipment business is highly competitive, particularly in our major markets. Our two key competitors, Deere & Company and CNH Industrial N.V., are substantially larger than we are and have greater financial and other resources. In addition, in some markets, we compete with smaller regional competitors with significant market share in a single country or group of countries. Our competitors may substantially increase the resources devoted to the development and marketing, including discounting, of products that compete with our products, which would necessitate our making similar expenditures. Additionally, the industry is attracting technology-focused companies and start-up ventures as technology increasingly impacts all aspects of the crop cycle. Competitive pressures in the agricultural equipment business may affect the market prices of new and used equipment, which, in turn, may adversely affect our performance.
12


    We maintain an independent dealer and distribution network in the markets where we sell products. The financial and operational capabilities of our dealers and distributors are critical to our ability to compete in these markets. In addition, we compete with other manufacturers of agricultural equipment for dealers. If we are unable to compete successfully against other agricultural equipment manufacturers, we could lose dealers and their retail customers and performance may decline.

Our expansion plans in emerging markets entail significant risks.

    Our long-term strategy includes establishing a greater manufacturing and supply-chain and/or marketing presence in emerging markets such as India and Africa. As we progress with these efforts, it will involve a significant investment of capital and other resources and entail various risks. These include risks attendant to obtaining necessary governmental approvals and the construction of facilities in a timely manner and within cost estimates, the establishment of supply channels, the commencement of efficient manufacturing operations, and, ultimately, the acceptance of the products by retail customers. While we expect the expansion to be successful, should we encounter difficulties involving these or similar factors, it may not be as successful as we anticipate and could adversely impact our performance.

Inflation can impact our costs and sales.

    During 2022 and 2023, we experienced significant inflation in a range of costs, including for parts and components, labor, transportation, logistics, and energy. While inflation eased over 2023 and continued to ease in 2024, and we were able to pass along these higher costs through increased prices, there can be no assurance that we will be able to continue to do so in the future. If we are not, it will adversely impact our performance.

Product Development, Manufacturing and Operations

Our success depends on the introduction of new products, which requires substantial expenditures.

    Our long-term results depend upon our ability to introduce and market new products successfully. The success of our new products will depend on a number of factors, including:
innovation;
customer acceptance;
the efficiency of our suppliers in providing component parts and of our manufacturing facilities in producing final products; and
the performance and quality of our products relative to those of our competitors.

    As both we and our competitors continuously introduce new products or refine versions of existing products, we cannot predict the level of market acceptance or the amount of market share our new products will achieve. We have experienced delays in the introduction of new products in the past, and we may experience delays in the future. Any delays or other problems with our new product launches, such as high warranty costs, will adversely affect our performance. In addition, introducing new products can result in decreases in revenues from our existing products.

    Consistent with our strategy of offering new products and product refinements, we expect to make substantial investments in product development and refinement. We may need more funding for product development and refinement than is readily available, which could adversely affect our performance.

If we are unable to deliver precision agriculture and high-tech solutions to our customers, it could materially adversely affect our performance.

    Increasingly our customers are implementing precision farming solutions. In order to remain competitive, we have been able to successfully acquire or develop and introduce new solutions that improve profitability and sustainable farming techniques. Our precision technology products include both hardware and software components that relate to guidance, telemetry, automation, autonomy and connectivity solutions. We expect to make significant investments in research and development expenses, acquisitions of businesses, collaborative arrangements and other sources of technology to drive these outcomes. These investments include the acquisition of the agriculture assets and technologies of Trimble through the formation of a joint venture of which we own 85% as further discussed in the PTx Trimble joint venture transaction risk factor below. Such investments may not produce attractive solutions for our customers. We also may have to depend on third parties
13

to supply certain hardware or software components or data services in our precision technology products. Our dealers' ability to support such solutions also may impact our customers, acceptance and demand of such products.

Rationalization or restructuring of manufacturing facilities, and plant expansions and system upgrades at our manufacturing facilities, may cause production capacity constraints and inventory fluctuations.

    The rationalization of our manufacturing facilities has at times resulted in, and similar rationalizations or restructurings (including relocating production from one facility to another) in the future may result in, temporary constraints upon our ability to produce the quantity of products necessary to fill orders and thereby complete sales in a timely manner. In addition, system upgrades at our manufacturing facilities that impact ordering, production scheduling, manufacturing and other related processes are complex, and could impact or delay production. A prolonged delay in our ability to fill orders on a timely basis could affect customer demand for our products and increase the size of our product inventories, causing future reductions in our manufacturing schedules and adversely affecting our performance. Moreover, our continuous development and production of new products often involve the retooling of existing manufacturing facilities. This retooling may limit our production capacity at certain times in the future, which could adversely affect our performance. In addition, the expansion and reconfiguration of existing manufacturing facilities, as well as new or expanded manufacturing operations in emerging markets, could increase the risk of production delays, as well as require significant investments.

We depend on suppliers for components, parts and raw materials for our products, and any failure by our suppliers to provide products as needed, or by us to promptly address supplier issues, will adversely impact our ability to timely and efficiently manufacture and sell products. We also are subject to raw material price fluctuations, which can adversely affect our manufacturing costs.

    Our products include components and parts manufactured by others. As a result, our ability to timely and efficiently manufacture current products, to introduce new products, and to shift manufacturing of products from one facility to another depends on the quality of these components and parts and the timeliness of their delivery to our facilities. During 2022, we experienced significant supply chain interruptions, including delays in timely deliveries of components. While supply chain disruptions eased in 2023 and 2024, there can be no assurance that there will not be future disruptions. In addition, the potential of future natural gas shortages in Europe, as well as predicted overall shortages in other energy sources, could also negatively impact our production and that of our supply chain in the future. At any particular time, we depend on numerous suppliers, and the failure by one or more of our suppliers to perform as needed will result in fewer products being manufactured, shipped and sold. If the quality of the components or parts provided by our suppliers is less than required and we do not recognize that failure prior to the shipment of our products, we will incur higher warranty costs. The timely supply of component parts for our products also depends on our ability to manage our relationships with suppliers, to identify and replace suppliers that fail to meet our schedules or quality standards, and to monitor the flow of components and accurately project our needs. The shift from our existing suppliers to new suppliers, including suppliers in emerging markets, also may impact the quality and efficiency of our manufacturing capabilities, as well as warranty costs.

    Changes in the availability and prices of certain raw materials, components and parts could result in production disruptions or increased costs and lower profits on the sale of our products. Changes in the availability and price of these raw materials, components and parts, which have fluctuated significantly in the past and are more likely to fluctuate during times of economic volatility, as well as regulatory instability or change in tariffs, can significantly increase the costs of production. This, in turn, could have a material negative effect on performance, particularly if, due to pricing considerations or other factors, we are unable to recover the increased costs through pricing from our dealers.

We may encounter difficulties in integrating businesses we acquire and may not fully achieve, or achieve within a reasonable time frame, expected strategic objectives and other expected benefits of the acquisitions.

    From time-to-time we seek to expand through acquisitions of other businesses. We expect to realize strategic and other benefits as a result of our acquisitions, including, among other things, the opportunity to extend our reach in the agricultural industry and provide our dealers and their retail customers with an even wider range of products and services. However, it is impossible to predict with certainty whether, or to what extent, these benefits will be realized or whether we will be able to integrate acquired businesses in a timely and effective manner. For example:
the costs of integrating acquired businesses and their operations may be higher than we expect and may require significant attention from our management;
the businesses we acquire may have undisclosed liabilities, such as environmental liabilities or liabilities for violations of laws, such as the FCPA, that we did not expect;
14

our ability to successfully carry out our growth strategies for acquired businesses often will be affected by, among other things, our ability to maintain and enhance our relationships with their existing customers, our ability to provide additional product distribution opportunities to the acquired businesses through our existing distribution channels, changes in the spending patterns and preferences of customers and potential customers, fluctuating economic and competitive conditions and our ability to retain their key personnel; and
our approach and strategies with respect to the development and introduction of new precision technology solutions to improve the profitability and sustainability for our farmer customers, including technologies we obtain through acquisitions, investments and joint ventures, may not provide the desired results for our customers.

    Our ability to address these issues will determine the extent to which we are able to successfully integrate, develop and grow acquired businesses and technologies to realize the expected benefits of these transactions. Our failure to do so could have a material adverse effect on our performance.

We may not be able to successfully integrate the PTx Trimble joint venture into our business, which could adversely affect our business or results of operations.

    We closed the acquisition of the agriculture assets and technologies of Trimble through the formation of the PTx Trimble joint venture, of which we own 85%, on April 1, 2024. Joint venture transactions involve many risks, including the challenges attendant to integrating the operations, technologies, services and products of the acquired lines of businesses, reactions by customers to the transaction, particularly the rate at which Trimble’s largest OEM customer reduces purchases of Trimble equipment and the levels of the OEM's product supply remaining in the market, and the rate of replacement by the joint venture of those sales, personnel turnover, and the diversion of management's attention from other business matters. We may be unable to achieve anticipated benefits from the transaction in the time frame that we anticipate, or at all. All of these risks, as well as the others that typically accompany a large transaction, could adversely affect our business or results of operations.

Our business routinely is subject to claims and legal actions, some of which could be material.

    We routinely are a party to claims and legal actions incidental to our business. These include claims for personal injuries by users of farm equipment, disputes with distributors, vendors and others with respect to commercial matters, and disputes with taxing and other governmental authorities regarding the conduct of our business, including environmental matters. While these matters generally are not material to our business, it is entirely possible that a matter will arise that is material.

    In addition, we use a broad range of technology in our products. We developed some of this technology, we license some of this technology from others, and some of the technology is embedded in the components and parts that we purchase from suppliers. From time-to-time, third parties make claims that the technology that we use violates their patent rights. While to date none of these claims have been significant, we cannot provide any assurances that there will not be significant claims in the future or that currently existing claims will not prove to be more significant than anticipated.

We are, and in the past have been, subject to the actions of activist stockholders, which could divert management’s attention and negatively impact our business.

    The Company values constructive input from investors and regularly engages in dialogue with its shareholders regarding strategy and performance. The Company’s Board of Directors and management team are committed to acting in the best interests of all the Company’s shareholders. Stockholders may, from time to time, engage in proxy solicitations or advance stockholder proposals, or otherwise attempt to effect changes and assert influence on our Board of Directors and management. Responding to some of these actions can be costly and time-consuming, may disrupt the Company’s operations and divert the attention of the Board of Directors, management and the Company’s employees. Such activities could interfere with the Company’s ability to execute its strategic plan. Any perceived uncertainties as to our future direction and control, our ability to execute on our strategy, or changes to the composition of our Board of Directors or senior management team arising from a proxy contest could lead to the perception of a change in the direction of our business or instability which may affect the market price and volatility of the Company’s common stock, result in the loss of potential business opportunities, make it more difficult to pursue our strategic initiatives, or limit our ability to attract and retain qualified personnel and business partners, any of which could adversely affect our business and operating results. We may choose to initiate, or may become subject to, litigation as a result of a proxy contest or matters arising from a proxy contest, which would serve as a further distraction to our board of directors and management and would require us to incur significant additional costs. In addition, actions such as those described above could cause significant fluctuations in our stock price based upon temporary or speculative market perceptions or other factors that do not necessarily reflect the underlying fundamentals and prospects of our business.

15


Financial Risks

We can experience substantial and sustained volatility with respect to currency exchange rates and interest rates, which can adversely affect our performance and the competitiveness of our products.

    We conduct operations in a variety of currencies. Our production costs, profit margins and competitive position are affected by the strength of the currencies in countries where we manufacture or purchase goods relative to the strength of the currencies in countries where our products are sold. We also are subject to currency exchange rate risk to the extent that our costs are denominated in currencies other than those in which we denominate sales, and to risks associated with translating the financial statements of our foreign subsidiaries from local currencies into United States dollars. Similarly, changes in interest rates affect us by increasing or decreasing borrowing costs and finance income. Our most significant transactional foreign currency exposures are the Euro, the Brazilian real and the Canadian dollar in relation to the United States dollar, and the Euro in relation to the British pound. Where naturally offsetting currency positions do not occur, we attempt to manage these risks by economically hedging some, but not necessarily all, of our exposures through the use of foreign currency forward exchange or option contracts. As with all hedging instruments, there are risks associated with the use of foreign currency forward exchange or option contracts, interest rate swap agreements and other risk management contracts. While the use of such hedging instruments provides us with protection for a finite period of time from certain fluctuations in currency exchange and interest rates, when we hedge we forego part or all of the benefits that might result from favorable fluctuations in currency exchange and interest rates. In addition, any default by the counterparties to these transactions could adversely affect our performance. Despite our use of economic hedging transactions, currency exchange rate or interest rate fluctuations may adversely affect our performance.

    We also are subject to the risk of the imposition of limitations by governments on international transfers of funds. In recent years, the Argentine government has substantially limited the ability of companies to transfer funds out of Argentina. As a consequence of these limitations, the spread between the official government exchange rate and the exchange rates resulting implicitly from certain capital market operations, usually effected to obtain United States dollars, has broadened significantly. In December 2023, the central bank of Argentina adjusted the official foreign currency exchange rate for the Argentine peso, significantly devaluing the currency relative to the United States dollar. In December 2023, we recorded losses of approximately $80.4 million related to the devaluation of the Argentine peso and the related impacts to our AGCO finance joint venture in Argentina as included within Item 8, “Financial Statements and Supplementary Data." Further devaluation of the peso or continuation or expansion of limitations of transfer of funds in Argentina or in other markets in which we operate, would adversely affect our performance. Please refer to the "Foreign Currency Risk Management" section within Item 7, “Management’s Discussion and Analysis of Financial Condition and Results of Operations,” for more information.

We have significant pension and retiree healthcare obligations with respect to our employees, and our cash flow available for other purposes may be adversely affected in the event that payments become due under any pension plans that are unfunded or underfunded. Declines in the market value of the securities used to fund these obligations will result in increased pension expense in future periods.

    A portion of our active and retired employees participate in defined benefit pension and retiree healthcare plans under which we are obligated to provide prescribed levels of benefits regardless of the value of the underlying assets, if any, of the applicable plans. To the extent that our obligations are unfunded or underfunded, we will have to use cash flow from operations and other sources to fulfill our obligations either as they become due or over some shorter funding period. In addition, since the assets that we already have provided to fund these obligations are invested in debt instruments and other securities, the value of these assets varies due to market factors. Historically, these fluctuations have been significant and sometimes adverse, and there can be no assurances that they will not be significant or adverse in the future. Similarly the amount of our obligations varies depending upon mortality assumptions, discount rates, salary growth, retirement rates and ages, inflation, changes in health care costs and similar factors, which generally are not in our control. We also are subject to laws and regulations governing the administration of our plans in certain countries, and the specific provisions, benefit formulas and related interpretations of such laws, regulations and provisions can be complex. Failure to properly administer the provisions of our plans and comply with applicable laws and regulations could have an adverse impact to our results of operations. We have unfunded or underfunded obligations related to our pension and other postretirement health care benefits. See the notes to our Consolidated Financial Statements contained in Item 8, “Financial Statements and Supplementary Data,” for more information regarding our unfunded or underfunded obligations.


16

We have substantial goodwill, and impairment of that goodwill could materially impact our results of operation.

    As of December 31, 2024, we had approximately $1,820.4 million of goodwill reflected on our consolidated balance sheet. As discussed in Note 1 to our Consolidated Financial Statements in Item 8, “Financial Statements and Supplementary Data," we test goodwill for impairment annually or more often under certain circumstances. Goodwill can be difficult to value, and in all events valuation requires the use of estimates and judgment as discussed in "Critical Accounting Estimates" in Item 7, “Management’s Discussion and Analysis of Financial Condition and Results of Operations”. Our goodwill was created in connection with business acquisitions. If those businesses do not perform as expected, future valuations may not support the amount of goodwill, and we could conclude that an impairment has occurred. Similarly, if the estimates and judgment used in our annual impairment tests prove to be incorrect, impairment could be required. An impairment of goodwill could be significant and could materially impact our results of operations. In connection with the PTx Trimble joint venture transaction, we recognized $1,592.2 million of goodwill as of the acquisition date. During the year ended December 31, 2024, we recognized an impairment charge of $351 million, which resulted from the deterioration of the near-term outlook of the PTx Trimble North America reporting unit driven by weak industry demand and lower market penetration. While our annual impairment testing in 2024 now supports the carrying amount of this goodwill, we may be required to re-evaluate the carrying amount in future periods, thus utilizing different assumptions that reflect the then current market conditions and expectations, and, therefore, we could conclude that an impairment has occurred. Additionally, as the carrying value of the PTx Trimble North America reporting unit approximates its fair value following the impairment charge, the PTx Trimble North America reporting unit is considered at risk of future impairment. If our assumptions are not realized, or if there are future changes in any of the assumptions due to a change in economic conditions or otherwise, it is possible that a further impairment charge may need to be recorded in the future.

We have a substantial amount of indebtedness, and, as a result, we are subject to certain restrictive covenants and payment obligations that may adversely affect our ability to operate and expand our business.

    Our credit facility and certain other debt agreements have various financial and other covenants that require us to maintain certain total debt to EBITDA and interest coverage ratios. In addition, the credit facility and certain other debt agreements contain other restrictive covenants, such as ones that limit the incurrence of indebtedness and the making of certain payments, including dividends, and are subject to acceleration in the event of default. If we fail to comply with these covenants and are unable to obtain a waiver or amendment, an event of default would result.

    If any event of default were to occur, our lenders could, among other things, declare outstanding amounts due and payable, and our cash may become restricted. In addition, an event of default or declaration of acceleration under our credit facility or certain other debt agreements also could result in an event of default under our other financing agreements.

Our substantial indebtedness could have other important adverse consequences such as:
requiring us to dedicate a substantial portion of our cash flows from operations to payments on our indebtedness, which would reduce the availability of our cash flow to fund future working capital, capital expenditures, acquisitions and other general corporate purposes;
increasing our vulnerability to general adverse economic and industry conditions;
limiting our flexibility in planning for, or reacting to, changes in our business and the agricultural industry;
restricting us from being able to introduce new products or pursuing business opportunities;
placing us at a competitive disadvantage compared to our competitors that may have less indebtedness; and
limiting, along with the financial and other restrictive covenants in our indebtedness, among other things, our ability to borrow additional funds, repurchase shares, pay cash dividends or engage in or enter into certain transactions.

Changes to United States tax, tariff, trade and import/export regulations may have a negative effect on global economic conditions, financial markets and our business.

    There have been ongoing discussions and significant changes to United States trade policies, treaties, tariffs and taxes. Although the levels change from period to period, we generally have substantial imports into the United States of products and components that are either produced in our foreign locations or are purchased from foreign suppliers, and also have substantial exports of products and components that we manufacture in the United States. The impact of any changes to current trade, tariff or tax policies relating to imports and exports of goods is dependent on factors such as the treatment of exports as a credit to
17

imports, and the introduction of any tariffs or taxes relating to imports from specific countries. Tariff changes are difficult to predict and may cause us material short-term or long-term cost fluctuations. The new political administration in the United States has signaled an intention to use tariffs more robustly in pursuing government policy and has already implemented some new tariffs. When increases are made to U.S. duty rates or tariffs, reciprocal action by other countries sometimes occurs, and any such increases could impact the price of our products and cause a decline in the demand for our products. We rely on the use of free trade agreements, where available, that may experience alterations, suspensions or cancellations, which could increase our customs expense or otherwise harm our business. In addition to duties and tariffs, any actions taken by the United States or by foreign countries to further implement trade policy changes, including limiting foreign investment or trade, increasing regulatory requirements, or other actions that impact our ability to obtain necessary licenses or approvals could negatively impact our business. These actions are unpredictable, and any of them could also have a material adverse effect on global economic conditions and the stability of global financial markets, significantly reduce global trade, restrict our access to suppliers or customers, and have a material adverse effect on our business, financial condition and results of operations.

    Further, the Pacific Rim region is an important producer of parts and components that are critical to our products, particularly semiconductor chips. Should events in that region or between governments in that region and the countries in which we manufacture products deteriorate, it could significantly and adversely impact the availability of parts and components to us, and, correspondingly, our ability to produce products at targeted levels.

    Changes to income tax laws and regulations, or the interpretation of such laws, in any of the jurisdictions in which we operate could significantly increase our effective tax rate and ultimately reduce our cash flows from operating activities and otherwise have a material adverse effect on our financial condition.

    On December 15, 2022, the European Union Member States formally adopted the EU’s Pillar Two Directive, which generally provides for a minimum effective tax rate of 15%, as established by the Organization for Economic Co-operation and Development (OECD) Pillar Two Framework that was supported by over 130 countries worldwide. The European Union effective dates are January 1, 2024, and January 1, 2025, for different aspects of the directive. Based on the issued guidance and interpretation, the Company does not expect a material top-up tax. As this is an evolving area with new guidance and practices being developed, the Company continues to assess the impact of the Pillar Two income taxes legislation on its future financial performance.

Future pandemics and public health crises could materially adversely impact our business, financial condition, liquidity and results of operations.

    Any future pandemic or other new public health crises may disrupt our business in the future, which could materially affect our results of operations, financial condition, liquidity and future expectations. Any such events may adversely impact our global supply chain and global manufacturing operations and cause us to suspend our operations in the affected markets. In particular, we could experience, among other things: continued or additional global supply chain and logistics disruptions; labor disruptions or shortages; an inability to manufacture; and an inability to sell to our customers.


18

Climate Change and Other Environmental Risks

We increasingly are subject to risks attendant to climate change. Failure to understand and prepare for the risks related to the transition to a lower-carbon economy, and risks related to the physical impacts of climate change could impact our performance.

    It is widely recognized that global climate change is occurring. We are unable to predict with any certainty the impacts upon our business of climate change, although we recognize that they are likely to be significant. Among the risks that we face are (i) increased governmental regulation of both our manufacturing operations and the equipment that we produce, (ii) the possibility that we will not become as resource-efficient in our operations as we need to, both as a result of our own actions (or inaction) and those of our suppliers, (iii) that we will not be able to develop new and improved products that help our farmer customers address climate-related changes and opportunities and that keep our products competitive with the products of others, (iv) that climate change will reduce demand for our products, and (v) the impacts on our physical facilities, including from increased severe weather condition risks. The first three of these risks may be considered “transition” risks. Addressing each of these risks is likely to entail the incurrence of significant costs by us, although, in the case of transition risks, we already may be incurring many, if not most, of these costs through our ongoing engine development programs, carbon footprint reduction projects, and our precision farming research and development. However, we may not be able to address these risks effectively and efficiently, which would impact our performance.

    In addition, regulators in Europe and the U.S. have focused efforts on increasing reporting and disclosure requirements over climate risks, climate change adaptation and mitigation efforts, and GHG. Our failure to comply with any applicable rules or regulations or other criticisms of our sustainability disclosures could lead to penalties or claims and other litigation, impact our reputation, customer attraction and retention, access to capital and employee retention, and otherwise adversely impact our performance. Compliance with these requirements will be complex and expensive.

    Investors and financial institutions increasingly are expecting the disclosures described above, and some financial institutional investors are assessing their investments and investment opportunities based upon how businesses are addressing climate change. Any failure by us to satisfy their assessments could impact the desirability of an investment in AGCO, our access to capital could be restricted and the share price of our common stock could be impacted. For a discussion of some of the actions that we have taken, see Item 1, “Business”, above.

We are subject to extensive environmental laws and regulations, including increasingly stringent engine emissions standards, and our compliance with, or our failure to comply with, existing or future laws and regulations could delay production of our products or otherwise adversely affect our business.

    In addition to the more general climate change regulation described above, we are subject to increasingly stringent environmental laws and regulations in the countries in which we operate. These regulations govern, among other things, emissions into the air, discharges into water, the use, handling and disposal of hazardous substances, waste disposal and the prevention and remediation of soil and groundwater contamination. Our costs of complying with these or any other current or future environmental regulations may be significant. For example, several countries have adopted more stringent environmental regulations regarding emissions into the air, and it is possible that new emissions-related legislation or regulations will be adopted in connection with concerns regarding GHG. The regulation of GHG emissions from certain stationary or mobile sources could result in additional costs to us in the form of taxes or emission allowances, facilities improvements and energy costs, which would increase our operating costs through higher utility and transportation expenses and costs of materials. Increased input costs, such as fuel and fertilizer, and compliance-related costs also could impact retail customer operations and demand for our equipment. Because the impact of any future GHG legislative, regulatory or product standard requirements on our global businesses and products is dependent on the timing and design of mandates or standards, we are unable to predict its potential impact at this time.

    In addition, the products that we manufacture or sell, particularly engines, are subject to increasingly stringent environmental regulations, including those that limit GHG emissions. As a result, on an ongoing basis we incur significant engineering expenses and capital expenditures to modify our products to comply with these regulations. Further, we may experience production delays if we or our suppliers are unable to design and manufacture components for our products that comply with environmental standards. For instance, as we are required to meet more stringent engine emission reduction standards that are applicable to engines we manufacture or incorporate into our products, we expect to meet these requirements through the introduction of new technology to our products, engines and exhaust after-treatment systems, as necessary. Failure to meet applicable requirements could materially affect our performance.

19

    We also may be subject to liability in connection with properties and businesses that we no longer own or operate. We may be adversely impacted by costs, liabilities or claims with respect to our operations under existing laws or those that may be adopted in the future that could apply to both future and prior conduct. If we fail to comply with existing or future laws and regulations, we may be subject to governmental or judicial fines or sanctions, or we may not be able to sell our products and, therefore, it could adversely affect our performance.

We are subject to disclosure obligations with respect to conflict materials.

    We are subject to SEC disclosure obligations relating to “conflict minerals” (columbite-tantalite, cassiterite (tin), wolframite (tungsten) and gold) that are sourced from the Democratic Republic of Congo or adjacent countries. Complying with these requirements has and will require us to incur additional costs, including the costs to determine the sources of any conflict minerals used in our products and to modify our processes or products, if required. As a result, we may choose to modify the sourcing, supply and pricing of materials in our products. In addition, we may face reputational and regulatory risks if the information that we receive from our suppliers is inaccurate or inadequate, or our process for obtaining that information does not fulfill the SEC’s requirements. We have a formal policy with respect to the use of conflict minerals in our products that is intended to minimize, if not eliminate, conflict minerals sourced from the covered countries to the extent that we are unable to document that they have been obtained from conflict-free sources.

Human Capital Risks

Our labor force is heavily unionized, and our obligations under collective bargaining agreements and labor laws subject us to the risks of work interruption or stoppage and could cause our costs to be higher.

    Most of our employees, most notably at our manufacturing facilities, are subject to collective bargaining agreements and union contracts with terms that expire on varying dates. Several of our collective bargaining agreements and union contracts generally are of limited duration and, therefore, must be re-negotiated frequently. As a result, we are at greater risk of work interruptions or stoppages than non-unionized companies, and any work interruption or stoppage could significantly impact the volume of products we have available for sale. In addition, collective bargaining agreements, union contracts and labor laws may impair our ability to streamline existing manufacturing facilities, restructure our business or otherwise reduce our labor costs because of limitations on personnel and salary changes and similar restrictions.

Our ability to recruit, develop, train and retain qualified and skilled employees could impact our ability to execute strategies.

    Our success is dependent, in part, on our ability to recruit, develop, train and retain qualified employees with the relevant education, background and experience. Equally we must be able to retain such skilled employees through our efforts to develop, train, compensate and engage them. Failure to do so could impair our ability to execute our business strategies and could ultimately impact our performance.

Data Security, Privacy and Cybersecurity Risks

Our business increasingly is subject to regulations relating to privacy and data protection, and if we violate any of those regulations we could be subject to significant claims, penalties and damages.

    Increasingly, the United States, the European Union, Brazil and other governmental entities are imposing regulations designed to protect the collection, maintenance and transfer of personal information. For example, the European Union adopted the General Data Protection Regulation (the “GDPR”) that imposed stringent data protection requirements and greater penalties for non-compliance beginning in May 2018. The GDPR also protects a broader set of personal information than traditionally has been protected in the United States and provides for a right of “erasure.” Other regulations govern the collection and transfer of financial data and data security generally. These regulations generally impose penalties in the event of violations, and private lawsuits in the event of a release of personal information are common. While we attempt to comply with all applicable privacy regulations, their implementation is complex, and, if we are not successful, we may be subject to penalties and claims for damages from regulators and the impacted parties.


20

Cybersecurity breaches and other disruptions to our information technology infrastructure could interfere with our operations and could compromise confidential information, exposing us to liability that could cause our business and reputation to suffer.

    We rely upon information technology networks and systems, some of which are managed by third parties, to process, transmit and store electronic information, and to manage or support a variety of business processes and activities, including supply chain, manufacturing, distribution, invoicing and collection of payments from dealers or other purchasers of our equipment. We also use information technology systems to record, process and summarize financial information and results of operations for internal reporting purposes and to comply with regulatory financial reporting, legal and tax requirements. Additionally, we collect and store sensitive data, including intellectual property and proprietary business information, in data centers and on information technology networks. The secure operation of these information technology networks and the processing and maintenance of this information is critical to our business operations and strategy. Despite security measures and business continuity plans, our information technology networks and infrastructure are vulnerable to damage, disruptions or shutdowns due to attacks by cyber criminals or breaches due to employee error or malfeasance or other disruptions during the process of upgrading or replacing computer software or hardware, power outages, computer viruses, telecommunication or utility failures, terrorist acts or, natural disasters or other catastrophic events. On May 5, 2022, we discovered that we had been subject to a ransomware cyberattack. The attack resulted in the temporary closure of most of our production sites and parts operations. A majority of the affected locations resumed operations within approximately two weeks after the attack was discovered. There was some data exfiltration as a result of the attack, and a portion of the exfiltrated data subsequently was released publicly. We do not have significant retail operations, and we do not believe that the exfiltrated data included privacy- protected consumer data or that the exfiltration was consequential. We have invested heavily in maturing our information technology and cybersecurity operations and continue to review and improve our safeguards to minimize our exposure to future attacks. The cost of remediation to the impacted systems has not been material. We maintain a cyber liability insurance program, although the coverage may not be sufficient in some circumstances. While we do not believe that the ultimate consequences of the attack were material to our performance, the occurrence of any similar or other events in the future could compromise our networks, and the information stored there could be accessed, publicly disclosed, lost or stolen. Any such access, disclosure or other loss of information could result in legal claims or proceedings, liability or regulatory penalties under laws protecting the privacy of personal information, and could disrupt our operations and damage our reputation, which could adversely affect our performance. In addition, as security threats continue to evolve and increase in frequency and sophistication, we increasingly are needing to invest additional resources to protect the security of our systems and likely will need to invest even more in the future.


21

Item 1B.    Unresolved Staff Comments

    None.

Item 1C.    Cybersecurity

    Protecting the security of our information systems is of significant importance to us, and we are committed to our focus on cybersecurity and systemic risks. We have an enterprise risk assessment process which specifically addresses risks associated with cybersecurity. Additionally, we have a crisis management plan that outlines the structure, roles, responsibilities and operating procedures to utilize during potentially significant events that could negatively impact the Company. As part of the crisis management plan, we have a cybersecurity incident response plan in place that provides a documented framework for handling high severity security incidents and includes facilitated coordination across multiple functions of the Company. Our incident response plan also includes identifying and responding to material risks from cybersecurity threats associated with our use of third-party service providers. We invest in threat intelligence and are active participants in industry and government forums to strive to improve our overall capabilities with respect to cybersecurity. We routinely perform reviews of threat intelligence and vulnerability management capabilities, while performing simulations and drills at both technical and management levels. We incorporate external expertise in all aspects of our program utilizing best practice guidance from third-party cybersecurity advisors to provide objective assessments of our capabilities. We maintain a cyber liability insurance program, although the coverage may not be sufficient in some circumstances. We also have policies and practices in place to address data privacy regulations. Our cybersecurity program is reviewed and assessed by external information security specialists or by our internal audit group at least annually. Further, we conduct annual cybersecurity awareness training for employees and targeted training for high-risk functions of the Company. We also conduct phishing exercises and correlated education with our employees.

    As part of its risk oversight role, our Audit Committee of the Board of Directors oversees cyber risk, information security and technology risk, including management’s actions to identify, assess, mitigate and remediate material cybersecurity issues and risks. The Audit Committee receives regular reporting several times each year from our Chief Information Security Officer as well as our Chief Digital Information Officer on our technology and cyber risk profile, enterprise cybersecurity program and key cybersecurity activities.

    We have an information security team, led by our Chief Information Security Officer, that is responsible for assessing and managing cybersecurity risks and monitoring cybersecurity incidents. The team possess relevant experience in their respective fields as well, as appropriate certifications from various leading certifying bodies. During 2022, we established a Cybersecurity Council comprised of members of our senior leadership team that is regularly briefed on cybersecurity matters and provides input to our overall approach to cybersecurity. Our formal cybersecurity program is modeled after the National Institute of Standards and Technology (“NIST”) Cybersecurity Framework, as well as other global standards and best practices.

    On May 5, 2022, we discovered that we had been subject to a sophisticated ransomware cyberattack. The attack resulted in the temporary closure of most of our production sites and parts operations. A majority of the affected locations resumed operations within approximately two weeks after the attack was discovered. There was some data exfiltration as a result of the attack, and a portion of the exfiltrated data subsequently was released publicly. We do not have significant retail operations, and we do not believe that the exfiltrated data included privacy-protected consumer data or that the exfiltration was consequential. We have invested heavily in maturing our information technology and cybersecurity operations and continue to review and improve our safeguards to minimize our exposure to future attacks. The cost of remediation to the impacted systems has not been material.
22

Item 2.        Properties

    Our principal manufacturing locations as of January 31, 2025 were as follows:

Location
North America:
Beloit, Kansas
Hesston, Kansas
Jackson, Minnesota
Queretaro, Mexico
South America:
Canoas, Brazil
General Rodriguez, Argentina
Ibiruba, Brazil
Mogi das Cruzes, Brazil
Santa Rosa, Brazil
Europe/Middle East:
Baeumenheim, Germany
Beauvais, France(1)
Breganze, Italy
Feucht, Germany
Hohenmölsen, Germany
Linnavuori, Finland
Marktoberdorf, Germany
Suolahti, Finland
Wolfenbüttel, Germany
Asia/Pacific/Africa
Changzhou, China
Yanzhou, China
_______________________________________
(1)     Includes our joint venture, GIMA, in which we own a 50% interest.

    We consider each of our facilities to be in good condition and adequate for its present use. We believe that we have sufficient capacity to meet our current and anticipated manufacturing requirements.

    Our corporate headquarters are located in Duluth, Georgia and we have administrative offices in locations including Tremont, Illinois and Westminster, Colorado in North America, Budapest, Hungary, Neuhausen, Switzerland and Stoneleigh, United Kingdom in our Europe/Middle East region and Bengaluru, India in our Asia/Pacific/Africa region. We also own/operate other properties including parts facilities in Batavia, Illinois, Jundiai, Brazil and Ennery, France; and assembly, distribution, warehouses, sales offices, training and administration across the globe.
23

Item 3.        Legal Proceedings

    During 2017, the Company purchased Precision Planting, which provides precision agricultural technology solutions. In 2018, Deere & Company (“Deere”) filed separate complaints in the U.S. District Court of Delaware against the Company and Precision Planting alleging that certain products of those entities infringed certain patents of Deere. The two complaints subsequently were consolidated into a single case, Case No. 1:18-cv-00827-CFC. In July 2022, the case was tried before a jury, which determined that the Company and Precision Planting had not infringed the Deere patents. Following customary post-trial procedures, the Court entered a judgement in the Company’s favor, and Deere appealed the judgment to the U.S. Court of Appeals for the Federal Circuit. On January 24, 2025, the Court ruled in favor of the Company and Precision Planting. The case remains subject to the right of Deere to file for a writ of certiorari from the U.S. Supreme Court. The Company has an indemnity right under the purchase agreement related to the acquisition of Precision Planting from its previous owner. Pursuant to that right, the previous owner of Precision Planting currently is responsible for the litigation costs associated with the complaint and is obligated to reimburse AGCO for some or all of the damages in the event of an adverse outcome in the litigation.

    In April 2024, the Company gave notice to Tractors & Farm Equipment Limited (“TAFE”) that the Company was terminating all of its commercial arrangements with TAFE. TAFE responded by disputing the terminations and bringing several lawsuits against the Company in India. The Company filed for arbitration of several of the disputes in London. In general, the lawsuits contend that the Company is not entitled to terminate the commercial relationships and that TAFE has an interest in the Massey Ferguson trademark in India. The Company does not believe that TAFE’s positions have merit and is defending the litigation, and pursuing the arbitrations, vigorously. We believe the reasonably possible range of losses for the unresolved legal actions would not have a material effect on our financial statements. Refer to Note 18 of our Consolidated Financial Statements contained in Item 8, “Financial Statements and Supplementary Data,” for further discussion of our relationship with TAFE.

    We are a party to various other legal claims and actions incidental to our business. We believe that none of these claims or actions, either individually or in the aggregate, is material to our business or financial statements as a whole, including our results of operations and financial condition.

Item 4.        Mine Safety Disclosures

    Not Applicable.

24

PART II

Item 5.    Market for Registrant’s Common Equity, Related Stockholder Matters and Issuer Purchases of Equity Securities

    Our common stock is listed on the New York Stock Exchange and trades under the symbol AGCO. We have a history of paying quarterly cash dividends. During 2024, the Company continued the practice of paying a quarterly dividend of $0.29 per common share and declared a special variable dividend of $2.50 per common share that was paid during the second quarter of 2024. While we currently expect a cash dividend to be paid in the future, future dividend payments will depend on our earnings, capital requirements, financial condition and other factors considered relevant by the Company's Board of Directors.

    As of the close of business on February 10, 2025, the closing stock price was $97.41, and there were 442 stockholders of record (this number does not include stockholders who hold their stock through brokers, banks and other nominees).

Performance Graph

    The following presentation is a line graph of our cumulative total shareholder return on our common stock on an indexed basis as compared to the cumulative total return of the S&P Mid-Cap 400 Index, the MVIS Global Agribusiness Index for the five years ended December 31, 2024. Our total returns in the graph are not necessarily indicative of future performance.

https://cdn.kscope.io/c10bbc92cd561ca0310bd6a0a99c788d-2024 Performance Graph.jpg


Cumulative Total Return for the Years Ended December 31,
201920202021202220232024
AGCO Corporation$100.00 $134.77 $156.50 $195.56 $180.14 $143.46 
S&P Midcap 400 Index100.00 113.66 141.80 123.28 143.54 163.54 
MVIS Global Agribusiness Index
100.00 114.70 142.81 131.90 120.48 105.90 

The total return assumes that dividends were reinvested and is based on a $100 investment on December 31, 2019.
25

Issuer Purchases of Equity Securities

    The table below sets forth information with respect to purchases of our common stock made by or on behalf of us during the three months ended December 31, 2024:

PeriodTotal Number of Shares PurchasedAverage Price Paid per ShareTotal Number of Shares Purchased as Part of Publicly Announced Plans or Programs
Maximum Approximate Dollar Value of Shares that May Yet Be Purchased Under the Plans or Programs (in millions)(2)
October 1, 2024 through
   October 31, 2024
— $— — $57.0 
November 1, 2024 through
   November 30, 2024(1)
191,763 $96.08 191,763 $35.0 
December 1, 2024 through
   December 31, 2024(1)
37,206 $96.08 37,206 $35.0 
Total228,969 $96.08 228,969 $35.0 
___________________________________
(1)    In November 2024, we entered into an ASR agreement with a third-party financial institution to repurchase $22.0 million of our common stock. The ASR agreement resulted in the initial delivery of 191,763 shares of our common stock, representing approximately 80% of the shares to be purchased in connection with the transaction. In December 2024, the remaining 37,206 shares under the ASR agreement were delivered. As reflected in the table above, the average price paid per share for the ASR agreement was the volume-weighted average stock price of our common stock over the term of the ASR agreement. The amount that may yet be purchased under our share repurchase programs, as presented in the above table, was reduced by the entire $22.0 million payment related to the ASR agreement. Refer to Note 16 of our Consolidated Financial Statements contained in Item 8, "Financial Statements and Supplementary Data," for further discussion of this matter.
(2)    The remaining authorized amount to be repurchased is $35.0 million, which has no expiration date.

Item 6.          [Reserved]

26

Item 7.        Management’s Discussion and Analysis of Financial Condition and Results of Operations

    We are a global leader in the design, manufacture and distribution of agricultural machinery and precision agriculture technology. We deliver value to farmers and Original Equipment Manufacturer (“OEM”) customers through our differentiated brand portfolio including leading brands Fendt®, Massey Ferguson®, PTx and Valtra®. Our full line of equipment, smart farming solutions and services helps farmers sustainably feed our world. We distribute most of our products through approximately 2,700 independent dealers and distributors in approximately 140 countries. We also provide retail and wholesale financing through our finance joint ventures with Coöperatieve Rabobank U.A., which, together with its affiliates, we refer to as “Rabobank.” In 2024, we fundamentally shifted our portfolio through the PTx Trimble joint venture and the divestiture of the majority of our Grain & Protein (“G&P”) business.

    Our operations are subject to the cyclical and seasonal nature of the agricultural industry. Sales of our equipment are affected by, among other things, changes in farm income, farm land values and debt levels, financing costs, acreage planted, crop yields, weather conditions, the demand for agricultural commodities, commodity and protein prices, agricultural product demand and general economic conditions and government policies, tariffs and subsidies. We sell our equipment, precision agriculture technology and replacement parts to our independent dealers, distributors and other customers. A large majority of our sales are to independent dealers and distributors that sell our products to end users. To the extent practicable, we attempt to sell products to our dealers and distributors on a level basis throughout the year to reduce the effect of seasonal demands on our manufacturing operations and to minimize our investment in inventories. However, retail sales by dealers to farmers are highly seasonal and are a function of the timing of the planting and harvesting seasons. In certain markets, particularly in North America, there is often a time lag, which varies based on the timing and level of retail demand, between our sale of the equipment to the dealer and the dealer’s sale to a retail customer.


27

Financial Highlights

    The following table sets forth the percentage relationship to net sales of certain items included in our Consolidated Statements of Operations:

Years Ended December 31,
20242023
$
% of Net Sales(1)
$
% of Net Sales(1)
Net sales$11,661.9 100.0 %$14,412.4 100.0 %
Cost of goods sold8,762.8 75.1 10,635.0 73.8 
Gross profit2,899.1 24.9 3,777.4 26.2 
Selling, general and administrative expenses1,397.7 12.0 1,454.5 10.1 
Engineering expenses493.0 4.2 548.8 3.8 
Amortization of intangibles81.0 0.7 57.7 0.4 
Impairment charges369.5 3.2 4.1 — 
Restructuring and business optimization expenses172.7 1.5 11.9 0.1 
Loss on sale of business507.3 4.4 — — 
Income (loss) from operations(122.1)(1.0)1,700.4 11.8 
Interest expense, net93.0 0.8 4.6 — 
Other expense, net218.5 1.9 362.3 2.5 
Income (loss) before income taxes and equity in net earnings of affiliates(433.6)(3.7)1,333.5 9.3 
Income tax provision98.4 0.8 230.4 1.6 
Income (loss) before equity in net earnings of affiliates(532.0)(4.6)1,103.1 7.7 
Equity in net earnings of affiliates46.4 0.4 68.2 0.5 
Net income (loss)(485.6)(4.2)1,171.3 8.1 
Net loss attributable to noncontrolling interests60.8 0.5 0.1 — 
Net income (loss) attributable to AGCO Corporation$(424.8)(3.6)%$1,171.4 8.1 %
___________________________________
(1)    Rounding may impact summation of amounts.

28

2024 Compared to 2023

    Net income (loss) attributable to AGCO Corporation for 2024 was $(424.8) million, or $(5.69) per diluted share, compared to $1,171.4 million, or $15.63 per diluted share, for 2023.

    Net sales for 2024 were $11,661.9 million, or 19.1% lower than 2023, primarily due to lower sales volumes resulting from softer industry sales reflecting lower end market demand and unfavorable currency impacts. Income (loss) from operations was $(122.1) million in 2024 compared to $1,700.4 million in 2023. The decrease in income from operations during 2024 was primarily the result of lower sales and production volumes reflecting weak industry conditions, the recognition of the loss on sale of the majority of the Company's G&P business as well as impairment charges and restructuring and business optimization expenses.

    We estimate that worldwide average price increases (decreases) were approximately (0.9)% and 10.0% in 2024 and 2023, respectively. Consolidated net sales of tractors and combines, which comprised approximately 63.6% of our net sales in 2024, decreased approximately 20.8% in 2024 compared to 2023. Unit sales of tractors and combines decreased approximately 21.1% during 2024 compared to 2023. The primary driver of the decrease in unit sales was lower sales of compact and mid-range tractors and combines. The difference between the unit sales change and the change in net sales was primarily the result of sales mix changes and foreign currency translation.

    Overall, global production hours, excluding hours related to the Company's G&P business which was divested on November 1, 2024, decreased approximately 28.2% during 2024 compared to 2023, reflecting our response to lower end market demand.

Results of Operations

    Gross profit as a percentage of net sales decreased during 2024 compared to 2023, primarily due to lower production volumes and unfavorable net pricing impacts.

    Selling, general and administrative expenses (“SG&A expenses”) as a percentage of net sales, were higher during 2024 compared to 2023 as net sales decreased at a faster rate than SG&A expenses. The absolute level of SG&A expenses decreased during 2024 primarily due to lower compensation costs and decreases in stock compensation expense. We recorded stock compensation expense of $17.9 million and $44.6 million during 2024 and 2023, respectively, within SG&A expenses, as is more fully explained in Note 15 of our Consolidated Financial Statements. These decreases were partially offset by PTx Trimble joint venture transaction-related costs and transaction costs related to the divestiture of the majority of the Company's G&P business.

    Engineering expenses as a percentage of net sales, were higher during 2024 compared to 2023 as net sales decreased at a faster rate than engineering expenses. The absolute level of engineering expenses decreased during 2024 primarily due to lower investment partially offset by increased engineering expenses related to the PTx Trimble joint venture.

    We recorded impairment charges of $369.5 million and $4.1 million during 2024 and 2023, respectively. During 2024, we recorded impairment charges of $369.5 million primarily related to the impairment of goodwill related to the Company’s PTx Trimble North America reporting unit, other assets and an investment in affiliate. In 2023, we recorded an impairment charge related to the impairment of certain patents and technology amortizing intangible assets from a prior acquisition. Refer to Note 6 of our Consolidated Financial Statements for additional information.

    We recorded restructuring and business optimization expenses of $172.7 million and $11.9 million during 2024 and 2023, respectively. The Company is focused on operational efficiencies to build a more resilient business. On June 24, 2024, the Company announced a restructuring program (the “Program”) in response to increased weakening demand in the agriculture industry. The initial phase of the Program is focused on further reducing structural costs, streamlining the Company’s workforce and enhancing global efficiencies related to changing the Company’s operating model for certain corporate and back-office functions and better leveraging technology and global centers of excellence. The Company estimates that it will incur charges for one-time termination benefits of approximately $150.0 million to $200.0 million in connection with this phase of the Program, primarily consisting of cash charges related to severance payments, employees benefits and related costs. The Company incurred the majority of charges in 2024 and expects to incur the remaining charges in 2025. The restructuring expenses recorded during 2024 and 2023 primarily related to severance, business optimization and other related costs associated with the Company's Program and rationalization of certain manufacturing facilities and administrative offices. Refer to Note 13 of our Consolidated Financial Statements for further information.

29

    We recorded a loss on sale of business of $507.3 million during 2024 related to the sale of the majority of the Company's G&P business. There was no loss recorded during 2023. Refer to Note 3 of our Consolidated Financial Statements for further information.

    Interest expense, net was $93.0 million for 2024 compared to $4.6 million for 2023 resulting primarily from an increase in interest expense resulting from the increased debt levels related to financing the PTx Trimble joint venture transaction. Refer to “Liquidity and Capital Resources” for further information on our available funding.

    Other expense, net was $218.5 million in 2024 compared to $362.3 million in 2023. The decrease was primarily driven by a decrease in foreign currency exchanges losses which were approximately $85.1 million and $202.1 million in 2024 and 2023, respectively. In December 2023, the central bank of Argentina adjusted the official foreign currency exchange rate for the Argentine peso from approximately 366.5 to approximately 800.0 pesos to United States dollar for substantially all goods, significantly devaluing the currency relative to the United States dollar. The December 2023 impact of the devaluation and remeasurement of net monetary assets was approximately $79.9 million. In 2024, the Company terminated its U.S. qualified defined benefit plan and the settlement resulted in the recognition of approximately $18.5 million in “Other expense, net” representing the amounts previously recognized in accumulated other comprehensive loss. Losses on sales of receivables, primarily related to our accounts receivable sales agreements with our finance joint ventures in North America, Europe and Brazil and included in "Other expense, net," were approximately $118.2 million and $148.4 million in 2024 and 2023, respectively. The Company recorded business interruption insurance recoveries related to the 2022 cyber attack of $5.0 million and $20.0 million in 2024 and 2023, respectively.

    We recorded an income tax provision of $98.4 million in 2024 compared to $230.4 million in 2023. The decrease is a result of a decrease in our earnings compared to 2023. Our tax provision and effective tax rate are impacted by the differing tax rates of the various tax jurisdictions in which we operate, permanent differences for items treated differently for financial accounting and income tax purposes, losses in jurisdictions where no income tax benefit is recorded, and provisions for unrecognized income tax benefits related to uncertain tax positions. Based on a favorable tax ruling in Brazil regarding the taxability of certain state value added tax incentive benefits, the Company recorded a $29.6 million reduction in the provision for income taxes during the year ended December 31, 2024. Our 2023 income tax provision includes a one-time benefit of $112.3 million related to the recognition of a deferred tax asset of $197.7 million, net of a valuation allowance of $85.4 million, related to the finalization of negotiations surrounding the application of Swiss Tax reform legislation enacted in 2020. This benefit was partially offset by a provision of approximately $26.4 million that we recorded in 2023 associated with our enrollment in a Brazilian tax amnesty program. Refer to Note 19 of our Consolidated Financial Statements for further information.

    Equity in net earnings of affiliates, which is primarily comprised of income from our AGCO Finance joint ventures, was $46.4 million in 2024 compared to $68.2 million in 2023. The increase was primarily due to lower earnings in our finance joint ventures. Refer to Note 10 of our Consolidated Financial Statements for further information.

    Net loss attributable to noncontrolling interests was $60.8 million in 2024 compared to $0.1 million in 2023. The net loss primarily relates to the noncontrolling interests of the PTx Trimble joint venture held by Trimble, which owns a 15% interest in the joint venture.

Results of Operations - Segment Information

    The Company has four operating segments which are also its reportable segments which consist of the Europe/Middle East (“EME”), North America, South America and Asia/Pacific/Africa (“APA”) regions. The Company’s reportable segments are geography based and distribute a full range of agricultural machinery and precision agriculture technology. The Company evaluates segment performance primarily based on income from operations. Sales for each segment are based on the location of the third-party customer. The Company’s selling, general and administrative expenses and engineering expenses are charged to each segment based on the region and division where the expenses are incurred. As a result, the components of income from operations for one segment may not be comparable to another segment.
30

    The following table sets forth, for the year ended December 31, 2024, the impact to net sales of currency translation by geographical segment (in millions, except percentages):

Years Ended
December 31,
Change
Change Due to Currency Translation
20242023$%$%
EME$6,812.9 $7,540.5 $(727.6)(9.6)%$5.6 0.1 %
North America2,850.3 3,752.7 (902.4)(24.0)%(12.7)(0.3)%
South America1,315.9 2,234.2 (918.3)(41.1)%(79.1)(3.5)%
APA682.8 885.0 (202.2)(22.8)%(3.1)(0.4)%
$11,661.9 $14,412.4 $(2,750.5)(19.1)%$(89.3)(0.6)%

EME

Years Ended
December 31,
Change
20242023$
Net Sales
$6,812.9 $7,540.5 $(727.6)
Income from Operations
925.7 1,100.6 (174.9)

    Net sales in EME decreased in 2024 compared to 2023, primarily due to sales volume declines, most significantly in mid-range and high-horsepower tractors and hay tools. Income from operations decreased by $174.9 million in 2024 compared to 2023 as a result of lower sales and production volumes, partially offset by decreases in engineering expenses and SG&A expenses primarily related to lower variable compensation expenses and travel costs.

North America

Years Ended
December 31,
Change
20242023$
Net Sales
$2,850.3 $3,752.7 $(902.4)
Income from Operations
175.8 459.3 (283.5)

    Net sales in North America decreased in 2024 compared to 2023, primarily due to sales volume declines, most significantly in mid-range and high-horsepower tractors and hay tools. Income from operations decreased by $283.5 million compared to 2023 as a result of lower sales and production volumes.

South America

Years Ended
December 31,
Change
20242023$
Net Sales
$1,315.9 $2,234.2 $(918.3)
Income from Operations
104.4 386.4 (282.0)

    Net sales decreased in South America in 2024 compared to 2023, primarily due to sales volume declines, most significantly in tractors, combines and implements and unfavorable foreign currency translation. Income from operations decreased $282.0 million in 2024 compared to 2023 as a result of lower sales and production volumes and negative pricing impacts, partially offset by decreases in SG&A expenses primarily related to lower variable compensation expenses.
31


APA

Years Ended
December 31,
Change
20242023$
Net Sales
$682.8 $885.0 $(202.2)
Income from Operations
32.7 77.3 (44.6)

    Net sales decreased in APA in 2024 compared to 2023, primarily due to lower sales volumes of high horse power tractors and hay tools and lower sales of grain and protein products. Income from operations decreased $44.6 million in 2024 compared to 2023, primarily due to lower sales and production volumes.

2023 Compared to 2022

    A comparison of the results of operations for 2023 versus that of 2022 was included in our Annual Report on Form 10-K for the year ended December 31, 2023.

Outlook

    Global industry demand for farm equipment, driven by farm income, is expected to be moderately lower during 2025 in most major markets compared to 2024. Our net sales are expected to moderately decrease in 2025 compared to 2024, resulting from lower sales volumes, relatively flat pricing as well as unfavorable foreign currency translation. Operating margins will reflect the impact of lower net sales, lower production volumes, increased cost controls and moderately lower investments in engineering. Our results will no longer reflect the results of operations for the majority of the Company's G&P business which was divested on November 1, 2024.

    Our outlook is based on current assumptions regarding a number of factors including demand, currency stability, pricing and market share gains. If our assumptions are incorrect, or other issues arise or return, such as tariffs or a worsening of our supply chain, our results of operations will be adversely impacted. Refer to “Risk Factors” in Item 1A for further discussion.

Liquidity and Capital Resources

    Our financing requirements are subject to variations due to seasonal changes in inventory and receivable levels. Internally generated funds are supplemented when necessary from external sources, primarily our credit facilities and accounts receivable sales agreement facilities, subject to the discussion below with respect to financing of the PTx Trimble joint venture transaction. Additional information regarding our indebtedness is contained in Note 12 to the Consolidated Financial Statements contained in Item 8, “Financial Statements and Supplementary Data.” We believe that the facilities and borrowings listed below, together with available cash and internally generated funds, and assuming customary renewals and replacements, will be sufficient to support our working capital, capital expenditures and debt service requirements for the foreseeable future (in millions):

December 31, 2024(1)
Credit Facility, expires 2027
$— 
5.450% Senior notes due 2027
400.0 
5.800% Senior notes due 2034
700.0 
0.800% Senior notes due 2028
622.7 
1.002% EIB Senior term loan due 2025
259.5 
EIB Senior term loan due 2029
259.5 
EIB Senior term loan due 2030
176.4 
Senior term loans due between 2025 and 2028
152.0 
____________________________________
(1)    The amounts above are gross of debt issuance costs of an aggregate amount of approximately $12.0 million.

32

    The Company has a credit facility providing for a $1.25 billion multi-currency unsecured revolving credit facility (“Credit Facility”) that matures on December 19, 2027. As of December 31, 2024, the Company had no outstanding borrowings under the revolving credit facility and had the ability to borrow $1,249.9 million.

    In addition, the Company has an uncommitted revolving credit facility that allows the Company to borrow up to €100.0 million (or approximately $103.8 million as of December 31, 2024). The credit facility expires on December 31, 2026. As of December 31, 2024, the Company had no outstanding borrowings under the revolving credit facility.

    On January 25, 2024, the Company entered into an additional multi-currency Finance Contract with the European Investment Bank (“EIB”) permitting the Company to borrow up to €170.0 million, for which the proceeds will be used in a similar manner as the EIB Senior Term Loan due 2029. On February 15, 2024, the Company borrowed €170.0 million under the arrangement. The loan matures on February 15, 2030. As of December 31, 2024, there was €170.0 million (or approximately $176.4 million) outstanding under the EIB Senior Term Loan due 2030.

    On March 21, 2024, the Company issued (i) $400.0 million aggregate principal amount of the 2027 Notes and (ii)$700.0 million aggregate principal amount of the 2034 Notes. The Notes are unsecured and unsubordinated indebtedness of the Company and are guaranteed on a senior unsecured basis, jointly and severally, by certain direct and indirect subsidiaries of the Company. As of December 31, 2024, the Company had $400.0 million and $700.0 million of borrowings under the 2027 Notes and 2034 Notes, respectively.

    The PTx Trimble joint venture transaction closed on April 1, 2024. The Company financed the joint venture transaction through a combination of the Senior Notes due 2027 and 2034, the Term Loan Facility and the remainder through other borrowings and cash on hand. The Company had redeemable noncontrolling interests of $300.1 million as of December 31, 2024 resulting from the PTx Trimble joint venture transaction, which may require the use of cash in certain instances, beginning in 2027. Refer to Note 2 of the Consolidated Financial Statements contained in Item 8, “Financial Statements and Supplementary Data,” for further information.

    On November 1, 2024, the Company completed the sale of the majority of the G&P business and received net proceeds of $630.7 million from the sale. The proceeds from the sale were used to repay the Term Loan Facility and reduce borrowings under the Credit Facility.

    Subsequent to December 31, 2024, on January 24, 2025, the Company repaid €250.0 million (or approximately $262.3 million) upon maturity of the EIB Senior term loan due 2025.

    The Company is in compliance with the financial covenants contained in these facilities and expects to continue to maintain such compliance. Should we ever encounter difficulties, our historical relationship with our lenders has been strong and we anticipate their continued long-term support of our business. Refer to Note 12 of the Consolidated Financial Statements contained in Item 8, “Financial Statements and Supplementary Data,” for additional information regarding our current facilities, including the financial covenants contained in each debt instrument.

    Our debt to capitalization ratio, which is total indebtedness divided by the sum of total indebtedness, excluding short-term borrowings due within one year, and stockholders’ equity, was 40.6% at December 31, 2024 compared to 23.0% at December 31, 2023. The increase largely reflects the indebtedness incurred to pay the purchase price attendant to the PTx Trimble joint venture transaction.

Supplemental Guarantor Financial Information

    The 2027 Notes and the 2034 Notes are unsecured and unsubordinated indebtedness of the Company and are guaranteed on a senior unsecured basis, jointly and severally, by AGCO International Holdings B.V., AGCO International GmbH and Massey Ferguson Corp., direct and indirect subsidiaries of the Company (collectively, the “Guarantors”). Refer to Note 12 of our Consolidated Financial Statements for further discussion of these debt obligations.

    The following tables present summarized financial information of AGCO Corporation, as the issuer of the 2027 Notes and the 2034 Notes, and the Guarantors on a combined basis after elimination of intercompany transactions and balances within the Guarantors and equity in the earnings from and investments in any non-guarantor subsidiary. As used herein, “obligor group” means AGCO Corporation, as the issuer of the debt securities, and the Guarantors on a combined basis. The summarized financial information is provided in accordance with the reporting requirements of Rule 13-01 under SEC Regulation S-X for the obligor group and is not intended to present the financial position or results of operations of the obligor group in accordance with generally accepted accounting principles as such principles are in effect in the United States.
33


Balance Sheet Information

(in millions)
As of December 31, 2024
Current assets(a)
$4,143.4 
Noncurrent assets(b)
1,910.6 
Current liabilities(c)
3,802.8 
Noncurrent liabilities(d)
4,214.5 
____________________________________
(a)    Includes amounts due from non-guarantor subsidiaries of $2,189.6 million as of December 31, 2024.
(b)    Includes amounts due from non-guarantor subsidiaries of $729.0 million as of December 31, 2024.
(c)    Includes amounts due to non-guarantor subsidiaries of $1,972.8 million as of December 31, 2024.
(d)    Includes amounts due to non-guarantor subsidiaries of $1,706.5 million as of December 31, 2024.

Statement of Operations Information

(in millions)
Year Ended December 31, 2024
Revenues(a)
$8,236.7 
Income from Operations112.5 
Net loss
(492.2)
Net loss attributable to obligor group
(492.2)
____________________________________
(a)    Includes intercompany revenues generated from non-guarantor subsidiaries of $5,487.0 million.

    The following tables present summarized financial information of AGCO International GmbH, after elimination of intercompany transactions and balances within the Guarantors and equity in the earnings from and investments in any non-guarantor subsidiary.

Balance Sheet Information

(in millions)
As of December 31, 2024
Current assets(a)
$3,136.1 
Noncurrent assets(b)
991.0 
Current liabilities(c)
2,650.4 
Noncurrent liabilities(d)
1,815.9 
____________________________________
(a)    Includes amounts due from non-guarantor subsidiaries of $1,895.5 million as of December 31, 2024.
(b)    Includes amounts due from non-guarantor subsidiaries of $729.0 million as of December 31, 2024.
(c)    Includes amounts due to non-guarantor subsidiaries of $1,863.9 million as of December 31, 2024.
(d)    Includes amounts due to non-guarantor subsidiaries of $1,706.5 million as of December 31, 2024.


34

Statement of Operations Information

(in millions)
Year Ended December 31, 2024
Revenues(a)
$6,304.7 
Income from Operations854.0 
Net income 237.2 
Net income attributable to obligor group237.2 
____________________________________
(a)    Includes intercompany revenues generated from non-guarantor subsidiaries of $5,050.9 million.

    Our accounts receivable sales agreements in North America, Europe and Brazil permit the sale, on an ongoing basis, of a majority of our receivables to our U.S., Canadian, European and Brazilian finance joint ventures. The sales of all receivables are without recourse to us. We do not service the receivables after the sales occur, and we do not maintain any direct retained interest in the receivables. These agreements are accounted for as off-balance sheet transactions. The cash received from receivables sold under the U.S., Canadian, European and Brazilian accounts receivable sales agreements that remains outstanding as of December 31, 2024 and 2023 was approximately $2.3 billion and $2.5 billion, respectively.

    In addition, we sell certain trade receivables under factoring arrangements to other financial institutions around the world. The cash received from trade receivables sold under factoring arrangements that remain outstanding as of December 31, 2024 and 2023 was approximately $220.5 million and $254.1 million, respectively.

    In order to efficiently manage our liquidity, we generally pay vendors in accordance with negotiated terms. To enable vendors to obtain payment in advance of our payment due dates to them, we have established programs in certain markets with financial institutions under which the vendors have the option to be paid by the financial institutions earlier than the payment due dates. Should we not be able to negotiate extended payment terms with our vendors, or should financial institutions no longer be willing to participate in early payment programs with us, we would expect to have sufficient liquidity to timely pay our vendors without any material impact on us or our financial position. As of December 31, 2024 and 2023, the amount outstanding that remains unpaid to the banks or other intermediaries associated with these programs totaled approximately $50.6 million and $82.7 million, respectively. Refer to Note 11 of the Consolidated Financial Statements contained in Item 8, “Financial Statements and Supplementary Data,” for further discussion.

Cash Flows

    Cash flows provided by operating activities were approximately $689.9 million during 2024 compared to approximately $1,103.1 million during 2023. The decrease during 2024 compared to 2023 was primarily driven by a decrease in net income in 2024 compared to 2023.

    Our working capital requirements are seasonal, with investments in working capital typically building in the first half of the year and then reducing in the second half of the year. We had approximately $1,312.0 million in working capital at December 31, 2024, as compared with $1,997.2 million at December 31, 2023. Inventories as of December 31, 2024 were approximately $2,731.3 million as compared to $3,440.7 million as of December 31, 2023 primarily due to lower production. Accounts and notes receivable, net at December 31, 2024 were approximately $337.9 million lower than at December 31, 2023, primarily due to timing of sales of accounts receivable under our factoring arrangements. Accounts payable and Accrued expenses as of December 31, 2024 were approximately $828.5 million lower than at December 31, 2023.

    Capital expenditures for 2024 were approximately $393.3 million compared to $518.1 million for the same period in 2023.


35

Share Repurchase Program and Dividends

    In November 2024, the Company entered into an accelerated share repurchase ("ASR") agreement with a financial institution to repurchase $22.0 million of shares of its common stock. The Company received approximately 228,969 shares associated with the completion of this transaction as of December 31, 2024. In November 2023, the Company entered into an ASR agreement with a financial institution to repurchase $53.0 million of shares of its common stock. The Company received approximately 371,669 shares associated with this transaction as of December 31, 2023. In January 2024, the Company received an additional 82,883 shares upon final settlement of its November 2023 ASR agreement. All shares received under the ASR agreements were retired upon receipt, and the excess of the purchase price over par value per share was recorded to a combination of “Additional paid-in capital” and “Retained earnings” within our Consolidated Balance Sheets. As of December 31, 2024, the remaining amount authorized to be repurchased under board-approved share repurchase authorizations was approximately $35.0 million, which has no expiration date. On April 25, 2024, the Company's Board of Directors declared a special variable dividend of $2.50 per common share that was paid during the second quarter of 2024. During the years ended December 31, 2024 and 2023, the Company declared and paid cash dividends of $3.66 and $6.10 per common share, respectively. On January 16, 2025, the Company's Board of Directors declared a regular quarterly dividend of $0.29 per common share to be paid on March 14, 2025, to all stockholders of record as of the close of business February 14, 2025.

Contractual Obligations and Cash Requirements

    Our material cash requirements include the following contractual and other obligations:

    Indebtedness – As of December 31, 2024, we had approximately $405.2 million of principal payments due within the year ending December 31, 2025 related to indebtedness and certain short-term obligations. In addition, future interest payments of approximately $118.0 million are payable within the next twelve months. Indebtedness amounts reflect the principal amount of our EIB senior term loans, senior notes, credit facility and certain short-term borrowings, gross of any debt issuance costs. Our projected amount of interest payments includes assumptions regarding the future fluctuations in interest rates, as well as borrowings under our revolving credit facility and other variable debt instruments. The amounts provided relate only to existing debt obligations and do not assume the refinancing or replacement of such debt. Refer to the discussion above and Note 12 of the Consolidated Financial Statements for additional information regarding our indebtedness.

    Finance and operating lease obligations – As of December 31, 2024, we had approximately $0.7 million and $53.3 million of payments due during the year ending December 31, 2025, related to finance and operating lease obligations, respectively. Refer to Note 23 of the Consolidated Financial Statements for additional information regarding our lease obligations.

    Unconditional purchase obligations – As of December 31, 2024, we had approximately $114.5 million of outstanding purchase obligations payable during the year ending December 31, 2025. The Company's unconditional purchase obligations are primarily payable within 12 months.

    Uncertain tax positions – As of December 31, 2024, we had approximately $9.3 million of income tax liabilities related to uncertain income tax provisions connected with ongoing income tax audits in various jurisdictions that we expect to pay or settle within the next 12 months. Refer to Note 19 of the Consolidated Financial Statements for additional information regarding our uncertain tax positions.

    Pensions - It is our objective to contribute to the pension plans to ensure adequate funds are available in the plans to make benefit payments to plan participants and beneficiaries when required. We currently expect that we will contribute approximately $2.5 million under our non-U.S. defined benefit pension and postretirement plans during the year ending December 31, 2025. The timing and amounts of future contributions are dependent upon the funding status of the plans, which is expected to vary as a result of changes in interest rates, returns on underlying assets, and other factors. Refer to Note 20 of the Consolidated Financial Statements for additional information regarding our pension and postretirement plans.

    These obligations comprise a majority of our other short-term and long-term obligations.

36

Commitments and Off-Balance Sheet Arrangements

Guarantees

    At December 31, 2024, the Company had outstanding guarantees issued to its Argentine finance joint venture, AGCO Capital Argentina S.A. (“AGCO Capital”) of approximately $64.0 million. Such guarantees generally obligate the Company to repay outstanding finance obligations owed to AGCO Capital if end users default on such loans to the extent that, due to non-credit risk, the end users are not able, or not required, to pay their loans, or are required to pay in a different currency than the one agreed in their loan. The Company also has obligations to guarantee indebtedness owed to certain of its finance joint ventures if dealers or end users default on loans. Losses under such guarantees historically have been insignificant. The Company believes the credit risk associated with these guarantees is not material.

    In addition, at December 31, 2024, the Company accrued approximately $12.7 million of outstanding guarantees of residual values that may be owed to its finance joint ventures in the United States and Canada upon expiration of certain eligible operating leases between the finance joint ventures and end users. The maximum potential amount of future payments under the guarantees is approximately $203.2 million.

Other

    We sell certain accounts receivable under factoring arrangements to our finance joint ventures and to financial institutions around the world. We account for the sale of such receivables as off-balance sheet transactions. Our finance joint ventures in Europe, Brazil and Australia also provide wholesale financing directly to our dealers. As of December 31, 2024 and 2023, these finance joint ventures had approximately $139.2 million and $211.3 million, respectively, of outstanding accounts receivable associated with these arrangements. The total finance portfolio in our finance joint ventures was approximately $14.5 billion and $14.1 billion as of December 31, 2024 and 2023, respectively. The total finance portfolio as of December 31, 2024 and 2023 included approximately $11.3 billion and $10.8 billion, respectively, of retail receivables and $3.2 billion and $3.3 billion, respectively, of wholesale receivables from AGCO dealers.

Contingencies

    During 2017, the Company purchased Precision Planting, which provides precision agricultural technology solutions. In 2018, Deere & Company (“Deere”) filed separate complaints in the U.S. District Court of Delaware against the Company and Precision Planting alleging that certain products of those entities infringed certain patents of Deere. The two complaints subsequently were consolidated into a single case, Case No. 1:18-cv-00827-CFC. In July 2022, the case was tried before a jury, which determined that the Company and Precision Planting had not infringed the Deere patents. Following customary post-trial procedures, the Court entered a judgement in the Company’s favor, and Deere appealed the judgment to the U.S. Court of Appeals for the Federal Circuit. On January 24, 2025, the Court ruled in favor of the Company and Precision Planting. The case remains subject to the right of Deere to file for a writ of certiorari from the U.S. Supreme Court. The Company has an indemnity right under the purchase agreement related to the acquisition of Precision Planting from its previous owner. Pursuant to that right, the previous owner of Precision Planting currently is responsible for the litigation costs associated with the complaint and is obligated to reimburse AGCO for some or all of the damages in the event of an adverse outcome in the litigation.

    We are party to various claims and lawsuits arising in the normal course of business. We closely monitor these claims and lawsuits and frequently consult with our legal counsel to determine whether they may, when resolved, have a material adverse effect on our financial position or results of operations and accrue and/or disclose loss contingencies as appropriate. Refer to Note 22 of our Consolidated Financial Statements for further information.

Related Party Transactions

    In the ordinary course of business, we engage in transactions with related parties. See Note 18 of our Consolidated Financial Statements for information regarding related party transactions and their impact to our consolidated results of operations and financial position.

Foreign Currency Risk Management

    We have significant manufacturing locations in the United States, France, Germany, Finland, Italy, China and Brazil, and we purchase a portion of our tractors, combines and components from third-party foreign suppliers, primarily in various European countries and in Japan. We also sell products in approximately 140 countries throughout the world. The majority of
37

our net sales outside the United States are denominated in the currency of the customer location, with the exception of sales in Middle East, Africa, Asia and parts of South America, where net sales are primarily denominated in British pounds, Euros or the United States dollar.

    The Company has a wholly-owned subsidiary in Turkey that distributes agricultural equipment and replacement parts. On the basis of available data related to inflation indices and as a result of the devaluation of the Turkish lira relative to the United States dollar, the Turkish economy was determined to be highly inflationary during 2022. A highly inflationary economy is one where the cumulative inflation rate for the three years preceding the beginning of the reporting period, including interim reporting periods, is in excess of 100 percent. For subsidiaries operating in highly inflationary economies, the United States dollar is the functional currency. Remeasurement adjustments for financial statements in highly inflationary economies and other transactional exchange gains and losses are reported in “Other expense, net” within our Consolidated Statements of Operations. For the year ended December 31, 2024, the Company's wholly-owned subsidiary in Turkey had net sales of approximately $412.1 million and total assets of approximately 6.5 billion Turkish lira (or approximately $185.2 million). The monetary assets and liabilities denominated in the Turkish lira were approximately 5.0 billion Turkish lira (or approximately $140.7 million) and approximately 3.1 billion Turkish lira (or approximately $86.6 million), respectively, as of December 31, 2024. The monetary assets and liabilities were remeasured into United States dollars based on exchange rates as of December 31, 2024.

    We also are subject to the risk of the imposition of limitations by governments on international transfers of funds. The Company has a wholly-owned subsidiary in Argentina that assembles and distributes agricultural equipment and replacement parts. In recent years, the Argentine government has substantially limited the ability of companies to transfer funds out of Argentina. As a consequence of these limitations, the spread between the official government exchange rate and the exchange rates resulting implicitly from certain capital market operations, usually effected to obtain United States dollars, had broadened significantly. Argentina's economy was determined to be highly inflationary during 2018. In December 2023, the central bank of Argentina adjusted the official foreign currency exchange rate for the Argentine peso, significantly devaluing the currency relative to the United States dollar. The December 2023 impact of the devaluation and remeasurement of net monetary assets was approximately $79.9 million. For the year ended December 31, 2024, the Company's wholly-owned subsidiary in Argentina had net sales of approximately $215.9 million and total assets of approximately 258.3 billion pesos (or approximately $250.6 million). The monetary assets of the Company's operations in Argentina denominated in pesos at the official government rate were approximately 122.6 billion pesos (or approximately $118.9 million), inclusive of approximately 68.0 billion pesos (or approximately $65.9 million) in cash and cash equivalents, as of December 31, 2024. The monetary liabilities of the Company's operations in Argentina denominated in pesos at the official government rate were approximately 16.8 billion pesos (or approximately $16.3 million) as of December 31, 2024. The monetary assets and liabilities were remeasured into United States dollars based on exchange rates as of December 31, 2024. The Company's finance joint venture in Argentina, AGCO Capital has net monetary assets denominated in pesos at the official government rate of approximately 6.7 billion pesos (or approximately $6.5 million) as of December 31, 2024. All gains and losses resulting from AGCO Capital's remeasurement of its monetary asset and liabilities are reported in “Equity in net earnings of affiliates” within our Consolidated Statements of Operations. If limitations on transfer of funds remain, we may be subject to future losses on the net monetary assets described above.

    We manage our transactional foreign currency exposure by hedging foreign currency cash flow forecasts and commitments arising from the anticipated settlement of receivables and payables and from future purchases and sales. Where naturally offsetting currency positions do not occur, we hedge certain, but not all, of our exposures through the use of foreign currency contracts. Our translation exposure resulting from translating the financial statements of foreign subsidiaries into United States dollars may be partially hedged from time to time. When practical, this translation impact is reduced by financing local operations with local borrowings. Our hedging policy prohibits use of foreign currency contracts for speculative trading purposes.

    The total notional value of our foreign currency instruments was $4,187.9 million and $3,687.3 million, including $600.0 million and $300.0 million related to net investment hedges, as of December 31, 2024 and 2023, respectively, inclusive of both those instruments that are designated and qualified for hedge accounting and non-designated derivative instruments. We enter into cash flow hedges to minimize the variability in cash flows of assets or liabilities or forecasted transactions caused by fluctuations in foreign currency exchange rates, and we enter into foreign currency contracts to economically hedge receivables and payables on our balance sheets that are denominated in foreign currencies other than the functional currency. In addition, we use derivative and non-derivative instruments to hedge a portion of our net investment in foreign operations against adverse movements in exchange rates. Refer to Note 14 of our Consolidated Financial Statements for further information about our hedging transactions and derivative instruments.

38

    Assuming a 10% change relative to the currency of the hedge contracts, the fair value of the foreign currency instruments could be negatively impacted by approximately $23.3 million as of December 31, 2024. Due to the fact that these instruments are primarily entered into for hedging purposes, the gains or losses on the contracts would largely be offset by losses and gains on the underlying firm commitment or forecasted transaction. The gains and losses on the Company’s net investment in the designated foreign operations driven by changes in foreign exchange rates would largely be offset by movements in the fair value of the cross currency swap contracts or foreign currency denominated debt.

Interest Rate Risk

    Our interest expense is, in part, sensitive to the general level of interest rates. We manage our exposure to interest rate risk through our mix of floating rate and fixed rate debt. From time to time, we enter into interest rate swap agreements to manage our exposure to interest rate fluctuations. See Notes 12 and 14 of our Consolidated Financial Statements for additional information.

    Based on our floating rate debt and our accounts receivable sales facilities outstanding at December 31, 2024, a 10% increase in interest rates would have increased collectively, “Interest expense, net” and “Other expense, net” for the year ended December 31, 2024, by approximately $12.8 million.

Recent Accounting Pronouncements

    See Note 1 of our Consolidated Financial Statements for information regarding recent accounting pronouncements and their impact to our consolidated results of operations and financial position.

Critical Accounting Estimates

    We prepare our Consolidated Financial Statements in conformity with U.S. generally accepted accounting principles. In the preparation of these financial statements, we make judgments, estimates and assumptions that affect the reported amounts of assets and liabilities, the disclosure of contingent assets and liabilities at the date of the financial statements and the reported amounts of revenues and expenses during the reporting period. The significant accounting policies followed in the preparation of the financial statements are detailed in Note 1 of our Consolidated Financial Statements contained in Item 8, “Financial Statements and Supplementary Data.” We believe that our application of the policies discussed below involves significant levels of judgment, estimates and complexity.

    Due to the levels of judgment, complexity and period of time over which many of these items are resolved, actual results could differ from those estimated at the time of preparation of the financial statements. Adjustments to these estimates would impact our financial position and future results of operations.

Discount and Sales Incentive Allowances

    We provide various volume bonus and sales incentive programs with respect to our products. These sales incentive programs include reductions in invoice prices, reductions in retail financing rates, dealer commissions and dealer incentive allowances. In most cases, incentive programs are established and communicated to our dealers on a quarterly basis. The incentives are paid either at the time of the cash settlement of the receivable (which is generally at the time of retail sale), at the time of retail financing, at the time of warranty registration, or at a subsequent time based on dealer purchase volumes. The incentive programs are product line specific and generally do not vary by dealer. The cost of sales incentives associated with dealer commissions and dealer incentive allowances is estimated based upon the terms of the programs and historical experience, is based on a percentage of the sales price, and estimates for sales incentives are made and recorded at the time of sale for expected incentive programs using the expected value method. These estimates are reassessed each reporting period and are revised in the event of subsequent modifications to incentive programs, as they are communicated to dealers. The related provisions and accruals are made on a product or product-line basis and are monitored for adequacy and revised at least quarterly in the event of subsequent modifications to the programs. Interest rate subsidy payments, which are a reduction in retail financing rates, are recorded in the same manner as dealer commissions and dealer incentive allowances. Volume discounts are estimated and recognized based on historical experience, and related reserves are monitored and adjusted based on actual dealer purchase volumes and the dealers’ progress towards achieving specified cumulative target levels. Estimates of these incentives are based on the terms of the programs and historical experience. All incentive programs are recorded and presented as a reduction of revenue, due to the fact that we do not receive a distinct good or service in exchange for the consideration provided. In the United States and Canada, reserves for incentive programs related to accounts receivable not sold to our U.S. and Canadian finance joint ventures are recorded as “Accounts receivable allowances” within our Consolidated Balance Sheets due to the fact that the incentives are paid through a reduction of future cash settlement of the receivable.
39

Globally, reserves for incentive programs that will be paid in cash or credit memos, as is the case with most of our volume discount programs, as well as sales incentives associated with accounts receivable sold to our finance joint ventures, are recorded within “Accrued expenses” within our Consolidated Balance Sheets.

    At December 31, 2024, we had recorded an allowance for discounts and sales incentives of approximately $1,018.8 million that will be paid either through a reduction of future cash settlements of receivables and through credit memos to our dealers or through reductions in retail financing rates paid to our finance joint ventures. If we were to allow an additional 1% of sales incentives and discounts at the time of retail sale for those sales subject to such discount programs, our reserve would increase by approximately $37.0 million as of December 31, 2024. Conversely, if we were to decrease our sales incentives and discounts by 1% at the time of retail sale, our reserve would decrease by approximately $37.0 million as of December 31, 2024.

Deferred Income Taxes and Uncertain Income Tax Positions

    We recorded an income tax provision of $98.4 million in 2024 compared to $230.4 million in 2023 and $296.6 million in 2022. Our tax provision and effective tax rate are impacted by the differing tax rates of the various tax jurisdictions in which we operate, permanent differences for items treated differently for financial accounting and income tax purposes, losses in jurisdictions where no income tax benefit is recorded and provisions for unrecognized income tax benefits related to uncertain tax positions. The provision for income taxes involves a significant amount of management judgment regarding interpretation of relevant facts and laws in the jurisdictions in which we operate. Future changes in applicable laws, projected levels of taxable income, and tax planning could change the effective tax rate and tax balances recorded by us. In addition, tax authorities periodically review income tax returns filed by us and can raise issues regarding our filing positions, timing and amount of income or deductions, and the allocation of income among the jurisdictions in which we operate. A significant period of time may elapse between the filing of an income tax return and the ultimate resolution of an issue raised by a revenue authority with respect to that return. We believe that we have adequately provided for any reasonably foreseeable resolution of these matters.

    At December 31, 2024 and 2023, we had gross deferred tax assets of $651.5 million and $634.2 million, respectively, including $30.3 million and $42.1 million, respectively, related to net operating loss carryforwards. We maintain a valuation allowance to reserve a portion of our net deferred tax assets in the U.S. and certain foreign jurisdictions. A valuation allowance is established when it is more likely than not that some portion or all of the deferred tax assets may not be realized. At December 31, 2024 and 2023, we had total valuation allowances as an offset to our gross deferred tax assets of $147.2 million and $149.8 million, respectively. These valuation allowances are held against deferred tax assets (including net operating loss carryforwards and certain other tax attributes) in the U.S and certain foreign jurisdictions. Realization of the remaining deferred tax assets as of December 31, 2024 depends on generating sufficient taxable income in future periods, net of reversing deferred tax liabilities. We believe it is more likely than not that the remaining net deferred tax assets should be able to be realized.

    We recognize income tax benefits from uncertain tax positions only when there is a more than 50% likelihood that the tax positions will be sustained upon examination by the taxing authorities based on the technical merits of the positions. As of December 31, 2024 and 2023, we had approximately $387.4 million and $351.2 million, respectively, of gross unrecognized tax benefits, all of which would impact our effective tax rate if recognized. As of December 31, 2024 and 2023, we had approximately $9.3 million and $9.9 million, respectively, of current accrued taxes related to uncertain income tax positions connected with ongoing tax audits in various jurisdictions that we expect to settle or pay in the next 12 months. At December 31, 2024 and 2023, the Company had approximately $378.4 million and $344.2 million, respectively, of accrued taxes reflected in “Other noncurrent liabilities” in the Company’s Consolidated Balance Sheets. We recognize interest and penalties related to uncertain income tax positions in income tax expense. As of December 31, 2024 and 2023, we had accrued interest and penalties related to unrecognized tax benefits of approximately $30.9 million and $27.9 million, respectively. Refer to Note 19 of our Consolidated Financial Statements for further discussion of our uncertain income tax positions.

Pensions

    We sponsor defined qualified benefit pension plans covering certain employees, principally in the United Kingdom, Germany, Switzerland, Finland, France, Norway and Argentina.

    In the United States, we maintain an unfunded, nonqualified defined benefit pension plan for certain senior executives, which is our Executive Nonqualified Pension Plan (“ENPP”). The ENPP is closed to new entrants and, as of December 31, 2024, future benefit accruals have been frozen.

40

    The Company merged its U.S. qualified defined benefit pension plans for hourly and salaried employees into one plan (the “Plan”) on December 31, 2023 and finalized the termination of the Plan in 2024. In connection with the termination process, the Company offered a lump sum benefit payout option to Plan participants, and the remaining assets of the Plan were used to purchase a group annuity contract that transferred the remaining plan liabilities to an insurance carrier. The termination process was finalized by December 31, 2024 and the settlement resulted in the recognition of approximately $18.5 million within “Other expense, net” within the Company's Consolidated Statements of Operations.

    In the United Kingdom, we sponsor a funded defined benefit pension plan that provides an annuity benefit based on participants’ final average earnings and service. Participation in this plan is limited to certain older, longer service employees and existing retirees. This plan is closed to new participants.

    Refer to Note 20 of our Consolidated Financial Statements for additional information regarding costs and assumptions for employee retirement benefits.

    Nature of Estimates Required. The measurement date for all of our benefit plans is December 31. The measurement of our pension obligations, costs and liabilities is dependent on a variety of assumptions provided by management and used by our actuaries. These assumptions include estimates of the present value of projected future pension payments to all plan participants, taking into consideration the likelihood of potential future events such as salary increases and demographic experience. These assumptions may have an effect on the amount and timing of future contributions.

    Assumptions and Approach Used. The assumptions used in developing the required estimates include, but are not limited to, the following key factors:

•   Discount rates•   Inflation
•   Salary growth•   Expected return on plan assets
•   Retirement rates and ages•   Mortality rates

    For the years ended December 31, 2024 and 2023, we used a globally consistent methodology to set the discount rate in the countries where our largest benefit obligations exist. In the United States, the United Kingdom and the Euro Zone, we constructed a hypothetical bond portfolio of high-quality corporate bonds and then applied the cash flows of our benefit plans to those bond yields to derive a discount rate. The bond portfolio and plan-specific cash flows vary by country, but the methodology in which the portfolio is constructed is consistent.

    The other key assumptions and methods were set as follows:
The inflation assumption is based on an evaluation of external market indicators.
The salary growth assumptions reflect our long-term actual experience, the near-term outlook and assumed inflation.
The expected return on plan asset assumptions reflects asset allocations, investment strategy, historical experience and the views of investment managers, and reflects a projection of the expected arithmetic returns over ten years.
Determination of retirement rates and ages as well as termination rates, based on actual plan experience, actuarial standards of practice and the manner in which our defined benefit plans are being administered.
The mortality rates for the U.K. defined benefit pension plan were updated during 2024 to reflect the latest expected improvements in the life expectancy of the plan participants. The mortality rates for the U.S. ENPP were unchanged from 2021, which reflected the Society of Actuaries’ most recent findings on the topic of mortality.
The fair value of assets used to determine the expected return on assets does not reflect any delayed recognition of asset gains and losses.

    The effects of actual results differing from our assumptions are accumulated and amortized over future periods and, therefore, generally affect our recognized expense in such periods.

41

    Our U.S. ENPP and U.K. defined benefit pension plans comprise approximately 83.2% of our consolidated projected benefit obligation as of December 31, 2024. The effects of a 25 basis point change in certain actuarial assumptions on the 2024 net annual pension and ENPP costs and related benefit obligations as of December 31, 2024 would be as follows:

Year-end Benefit Obligation
2024 Net Annual Pension Cost
25 basis point increase25 basis point decrease25 basis point increase25 basis point decrease
Discount rate:
U.S. ENPP
$(1.9)$2.0 $0.1 $(0.1)
U.K. defined benefit pension plans
(8.8)9.1 0.4 (0.4)

2024 Net Annual Pension Cost
25 basis point increase25 basis point decrease
Long-term rate of return on plan assets:
U.S. ENPP(1)
$— $— 
U.K. defined benefit pension plans
(1.1)1.1 
___________________________________
(1)    The U.S. ENPP is an unfunded plan.

    Unrecognized actuarial net losses related to our defined benefit pension plans and ENPP were $256.7 million as of December 31, 2024 compared to $280.2 million as of December 31, 2023. The decrease in unrecognized net actuarial losses between years is primarily due to the termination of the U.S. qualified defined benefits plan, as well as the total net impact of the changes in the assumptions, specifically the increase in the discount rate. The unrecognized net actuarial losses will be impacted in future periods by actual asset returns, discount rate changes, currency exchange rate fluctuations, actual demographic experience and certain other factors. For some of our defined benefit pension plans, these losses, to the extent they exceed 10% of the greater of the plan’s liabilities or the fair value of assets (“the gain/loss corridor”), will be amortized on a straight-line basis over the periods discussed as follows. For our U.K. defined benefit pension plan, the population covered is predominantly inactive participants, and losses related to those plans, to the extent they exceed the gain/loss corridor, will be amortized over the average remaining lives of those participants while covered by the respective plan. For our ENPP, the population is predominantly active participants, and losses related to the plan will be amortized over the average future working lifetime of the active participants expected to receive benefits. As of December 31, 2024, the average amortization periods were as follows:

ENPPU.K. Plan
Average amortization period of losses related to defined benefit pension plans6 years16 years

    Unrecognized prior service cost related to our defined benefit pension plans was $29.8 million as of December 31, 2024 compared to $31.4 million as of December 31, 2023.

    As of December 31, 2024, our unfunded or underfunded obligations related to our defined benefit pension plans and ENPP were approximately $56.0 million, primarily related to our defined benefit pension plans in Europe. In 2024, we contributed approximately $26.9 million towards those obligations, and we expect to fund approximately $14.5 million in 2025. Future funding is dependent upon compliance with local laws and regulations and changes to those laws and regulations in the future, as well as the generation of operating cash flows in the future.

    Refer to Note 20 of our Consolidated Financial Statements for more information regarding the investment strategy and concentration of risk.

Goodwill, Other Intangible Assets and Long-Lived Assets

Goodwill

    We have significant goodwill on our balance sheet related to historical acquisitions and the PTx Trimble joint venture transaction in 2024, which we accounted for using the acquisition method of accounting. We test goodwill for impairment, at
42

the reporting unit level, annually as of October 1st or more frequently when events or circumstances indicate that the fair value of a reporting unit is more likely than not less than its carrying value. A reporting unit is an operating segment or one level below an operating segment, for example, a component. We combine and aggregate two or more components of an operating segment as a single reporting unit if the components have similar economic characteristics. Our reportable segments are not our reporting units. The goodwill arising from the PTx Trimble joint venture has been assigned to four new reporting units within our North America, South America, Europe/Middle East and Asia/Pacific/Africa operating segments.

    Goodwill is evaluated for impairment using a qualitative assessment or a quantitative assessment. If we elect to perform a qualitative assessment and determine the fair value of our reporting units more likely than not exceeds their carrying value of net assets, no further evaluation is necessary. For reporting units where we perform a quantitative assessment, we compare the fair value of each reporting unit to its respective carrying value of net assets, including goodwill. If the fair value of the reporting unit exceeds its carrying value of net assets, the goodwill is not considered impaired. If the carrying value of net assets is higher than the fair value of the reporting unit, an impairment charge is recorded in the amount by which the carrying value exceeds the reporting unit’s fair value.

    For the quantitative impairment assessment, we may utilize one or a combination of valuation techniques. We use a discounted cash flow model (income approach) whereby the present value of future expected operating net cash flows are calculated using a discount rate; and a guideline public company method (market approach), whereby EBITDA and/or revenue multiples are derived from the market prices of stocks of companies that are engaged in the same or similar lines of business and that are actively traded on a free and open market.

    We make various assumptions, including assumptions regarding future cash flows, growth rates, discount rates, and market multiples in our assessment of the impairment of goodwill. The assumptions about future cash flows and growth rates are based on the current and long-term business plans of the reporting unit and country specific agricultural industry and economic growth projections. Future cash flows and growth rates are dependent upon the agricultural industry and other factors that could adversely affect the agricultural industry, including but not limited to, declines in the general economy, increases in farm input costs, weather conditions, lower commodity prices and changes in the availability of credit. Discount rate assumptions are based on an assessment of the risk inherent in the future cash flows of the reporting unit. These assumptions require significant judgments on our part, and the conclusions that we reach could vary significantly based on these judgments.

    The annual impairment tests completed as of October 1, 2024 indicated the fair value of each of the Company's reporting units was above its respective carrying value except for the PTx Trimble North America reporting unit, which is part of the North America operating segment. Based on the results of the impairment test, the Company recorded an impairment charge of $351.0 million. The Company completed the PTx Trimble joint venture transaction on April 1, 2024. Since that date, the near-term outlook of the reporting unit has deteriorated driven by weak industry demand and lower market penetration. These conditions led to downward revisions of the Company's forecasts of earnings which resulted in the impairment charge. We estimated the fair value of the PTx North America reporting unit using an income approach. The most critical assumptions used in the calculation of the fair value of the reporting unit were the forecasted revenue growth and the discount rate. If we increased the discount rate used to estimate the fair value of the PTx Trimble North America reporting unit by 1.0 percent, the impairment charge would increase by $130.0 million, and if we decreased the discount rate by 1.0 percent, the impairment charge would decrease by $159.0 million. Additionally, the Company's PTx Trimble Europe/Middle East reporting unit impairment test resulted in headroom of approximately 21.0 percent. An increase in the discount rate of 1.0 percent would decrease the headroom to 6.0 percent while a decrease in the discount rate of 1.0 percent would increase the headroom to 40.0 percent.

    As of December 31, 2024, we had approximately $1,820.4 million of goodwill. While our annual impairment testing in 2024 now supports the carrying amount of this goodwill, we may be required to re-evaluate the carrying amount in future periods, thus utilizing different assumptions that reflect the then current market conditions and expectations, and, therefore, we could conclude that an impairment has occurred. Additionally, as the carrying value of the PTx Trimble North America reporting unit approximates its fair value following the impairment charge, the PTx Trimble North America reporting unit is considered at risk of future impairment. If our assumptions are not realized, or if there are future changes in any of the assumptions due to a change in economic conditions or otherwise, it is possible that a further impairment charge may need to be recorded in the future.
43


Long-lived assets

    We review our long-lived assets, which include intangible assets subject to amortization, for impairment whenever events or changes in circumstances indicate that the carrying amount of an asset may not be recoverable. The evaluation for recoverability is performed at a level where independent cash flows may be attributed to either an asset or asset group. If we determine that the carrying amount of an asset or asset group is not recoverable based on the expected undiscounted future cash flows of the asset or asset group, an impairment loss is recorded equal to the excess of the carrying amounts over the estimated fair value of the long-lived assets. Estimates of future cash flows are based on many factors, including current operating results, expected market trends and competitive influences. We also evaluate the amortization or depreciation periods assigned to our long-lived assets to determine whether events or changes in circumstances warrant revised estimates of useful lives. Assets to be disposed of by sale are reported at the lower of the carrying amount or fair value, less estimated costs to sell.

Item 7A.    Quantitative and Qualitative Disclosures About Market Risk

    The Quantitative and Qualitative Disclosures about Market Risk information required by this Item set forth under the captions “Management’s Discussion and Analysis of Financial Condition and Results of Operations - Foreign Currency Risk Management” and “Interest Rate Risk” under Item 7 of this Form 10-K are incorporated herein by reference.

44

Item 8.        Financial Statements and Supplementary Data

    The following Consolidated Financial Statements of AGCO Corporation for each of the years in the three-year period ended December 31, 2024 are included in this Item:


45

Report of Independent Registered Public Accounting Firm

To the Stockholders and Board of Directors
AGCO Corporation:

Opinion on the Consolidated Financial Statements

We have audited the accompanying consolidated balance sheets of AGCO Corporation and subsidiaries (the Company) as of December 31, 2024 and 2023, the related consolidated statements of operations, comprehensive income (loss), stockholders’ equity, and cash flows for each of the years in the three-year period ended December 31, 2024, and the related notes (collectively, the consolidated financial statements). In our opinion, the consolidated financial statements present fairly, in all material respects, the financial position of the Company as of December 31, 2024 and 2023, and the results of its operations and its cash flows for each of the years in the three-year period ended December 31, 2024, in conformity with U.S. generally accepted accounting principles.

We also have audited, in accordance with the standards of the Public Company Accounting Oversight Board (United States) (PCAOB), the Company’s internal control over financial reporting as of December 31, 2024, based on criteria established in Internal Control — Integrated Framework (2013) issued by the Committee of Sponsoring Organizations of the Treadway Commission, and our report dated February 24, 2025 expressed an unqualified opinion on the effectiveness of the Company’s internal control over financial reporting.

Basis for Opinion

These consolidated financial statements are the responsibility of the Company’s management. Our responsibility is to express an opinion on these consolidated financial statements based on our audits. We are a public accounting firm registered with the PCAOB and are required to be independent with respect to the Company in accordance with the U.S. federal securities laws and the applicable rules and regulations of the Securities and Exchange Commission and the PCAOB.

We conducted our audits in accordance with the standards of the PCAOB. Those standards require that we plan and perform the audit to obtain reasonable assurance about whether the consolidated financial statements are free of material misstatement, whether due to error or fraud. Our audits included performing procedures to assess the risks of material misstatement of the consolidated financial statements, whether due to error or fraud, and performing procedures that respond to those risks. Such procedures included examining, on a test basis, evidence regarding the amounts and disclosures in the consolidated financial statements. Our audits also included evaluating the accounting principles used and significant estimates made by management, as well as evaluating the overall presentation of the consolidated financial statements. We believe that our audits provide a reasonable basis for our opinion.

Critical Audit Matters

The critical audit matters communicated below are matters arising from the current period audit of the consolidated financial statements that were communicated or required to be communicated to the audit committee and that: (1) relate to accounts or disclosures that are material to the consolidated financial statements and (2) involved our especially challenging, subjective, or complex judgements. The communication of critical audit matters does not alter in any way our opinion on the consolidated financial statements, taken as a whole, and we are not, by communicating the critical audit matters below, providing separate opinions on the critical audit matters or on the accounts or disclosures to which they relate.

Assessment of the reserve and allowance for volume discount and sales incentive programs in certain geographic regions

As discussed in Note 1 to the consolidated financial statements, the Company provides various volume discount and sales incentive programs with respect to its products. As of December 31, 2024, the Company had accrued volume discounts and sales incentives of approximately $961.1 million and an allowance for sales incentive discounts of approximately $57.8 million. Sales incentive programs include reductions in invoice prices, reductions in retail financial rates, dealer commissions and dealer incentive allowances. Volume discounts and sales incentives are recorded at the time of sale as a reduction of revenue using the expected value method.

We identified the assessment of the reserve and allowance for volume discount and sales incentive programs in certain geographic regions as a critical audit matter. Auditor judgment was required to evaluate certain assumptions which had a higher degree of measurement uncertainty. Significant assumptions included estimated incentive rates, which were the
46

estimated rates at which programs were applied to eligible products, and estimated achievement by dealers of specified cumulative targeted purchase levels.

The following are the primary procedures we performed to address this critical audit matter. We evaluated the design and tested the operating effectiveness of certain internal controls over the Company’s reserve and allowance for volume discount and sales incentive process, including controls related to the development of the significant assumptions. For certain volume discount and sales incentive programs, we compared the program details to dealer communications and the significant assumptions to historical results for similar programs. We assessed the Company’s historical ability to estimate significant assumptions by comparing the prior year estimated amounts to actual discounts and sales incentives realized by the customers. We evaluated the significant assumptions by comparing them to actual results, including the results of transactions occurring after year-end.

Assessment of gross unrecognized income tax benefits in certain jurisdictions

As discussed in Note 19 to the consolidated financial statements, the Company has recorded a liability for gross unrecognized income tax benefits of approximately $387.4 million as of December 31, 2024. The Company recognizes income tax benefits from uncertain tax positions only when there is a more than 50% likelihood that the tax positions will be sustained upon examination by the taxing authorities based on the technical merits of the positions.

We identified the assessment of gross unrecognized income tax benefits in certain jurisdictions as a critical audit matter. Complex auditor judgment and specialized skills were required in evaluating the Company’s interpretation and application of tax laws and the estimate of the amount of tax benefits expected to be realized.

The following are the primary procedures we performed to address this critical audit matter. We evaluated the design and tested the operating effectiveness of certain internal controls over the Company’s gross unrecognized income tax benefit process. This included controls related to the Company’s consideration of information that could affect the recognition or measurement of income tax benefits from uncertain tax positions and the interpretation and application of tax laws. We involved tax professionals with specialized skills and knowledge, who assisted in:
inspecting correspondence and assessments from the taxing authorities
evaluating the Company’s interpretation and application of tax laws
developing an expectation of the Company’s tax positions and comparing the results to the Company’s assessment

Assessment of goodwill impairment for a certain reporting unit

As discussed in Note 1 to the consolidated financial statements, the Company evaluates goodwill for impairment annually as of October 1 and when events or circumstances indicate that fair value of a reporting unit may be below its carrying value. As of December 31, 2024, the Company has $1,820.4 million of goodwill. The Company performs its goodwill impairment analyses using either a qualitative or a quantitative assessment. The fair values of the reporting units are determined based on a combination of valuation techniques, including an income approach and guideline public company method. Based on the Company’s analysis, the Company determined that the fair value of a certain reporting unit was less than the carrying value and therefore recorded a goodwill impairment of $351.0 million for this reporting unit.

We identified the assessment of the Company's goodwill impairment testing for a certain reporting unit as a critical audit matter. A high degree of subjective auditor judgment was required to evaluate the fair value of the reporting unit. Certain significant assumptions used to determine fair value of the reporting unit, including forecasted revenue growth and discount rate assumptions, had limited observable market information. The determined fair value was sensitive to changes in these significant assumptions.

The following are the primary procedures we performed to address this critical audit matter. We evaluated the design and tested the operating effectiveness of certain internal controls over the Company’s goodwill impairment process, including controls over the significant assumptions. We compared the Company’s forecasted revenue growth assumptions used in the valuation model against underlying business strategies, growth plans, and industry data. We compared the Company’s historical revenue forecasts to actual results to assess the Company’s ability to forecast. In addition, we involved valuation professionals with specialized skills and knowledge, who assisted in:
evaluating the Company’s discount rate by comparing it to a range of discount rates independently developed using publicly available market data of guideline companies
47

performing sensitivity analyses over the forecasted revenue growth assumptions to assess the impact of changes on the Company's fair value determination
recomputing the estimate of fair value for the reporting unit using the Company’s significant assumptions and comparing the result to the Company’s fair value estimate




/s/ KPMG LLP

We have served as the Company’s auditor since 2002.

Atlanta, Georgia
February 24, 2025
48

AGCO CORPORATION

CONSOLIDATED STATEMENTS OF OPERATIONS
(in millions, except per share data)
Years Ended December 31,
202420232022
Net sales$11,661.9 $14,412.4 $12,651.4 
Cost of goods sold8,762.8 10,635.0 9,650.1 
Gross profit2,899.1 3,777.4 3,001.3 
Operating expenses:
Selling, general and administrative expenses1,397.7 1,454.5 1,189.5 
Engineering expenses493.0 548.8 444.2 
Amortization of intangibles81.0 57.7 60.1 
Impairment charges369.5 4.1 36.0 
Restructuring and business optimization expenses172.7 11.9 6.1 
Loss on sale of business507.3   
Income (loss) from operations(122.1)1,700.4 1,265.4 
Interest expense, net93.0 4.6 13.0 
Other expense, net218.5 362.3 145.2 
Income (loss) before income taxes and equity in net earnings of affiliates(433.6)1,333.5 1,107.2 
Income tax provision98.4 230.4 296.6 
Income (loss) before equity in net earnings of affiliates(532.0)1,103.1 810.6 
Equity in net earnings of affiliates46.4 68.2 64.1 
Net income (loss)(485.6)1,171.3 874.7 
Net loss attributable to noncontrolling interests60.8 0.1 14.9 
Net income (loss) attributable to AGCO Corporation$(424.8)$1,171.4 $889.6 
Net income (loss) per common share attributable to AGCO Corporation:   
Basic$(5.69)$15.66 $11.92 
Diluted$(5.69)$15.63 $11.87 
Cash dividends declared and paid per common share$3.66 $6.10 $5.40 
Weighted average number of common and common equivalent shares outstanding:   
Basic74.6 74.8 74.6 
Diluted74.7 74.9 74.9 
See accompanying notes to Consolidated Financial Statements.
49

AGCO CORPORATION

CONSOLIDATED STATEMENTS OF COMPREHENSIVE INCOME (LOSS)
(in millions)
Years Ended December 31,
202420232022
Net income (loss)$(485.6)$1,171.3 $874.7 
Other comprehensive income (loss):
Defined pension and postretirement benefit plans, net of tax:
Prior service cost arising during the year(0.9) (19.1)
Net loss (gain) recognized due to settlement14.0 0.4 (0.4)
Net actuarial (loss) gain arising during the year(2.2)(16.1)12.3 
Amortization of prior service cost1.1 1.3  
Amortization of net actuarial losses7.8 7.0 6.4 
Deferred gains and losses on derivatives, net of tax:
Net changes in fair value of derivatives3.4 (8.9)(14.6)
Net losses reclassified from accumulated other comprehensive loss into income6.3 9.0 14.1 
Foreign currency translation adjustments(226.6)102.3 (30.0)
Other comprehensive income (loss)(197.1)95.0 (31.3)
Comprehensive income (loss)(682.7)1,266.3 843.4 
Comprehensive loss attributable to noncontrolling interests63.1 0.1 14.0 
Comprehensive income (loss) attributable to AGCO Corporation$(619.6)$1,266.4 $857.4 
See accompanying notes to Consolidated Financial Statements.
50

AGCO CORPORATION

CONSOLIDATED BALANCE SHEETS
(in millions, except share amounts)
December 31, 2024December 31, 2023
ASSETS
Current Assets:
Cash and cash equivalents$612.7 $595.5 
Accounts and notes receivable, net1,267.4 1,605.3 
Inventories, net2,731.3 3,440.7 
Other current assets526.6 699.3 
Total current assets5,138.0 6,340.8 
Property, plant and equipment, net1,818.6 1,920.9 
Right-of-use lease assets168.9 176.2 
Investments in affiliates519.6 512.7 
Deferred tax assets561.0 481.6 
Other assets435.2 346.8 
Intangible assets, net728.9 308.8 
Goodwill1,820.4 1,333.4 
Total assets$11,190.6 $11,421.2 
LIABILITIES, REDEEMABLE NONCONTROLLING INTERESTS AND STOCKHOLDERS’ EQUITY
Current Liabilities:
Borrowings due within one year$415.2 $15.0 
Accounts payable813.0 1,207.3 
Accrued expenses2,469.6 2,903.8 
Other current liabilities128.2 217.5 
Total current liabilities3,826.0 4,343.6 
Long-term debt, less current portion and debt issuance costs2,233.3 1,377.2 
Operating lease liabilities127.5 134.4 
Pension and postretirement health care benefits155.6 170.5 
Deferred tax liabilities125.0 122.6 
Other noncurrent liabilities680.3 616.1 
Total liabilities7,147.7 6,764.4 
Commitments and contingencies (Note 22)
Redeemable noncontrolling interests300.1  
Stockholders’ Equity:
AGCO Corporation stockholders’ equity:
Preferred stock; $0.01 par value, 1,000,000 shares authorized, no shares issued or outstanding in 2024 and 2023
  
Common stock; $0.01 par value, 150,000,000 shares authorized, 74,420,952 and 74,517,973 shares issued and outstanding at December 31, 2024 and 2023, respectively
0.7 0.7 
Additional paid-in capital 4.1 
Retained earnings5,645.0 6,360.0 
Accumulated other comprehensive loss(1,902.9)(1,708.1)
Total AGCO Corporation stockholders’ equity3,742.8 4,656.7 
Noncontrolling interests 0.1 
Total stockholders’ equity3,742.8 4,656.8 
Total liabilities, noncontrolling redeemable interests and stockholders’ equity$11,190.6 $11,421.2 
See accompanying notes to Consolidated Financial Statements.
51

AGCO CORPORATION

CONSOLIDATED STATEMENTS OF STOCKHOLDERS’ EQUITY
(in millions, except share amounts)
Common StockAdditional
Paid-in
Capital
Retained
Earnings
Accumulated
Other
Comprehensive Loss
Noncontrolling
Interests
Total
Stockholders’
Equity
Redeemable Noncontrolling Interests
SharesAmount
Balance, December 31, 2021$— 74,441,312 $0.7 $3.9 $5,182.2 $(1,770.9)$27.9 $3,443.8 
Net income (loss)— — — — 889.6 — (14.9)874.7 
Payment of dividends to stockholders— — — — (404.3)— — (404.3)
Issuance of non-employee director restricted stock— 10,301 — 1.5 — — — 1.5 
Issuance of stock awards— 250,719 — (6.5)(12.9)— — (19.4)
SSARs exercised— 12,307 — (1.2)— — — (1.2)
Stock compensation— — — 32.5 — — — 32.5 
Distribution to noncontrolling interest— — — — — — (13.8)(13.8)
Investment by noncontrolling interests— — — — — — 0.1 0.1 
Purchases and retirement of common stock— (113,824)— — — — — — 
Defined benefit pension and postretirement plans, net of tax
— — — — — (0.8)— (0.8)
Deferred gains and losses on derivatives, net of tax— — — — — (0.5)— (0.5)
Change in cumulative translation adjustment— — — — — (30.9)0.9 (30.0)
Balance, December 31, 2022— 74,600,815 0.7 30.2 5,654.6 (1,803.1)0.2 3,882.6 
Net income (loss)— — — — 1,171.4 — (0.1)1,171.3 
Adoption of ASU 2016-13 by finance joint ventures— — — — (5.5)— — (5.5)
Payment of dividends to stockholders— — — — (457.4)— — (457.4)
Issuance of non-employee director restricted stock— 10,524 — 1.5 — — — 1.5 
Issuance of stock awards— 256,709 — (20.5)— — — (20.5)
SSARs exercised— 21,594 — (2.1)— — — (2.1)
Stock compensation— — — 44.9 — — — 44.9 
Purchases and retirement of common stock— (371,669)— (49.9)(3.1)— — (53.0)
Defined pension and postretirement benefit plans, net of tax— — — — — (7.4)— (7.4)
Deferred gains and losses on derivatives, net of tax— — — — — 0.1 — 0.1 
Change in cumulative translation adjustment— — — — — 102.3 — 102.3 
Balance, December 31, 2023 74,517,973 0.7 4.1 6,360.0 (1,708.1)0.1 4,656.8 
Net income (loss)(60.8)— — — (424.8)— — (424.8)
Payment of dividends to stockholders— — — — (273.1)— — (273.1)
Issuance of non-employee director restricted stock— 12,842 — 1.7 — — — 1.7 
Issuance of stock awards— 198,601 — (13.5)(0.5)— — (14.0)
SSARs exercised— 3,388 — (0.2)— — — (0.2)
Stock compensation— — — 10.2 — — — 10.2 
Purchases and retirement of common stock— (311,852)— (5.4)(16.6)— — (22.0)
Sale of minority interest— — — — — — (0.1)(0.1)
Equity transaction associated with JCA noncontrolling interest— — — 3.1 — — — 3.1 
Initial fair value of redeemable noncontrolling interests355.1 — — — — — — — 
Investment by redeemable noncontrolling interest8.1 — — — — — — — 
Defined pension and postretirement benefit plans, net of tax— — — — — 19.8 — 19.8 
Deferred gains and losses on derivatives, net of tax— — — — — 9.7 — 9.7 
Change in cumulative translation adjustment(2.3)— — — — (224.3)— (224.3)
Balance, December 31, 2024$300.1 74,420,952 $0.7 $ $5,645.0 $(1,902.9)$ $3,742.8 
See accompanying notes to Consolidated Financial Statements.
52

AGCO CORPORATION

CONSOLIDATED STATEMENTS OF CASH FLOWS
(in millions)
Years Ended December 31,
202420232022
Cash flows from operating activities:
Net income (loss)$(485.6)$1,171.3 $874.7 
Adjustments to reconcile net income (loss) to net cash provided by operating activities:
Depreciation251.2 230.4 209.5 
Impairment charges369.5 4.1 36.0 
Amortization of intangibles81.0 57.7 60.1 
Stock compensation expense18.4 46.4 34.0 
Loss on sale of business507.3   
U.S. pension plan termination and settlement18.5   
Equity in net earnings of affiliates, net of cash received(29.4)(36.4)(40.8)
Deferred income tax benefit(102.7)(264.4)(58.0)
Other32.2 6.7 16.2 
Changes in operating assets and liabilities:
Accounts and notes receivable, net59.1 (443.8)(306.1)
Inventories, net308.8 (164.4)(668.3)
Other current and noncurrent assets(36.7)(243.0)20.1 
Accounts payable(224.9)(191.6)322.1 
Accrued expenses(190.2)566.5 282.7 
Other current and noncurrent liabilities113.4 363.6 56.0 
Total adjustments1,175.5 (68.2)(36.5)
Net cash provided by operating activities689.9 1,103.1 838.2 
Cash flows from investing activities:
Purchases of property, plant and equipment(393.3)(518.1)(388.3)
Proceeds from sale of property, plant and equipment2.1 11.8 2.6 
Purchase of businesses, net of cash acquired(1,903.7)(9.8)(111.3)
Proceeds from sale of business630.7   
Sale of, distributions from (investments in) unconsolidated affiliates, net(7.4)(21.6)4.0 
Proceeds from cross currency swap contract22.6   
Other(1.4)(8.0)(3.8)
Net cash used in investing activities(1,650.4)(545.7)(496.8)
Cash flows from financing activities:
Proceeds from indebtedness1,875.7 329.8 410.5 
Repayments of indebtedness(513.4)(458.6)(377.5)
Purchases and retirement of common stock(22.0)(53.0) 
Payment of dividends to stockholders(273.1)(457.4)(404.3)
Payment of minimum tax withholdings on stock compensation(14.1)(21.6)(20.6)
Payment of debt issuance costs(15.7)(10.9)(3.6)
Investments by (distributions to) noncontrolling interests, net8.1  (11.5)
Net cash provided by (used in) financing activities1,045.5 (671.7)(407.0)
Effect of exchange rate changes on cash, cash equivalents and restricted cash(67.8)(79.7)(34.0)
Increase (decrease) in cash, cash equivalents and restricted cash17.2 (194.0)(99.6)
Cash, cash equivalents and restricted cash, beginning of year595.5 789.5 889.1 
Cash, cash equivalents and restricted cash, end of year$612.7 $595.5 $789.5 
See accompanying notes to Consolidated Financial Statements.
53

AGCO CORPORATION
NOTES TO CONSOLIDATED FINANCIAL STATEMENTS

1.    OPERATIONS AND SUMMARY OF SIGNIFICANT ACCOUNTING POLICIES

Business

    AGCO Corporation (“AGCO” or the “Company”) is a global leader in the design, manufacture and distribution of agricultural machinery and precision agriculture technology. The Company delivers value to farmers and Original Equipment Manufacturer (“OEM”) customers through our differentiated brand portfolio including leading brands Fendt®, Massey Ferguson®, PTx and Valtra®. The Company's full line of equipment, smart farming solutions and services helps farmers sustainably feed our world. The Company distributes most of its products through a combination of approximately 2,700 independent dealers and distributors. The Company also utilizes associates and licensees to provide a distribution channel for its products. In addition, the Company provides retail and wholesale financing through its finance joint ventures with Coöperatieve Rabobank U.A., which together with its affiliates, the Company refers to as “Rabobank.”

Basis of Presentation and Consolidation

    The Company’s Consolidated Financial Statements represent the consolidation of all wholly-owned companies, majority-owned companies and joint ventures in which the Company has been determined to be the primary beneficiary. The Company consolidates a variable interest entity (“VIE”) if the Company determines it is the primary beneficiary. The primary beneficiary of a VIE is the party that has both the power to direct the activities that most significantly impact the entity’s economic performance and the obligation to absorb losses or the right to receive benefits that potentially could be significant to the VIE. The Company also consolidates all entities that are not considered VIEs if it is determined that the Company has a controlling voting interest to direct the activities that most significantly impact the joint venture or entity. For consolidated entities where our ownership interest is less than 100%, noncontrolling ownership interests are reported in our Consolidated Balance Sheets. The noncontrolling ownership interest is reported in our net income (loss), net of taxes, and is classified as “Net loss attributable to noncontrolling interests” in our Consolidated Statements of Operations. The Company records investments in affiliate companies using the equity method of accounting when it has significant influence. All significant intercompany balances and transactions have been eliminated in the Consolidated Financial Statements. Certain prior-period amounts have been reclassified in the accompanying Consolidated Financial Statements and Notes thereto in order to conform to the current period presentation.

Use of Estimates

    The preparation of financial statements in conformity with U.S. generally accepted accounting principles (“GAAP”) requires management to make estimates and assumptions that affect the reported amounts of assets and liabilities and disclosure of contingent assets and liabilities at the date of the financial statements and the reported amounts of revenues and expenses during the reporting period. Actual results could differ from those estimates. The estimates made by management primarily relate to accounts and notes receivable, inventories, deferred income tax valuation allowances, uncertain tax positions, goodwill and other identifiable intangible assets, certain accrued liabilities, principally relating to reserves for volume discounts and sales incentives, warranty obligations, product liability and pension and postretirement benefits.

Foreign Currency Translation

    The financial statements of the Company’s foreign subsidiaries are translated into United States currency in accordance with Accounting Standards Codification (“ASC”) 830, “Foreign Currency Matters.” Assets and liabilities are translated to United States dollars at period-end exchange rates. Income and expense items are translated at average rates of exchange prevailing during the period. Translation adjustments are included in “Accumulated other comprehensive loss” in stockholders’ equity within the Company’s Consolidated Balance Sheets. Gains and losses, which result from foreign currency transactions, are included in the accompanying Consolidated Statements of Operations.

    The Company has a wholly-owned subsidiary in Turkey that distributes agricultural equipment and replacement parts. On the basis of available data related to inflation indices and as a result of the devaluation of the Turkish lira relative to the United States dollar, the Turkish economy was determined to be highly inflationary during 2022. A highly inflationary economy is one where the cumulative inflation rate for the three years preceding the beginning of the reporting period, including interim reporting periods, is in excess of 100 percent. For subsidiaries operating in highly inflationary economies, the United States dollar is the functional currency. Remeasurement adjustments for financial statements in highly inflationary economies and other transactional exchange gains and losses are reported in “Other expense, net” within the Company's
54

AGCO CORPORATION
NOTES TO CONSOLIDATED FINANCIAL STATEMENTS - (Continued)

Consolidated Statements of Operations. For the year ended December 31, 2024, the Company's wholly-owned subsidiary in Turkey had net sales of approximately $412.1 million and total assets of approximately 6.5 billion Turkish lira (or approximately $185.2 million). The monetary assets and liabilities denominated in the Turkish lira were approximately 5.0 billion Turkish lira (or approximately $140.7 million) and approximately 3.1 billion Turkish lira (or approximately $86.6 million), respectively, as of December 31, 2024. The monetary assets and liabilities were remeasured into United States dollars based on exchange rates as of December 31, 2024.

    The Company has a wholly-owned subsidiary in Argentina that assembles and distributes agricultural equipment and replacement parts. In recent years, the Argentine government has substantially limited the ability of companies to transfer funds out of Argentina. As a consequence of these limitations, the spread between the official government exchange rate and the exchange rates resulting implicitly from certain capital market operations, usually effected to obtain United States dollars, had broadened significantly. Argentina's economy was determined to be highly inflationary during 2018. In December 2023, the central bank of Argentina adjusted the official foreign currency exchange rate for the Argentine peso, significantly devaluing the currency relative to the United States dollar. The Company has a wholly-owned subsidiary in Argentina that assembles and distributes agricultural equipment and replacement parts. For the year ended December 31, 2024, the Company's wholly-owned subsidiary in Argentina had net sales of approximately $215.9 million and total assets of approximately 258.3 billion pesos (or approximately $250.6 million). The monetary assets of the Company's operations in Argentina denominated in pesos at the official government rate were approximately 122.6 billion pesos (or approximately $118.9 million), inclusive of approximately 68.0 billion pesos (or approximately $65.9 million) in cash and cash equivalents, as of December 31, 2024. The monetary liabilities of the Company's operations in Argentina denominated in pesos at the official government rate were approximately 16.8 billion pesos (or approximately $16.3 million) as of December 31, 2024. The monetary assets and liabilities were remeasured into United States dollars based on exchange rates as of December 31, 2024. The Company's finance joint venture in Argentina, AGCO Capital Argentina S.A. (“AGCO Capital”) has net monetary assets denominated in pesos at the official government rate of approximately 6.7 billion pesos (or approximately $6.5 million) as of December 31, 2024. All gains and losses resulting from AGCO Capital's remeasurement of its monetary assets and liabilities are reported in “Equity in net earnings of affiliates” within our Consolidated Statements of Operations.

Cash, Cash Equivalents and Restricted Cash

    Cash and cash equivalents reported in the Consolidated Balance Sheets as of December 31, 2024, 2023 and 2022 and cash, cash equivalents and restricted cash shown in the Consolidated Statements of Cash Flows for the years ended December 31, 2024, 2023 and 2022 are as follows (in millions):

December 31, 2024December 31, 2023December 31, 2022
Cash(1)
$342.5 $463.8 $656.7 
Cash equivalents(2)
269.5 131.2 130.8 
Restricted cash(3)
0.7 0.5 2.0 
Total$612.7 $595.5 $789.5 
____________________________________
(1)    Consisted primarily of cash on hand and bank deposits.
(2)    Consisted primarily of money market deposits, certificates of deposits and overnight investments. The Company considers all investments with an original maturity of three months or less to be cash equivalents.
(3)    Consisted primarily of cash in escrow or held as a guarantee.

    Property, Plant and Equipment

    Property, plant and equipment are recorded at cost, less accumulated depreciation and amortization. Depreciation is provided on a straight-line basis over the estimated useful lives of five to 40 years for buildings and improvements, three to 25 years for machinery and equipment and five to 10 years for furniture and fixtures. Expenditures for maintenance and repairs are primarily charged to expense as incurred.

Accounts and Notes Receivable

    Accounts and notes receivable arise from the sale of equipment and replacement parts to independent dealers, distributors or other customers. In the United States and Canada, receivables arising from sales to dealers are immediately due upon a retail sale of the underlying equipment by the dealer with the exception of sales of grain storage and protein production
55

AGCO CORPORATION
NOTES TO CONSOLIDATED FINANCIAL STATEMENTS - (Continued)

systems as discussed further below. If not previously paid by the dealer in the United States and Canada, installment payments are required generally beginning after the interest-free period with the remaining outstanding equipment balance generally due within 12 months after shipment or delivery. These interest-free periods vary by product and generally range from one to 12 months. In limited circumstances, the Company provides sales terms, and in some cases, interest-free periods that are longer than 12 months for certain products. These are typically specified programs predominately in the United States and Canada, that allow for interest-free periods and due dates of up to 24 months for certain products depending on the year of the sale and the dealer or distributor’s ordering or sales volume during the preceding year. Interest generally is charged at or above prime lending rates on the outstanding receivable balances after shipment or delivery and after interest-free periods. Sales terms of some highly seasonal products provide for payment and due dates based on a specified date during the year regardless of the shipment date. Equipment sold to dealers in the United States and Canada is paid in full on average within 12 months of shipment. Sales of replacement parts generally are payable within 30 days of shipment, with terms for some larger, seasonal stock orders generally requiring payment within six months of shipment. Under normal circumstances, equipment may not be returned. Replacement parts are generally returnable if they meet certain criteria. The Company makes an estimate of product returns at the time of sale based on historical experience. In certain regions, with respect to most equipment sales, including the United States and Canada, the Company is obligated to repurchase equipment and replacement parts upon cancellation of a dealer or distributor contract. These obligations are required by national, state or provincial laws and require the Company to repurchase a dealer or distributor’s unsold inventory, including inventories for which the receivable already has been paid. Actual interest-free periods are shorter than described above because the equipment receivable from dealers or distributors in some countries, such as in the United States and Canada, is generally due immediately upon sale of the equipment to a retail customer as discussed above. Receivables can also be paid prior to terms specified in sales agreements. Under normal circumstances, interest is not forgiven and interest-free periods are not extended.

    In other international markets, equipment sales generally are payable in full within 30 days to 180 days of shipment or delivery. Payment terms for some highly seasonal products have a specified due date during the year regardless of the shipment or delivery date. For sales in most markets outside of the United States and Canada, the Company generally does not charge interest on outstanding receivables due from its dealers and distributors. Sales of replacement parts generally are payable within 30 days to 90 days of shipment, with terms for some larger, seasonal stock orders generally payable within six months of shipment.

    In certain markets, there is a time lag, which varies based on the timing and level of retail demand, between the date the Company records a sale and when the dealer sells the equipment to a retail customer.

    Sales of grain storage and protein production systems both in the United States and in other countries generally are payable within 30 days of shipment. In certain countries, sales of such systems for which the Company is responsible for construction or installation may be contingent upon customer acceptance. Payment terms vary by market and product, with fixed payment schedules on all sales. When the Company is responsible for installation services, fixed payment schedules may include upfront deposits, progress payments and final payment upon customer acceptance.

    The following summarizes by geographic region, as a percentage of the Company’s consolidated net sales, amounts with maximum interest-free periods as presented below (in millions):

Year Ended December 31, 2024
North
America
South
America
Europe/
Middle East
Asia/
Pacific/Africa
Consolidated
0 to 6 months$2,292.0 $1,315.9 $6,809.4 $682.8 $11,100.1 95.2 %
7 to 12 months547.3  3.5  550.8 4.7 %
13 to 24 months11.0    11.0 0.1 %
$2,850.3 $1,315.9 $6,812.9 $682.8 $11,661.9 100.0 %

    The Company has accounts receivable sales agreements that permit transferring, on an ongoing basis, a majority of its wholesale interest-bearing and non-interest bearing accounts receivable in North America, Europe and Brazil to its U.S., Canadian, European and Brazilian finance joint ventures. Qualified dealers may obtain additional financing through the Company’s U.S., Canadian, European and Brazilian finance joint ventures at the joint ventures’ discretion.

    The Company provides various volume bonus and sales incentive programs with respect to its products. These sales incentive programs include reductions in invoice prices, reductions in retail financing rates, dealer commissions and dealer
56

AGCO CORPORATION
NOTES TO CONSOLIDATED FINANCIAL STATEMENTS - (Continued)

incentive allowances. In most cases, incentive programs are established and communicated to the Company’s dealers on a quarterly basis. The incentives are paid either at the time of the cash settlement of the receivable (which is generally at the time of retail sale), at the time of retail financing, at the time of warranty registration, or at a subsequent time based on dealer purchase volumes. The incentive programs are product-line specific and generally do not vary by dealer. The cost of sales incentives associated with dealer commissions and dealer incentive allowances is estimated based upon the terms of the programs and historical experience, is based on a percentage of the sales price, and estimates for sales incentives are made and recorded at the time of sale for expected incentive programs using the expected value method. These estimates are reassessed each reporting period and are revised in the event of subsequent modifications to incentive programs, as they are communicated to dealers. The related provisions and accruals are made on a product or product-line basis and are monitored for adequacy and revised at least quarterly in the event of subsequent modifications to the programs. Interest rate subsidy payments, which are a reduction in retail finance rates, are recorded in the same manner as dealer commissions and dealer incentive allowances. Volume discounts are estimated and recognized based on historical experience, and related reserves are monitored and adjusted based on actual dealer purchase volumes and the dealer’s progress towards achieving specified cumulative target levels. Estimates of these incentives are based on the terms of the programs and historical experience. All incentive programs are recorded and presented as a reduction of revenue, due to the fact that the Company does not receive a distinct good or service in exchange for the consideration provided. In the United States and Canada, reserves for incentive programs related to accounts receivable not sold to Company’s U.S. and Canadian finance joint ventures are recorded as “Accounts receivable allowances” within the Company’s Consolidated Balance Sheets due to the fact that the incentives are paid through a reduction of future cash settlement of the receivable. Globally, reserves for incentive programs that will be paid in cash or credit memos, as is the case with most of the Company’s volume discount programs, as well as sales with incentives associated with accounts receivable sold to its finance joint ventures, are recorded within “Accrued expenses” within the Company’s Consolidated Balance Sheets.

    Accounts and notes receivable are shown net of allowances for sales incentive discounts available to dealers and for credit losses. Cash flows related to the collection of receivables are reported within “Cash flows from operating activities” within the Company’s Consolidated Statements of Cash Flows. Accounts and notes receivable allowances at December 31, 2024 and 2023 were as follows (in millions):

20242023
Sales incentive discounts$57.8 $54.7 
Allowance for credit losses
41.8 31.9 
$99.6 $86.6 

    The Company maintains allowances for estimated credit losses, which are developed at a market, country, and region level based on risk of collection as well as current and forecasted economic conditions. The Company calculates the allowance based on an assessment of the risk when the accounts receivable is recognized and records within “Selling, general and administrative expenses” in the Company's Consolidated Statement of Operations. Write-offs are recorded at the time a customer receivable is deemed uncollectible.

Additions
DescriptionBalance at
Beginning
of Period
Acquired
Businesses
Charged to
Costs and
Expenses
Write-offs
Deductions(1)
Foreign
Currency
Translation
Balance at
End of Period
Year ended December 31, 2024
Allowances for credit losses$31.9 $ $22.0 $(4.2)$(5.5)$(2.4)$41.8 
Year ended December 31, 2023
Allowances for credit losses$31.3 $ $4.2 $(4.6)$ $1.0 $31.9 
Year ended December 31, 2022
Allowances for credit losses$32.6 $0.1 $3.3 $(3.2)$ $(1.5)$31.3 
____________________________________
(1)    Deductions are the result of the sale of the Company's Grain & Protein business. Refer to Note 3 for additional information.

    In the United States and Canada, sales incentives can be paid through future cash settlements of receivables and through credit memos to Company’s dealers or through reductions in retail financing rates paid to the Company’s finance joint
57

AGCO CORPORATION
NOTES TO CONSOLIDATED FINANCIAL STATEMENTS - (Continued)

ventures. Outside of the United States and Canada, sales incentives can be paid through cash or credit memos to the Company’s dealers or through reductions in retail financing rates paid to the Company’s finance joint ventures. The Company transfers certain accounts receivable under its accounts receivable sales agreements with its finance joint ventures and other financial institutions (see Note 5). The Company records such transfers as sales of accounts receivable when it is considered to have surrendered control of such receivables under the provisions of ASU 2009-16, “Transfers and Servicing (Topic 860): Accounting for Transfers of Financial Assets.” Cash payments made to the Company’s finance joint ventures for sales incentive discounts provided to dealers related to outstanding accounts receivables sold are recorded within “Accrued expenses” within the Company's Consolidated Balance Sheets.

Inventories

    Inventories are valued at the lower of cost or net realizable value, using the first-in, first-out method. Net realizable value is the estimated selling price in the ordinary course of business, less reasonably predictable costs of completion, disposal and transportation.

Goodwill, Other Intangible Assets and Long-Lived Assets

    The Company tests goodwill for impairment, at the reporting unit level, annually as of October 1st or more frequently when events or circumstances indicate that the fair value of a reporting unit is more likely than not less than its carrying value. A reporting unit is an operating segment or one level below an operating segment, for example, a component. The Company combines and aggregates two or more components of an operating segment as a single reporting unit if the components have similar economic characteristics. The Company's reportable segments are not its reporting units.

    Goodwill is evaluated for impairment using a qualitative assessment or a quantitative assessment. If the Company elects to perform a qualitative assessment and determines the fair value of a reporting unit more likely than not exceeds the carrying value of the reporting unit's net assets, no further evaluation is necessary. For reporting units where the Company performs a quantitative assessment, it compares the fair value of each reporting unit to its respective carrying value of net assets, including goodwill. If the fair value of the reporting unit exceeds its carrying value of net assets, the goodwill is not considered impaired. If the carrying value of net assets is higher than the fair value of the reporting unit, an impairment charge is recorded in the amount by which the carrying value exceeds the reporting unit’s fair value.

    For the quantitative impairment assessment, the Company may utilize one or a combination of valuation techniques. A discounted cash flow model (income approach) is used whereby the present value of future expected operating net cash flows are calculated using a discount rate; and a guideline public company method (market approach) is used, whereby EBITDA and/or revenue multiples are derived from the market prices of stocks of companies that are engaged in the same or similar lines of business and that are actively traded on a free and open market.

    The Company reviews its long-lived assets, which include intangible assets subject to amortization, for impairment whenever events or changes in circumstances indicate that the carrying amount of an asset may not be recoverable. The evaluation for recoverability is performed at a level where independent cash flows may be attributed to either an asset or asset group. If the Company determines that the carrying amount of an asset or asset group is not recoverable based on the expected undiscounted future cash flows of the asset or asset group, an impairment loss is recorded equal to the excess of the carrying amounts over the estimated fair value of the long-lived assets. Estimates of future cash flows are based on many factors, including current operating results, expected market trends and competitive influences. The Company also evaluates the amortization or depreciation periods assigned to its long-lived assets to determine whether events or changes in circumstances warrant revised estimates of useful lives. Assets to be disposed of by sale are reported at the lower of the carrying amount or fair value, less estimated costs to sell.

    The annual impairment tests completed as of October 1, 2024 indicated the fair value of each of the Company's reporting units was above its respective carrying value except for the PTx Trimble North America reporting unit, which is part of the North America operating segment. Based on the results of the impairment test, the Company recorded an impairment charge of $351.0 million. The Company completed the PTx Trimble joint venture transaction on April 1, 2024. Since that date, the near-term outlook of the reporting unit has deteriorated, driven by weak industry demand and lower market penetration. These conditions led to downward revisions of the Company's forecasts of earnings which resulted in the impairment charge. We estimated the fair value of the reporting unit using an income approach. The most critical assumptions used in the calculation of the fair value of the reporting unit were the forecasted revenue growth and the discount rate.

58

AGCO CORPORATION
NOTES TO CONSOLIDATED FINANCIAL STATEMENTS - (Continued)

    The results of our goodwill impairment analyses conducted as of October 1, 2023 and 2022 indicated that no impairment existed and no reduction in the carrying amount of goodwill was required. The Company’s accumulated goodwill impairment is approximately $708.2 million related to impairment charges the Company recorded during 2024 related to the PTx Trimble business in North America as noted above and in 2019, 2012 and 2006 pertaining to its grain storage and protein production systems business in Europe/Middle East, its Chinese harvesting reporting unit and its former sprayer reporting unit, respectively. The Company’s former grain storage and protein production systems Europe/Middle East reporting unit operated within the Europe/Middle East geographical reportable segment. The Chinese harvesting business operates within the Asia/Pacific/Africa geographical reportable segment and the former sprayer reporting unit operated within the North American geographical reportable segment.

    The Company amortizes certain acquired identifiable intangible assets primarily on a straight-line basis over their estimated useful lives, which range from four to 50 years. The acquired intangible assets have a weighted average useful life as follows:

Intangible AssetsWeighted-Average Useful Life
Patents and technology13 years
Customer relationships16 years
Trademarks and trade names22 years
Other
13 years

    The Company has previously determined that two of its trademarks have an indefinite useful life. The Massey Ferguson trademark has been in existence since 1952 and was formed from the merger of Massey-Harris (established in the 1890’s) and Ferguson (established in the 1930’s). The Company also has identified the Valtra trademark as an indefinite-lived asset. The Valtra trademark has been in existence since the late 1990’s, but is a derivative of the Valmet trademark which has been in existence since 1951. The Valmet name transitioned to the Valtra name over a period of time in the marketplace. Both the Massey Ferguson brand and the Valtra brand are primary product lines of the Company’s business, and the Company plans to use these trademarks for an indefinite period of time. The Company plans to continue to make investments in product development to enhance the value of these brands into the future. There are no legal, regulatory, contractual, competitive, economic or other factors that the Company is aware of or that the Company believes would limit the useful lives of the trademarks. The Massey Ferguson and Valtra trademark registrations can be renewed at a nominal cost in the countries in which the Company operates.

Revenue

    The Company accounts for revenue recognition pursuant to ASU 2014-09, “Revenue from Contracts with Customers.” Revenue is recognized when the Company satisfies the performance obligation by transferring control over goods or services to a dealer, distributor or other customer. The amount of revenue recognized is measured as the consideration the Company expects to receive in exchange for those goods or services pursuant to a contract with the customer. A contract exists once the Company receives and accepts a purchase order under a dealer sales agreement, or once the Company enters into a contract with an end user. The Company does not recognize revenue in cases where collectability is not probable, and defers the recognition until collection is probable or payment is received.

    The Company generates revenue from the manufacture and distribution of agricultural equipment and replacement parts. Sales of equipment and replacement parts, which represent a majority of the Company’s net sales, are recorded by the Company at the point in time when title and control have been transferred to an independent dealer, distributor or other customer. Title generally passes to the dealer or distributor upon shipment or specified delivery, and the risk of loss upon damage, theft or destruction of the equipment is the responsibility of the dealer, distributor or designated third-party carrier. The Company believes control passes and the performance obligation is satisfied at the point of the stated shipping or delivery term with respect to such sales.

    As previously discussed, the amount of consideration the Company receives and the revenue recognized varies with certain sales incentives the Company offers to dealers and distributors. Estimates for sales incentives are made at the time of sale for expected incentive programs using the expected value method. These estimates are revised in the event of subsequent modification to the incentive program. All incentive programs are recorded and presented as a reduction of revenue, due to the fact that the Company does not receive a distinct good or service in exchange for the consideration provided.
59

AGCO CORPORATION
NOTES TO CONSOLIDATED FINANCIAL STATEMENTS - (Continued)


    Dealers or distributors may not return equipment or replacement parts while their contract with the Company is in force, except for under established promotional and annual replacement parts return programs. At the time of sale, the Company estimates the amount of returns based on the terms of promotional and annual return programs and anticipated returns in the future.

    Sales and other related taxes are excluded from the transaction price. Shipping and handling costs associated with freight activities after the customer has obtained control are accounted for as fulfillment costs and are expensed at the time revenue is recognized in “Cost of goods sold” and “Selling, general and administrative expenses” in the Company’s Consolidated Statements of Operations.

    As afforded under the practical expedient in ASU 2014-09, the Company does not adjust the amount of revenue to be recognized under a contract with a dealer, distributor or other customer for the time value of money when the difference between the receipt of payment and the recognition of revenue is less than one year.

    Although substantially all revenue is recognized at a point in time, a relatively insignificant amount of revenue is recognized on an “over time” basis as discussed below. The Company recognizes revenue “over time” with respect to extended warranty and maintenance contracts, certain precision technology services and subscriptions and certain installation revenue associated with the sale of grain storage and production systems. Extended warranty and maintenance services contracts and precision technology services and subscriptions generally have contract durations of more than 12 months. Generally, almost all of the grain storage and protein production systems contracts with customers that relate to “over time” revenue recognition have contract durations of less than 12 months.
    
    Extended Warranty Contracts. The Company sells separately priced extended warranty contracts and maintenance contracts, which extends coverage beyond the base warranty period, or covers maintenance over a specified period. Revenue is recognized for the extended warranty contract on a straight-line basis, which the Company believes approximates the costs expected to be incurred in satisfying the obligations, over the extended warranty period. The extended warranty period for the majority of products ranges from three to five years. When payment is received in advance of the performance obligation being satisfied, or when a portion of the overall transaction price is allocated to the extended warranty offered at no cost, revenue is deferred at contract inception and a contract liability is recognized.

    Precision Technology Services Revenue. The Company sells precision technology products, services and subscriptions individually (standalone) or in bundled packages. When a bundled package of technology products (hardware), services and/or subscriptions is sold, the portion of the consideration received related to the services and subscription components is recognized over time as the Company satisfies the future performance obligations. Revenue is recognized for the hardware component when control is transferred to the dealer or distributor. When payment is received in advance of the performance obligation being satisfied, or when a portion of the overall transaction price is allocated to a subscription, revenue is deferred at contract inception and a contract liability is recognized. The revenue associated with the performance obligations related to precision technology services and subscriptions is not significant. The costs of the software directly associated with the installation and functionality of precision technology products and services, including amortization and hosting costs, are reflected within “Cost of goods sold” and “Engineering expenses” within the Company’s Consolidated Statements of Operations.

    Grain Storage and Protein Production Systems Installation Revenue. In certain countries, the Company sells grain storage and protein production systems where the Company is responsible for construction and installation, and the sale is contingent upon customer acceptance. Under these conditions, the revenues are recognized over the term of the contract when the Company can objectively determine control has been transferred to the customer in accordance with agreed-upon specifications in the contract. For these contracts, the Company may be entitled to receive an advance payment, which is recognized as a contract liability for the amount in excess of the revenue recognized. The Company uses the input method using costs incurred to date relative to total estimated costs at completion to measure the progress toward satisfaction of the performance obligation. Revenues are recorded proportionally as costs are incurred. Costs include labor, material and overhead. The estimation of the progress toward completion is subject to various assumptions. As part of the estimation process, the Company reviews the length of time to complete the performance obligation, the cost of materials and labor productivity. If a significant change in one of the assumptions occurs, then the Company will recognize an adjustment under the cumulative catch-up method and the impact of the adjustment on the revenue recorded to date is recognized in the period the adjustment is identified.

60

AGCO CORPORATION
NOTES TO CONSOLIDATED FINANCIAL STATEMENTS - (Continued)

    Refer to Note 24 for additional information regarding the Company’s sources of revenue and associated contract liabilities and performance obligations.

Research and Development Expenses

    Research and development expenses are expensed as incurred and are included in “Engineering expenses” in the Company’s Consolidated Statements of Operations. Research and development expenses for the years ended December 31, 2024, 2023 and 2022 totaled approximately $381.3 million, $420.9 million and $315.4 million, respectively.

Advertising Costs

    The Company expenses all advertising costs as incurred. Cooperative advertising costs normally are expensed at the time the revenue is earned. Advertising expenses for the years ended December 31, 2024, 2023 and 2022 totaled approximately $53.4 million, $56.4 million and $50.9 million, respectively.

Shipping and Handling Expenses

    All shipping and handling fees charged to customers are included as a component of net sales, and are associated with freight activities after the customer has obtained control. Shipping and handling costs are accounted for as fulfillment costs and are expensed at the time revenue is recognized within “Cost of goods sold,” with the exception of certain handling costs included in “Selling, general and administrative expenses” in the amount of $54.5 million, $52.2 million and $48.4 million for the years ended December 31, 2024, 2023 and 2022, respectively.

Interest Expense, Net

    Interest expense, net for the years ended December 31, 2024, 2023 and 2022 consisted of the following (in millions):

202420232022
Interest expense$159.3 $68.8 $46.0 
Interest income(66.3)(64.2)(33.0)
$93.0 $4.6 $13.0 

Income Taxes

    Income taxes are accounted for under the asset and liability method. Deferred tax assets and liabilities are recognized for the future tax consequences attributable to differences between the financial statement carrying amounts of existing assets and liabilities and their respective tax bases and operating loss and tax credit carryforwards. A valuation allowance is established when it is more likely than not that some portion or all of the deferred tax assets may not be realized. Deferred tax assets and liabilities are measured using enacted tax rates expected to apply to taxable income in the years in which those temporary differences are expected to be recovered or settled. The effect of a change in tax rate on deferred tax assets and liabilities is recognized in income in the period of the enactment date. See Note 19 for additional information regarding the Company’s income taxes.

61

AGCO CORPORATION
NOTES TO CONSOLIDATED FINANCIAL STATEMENTS - (Continued)

Comprehensive Income (Loss)

    The Company reports comprehensive income (loss), defined as the total of net income (loss) and all other non-owner changes in equity, and the components thereof in its Consolidated Statements of Stockholders’ Equity and Consolidated Statements of Comprehensive Income (Loss). The components of other comprehensive income (loss) and the related tax effects for the years ended December 31, 2024, 2023 and 2022 are as follows (in millions):

AGCO Corporation
Redeemable and Nonredeemable Noncontrolling Interests
20242024
Before-tax
Amount
Income
Taxes
After-tax
Amount
After-tax
Amount
Defined pension and postretirement benefit plans
$26.7 $(6.9)$19.8 $ 
Deferred gains and losses on derivatives13.0 (3.3)9.7  
Foreign currency translation adjustments(224.3) (224.3)(2.3)
Total components of other comprehensive loss
$(184.6)$(10.2)$(194.8)$(2.3)

AGCO Corporation
Noncontrolling Interests
20232023
Before-tax
Amount
Income
Taxes
After-tax
Amount
After-tax
Amount
Defined pension and postretirement benefit plans
$(10.0)$2.6 $(7.4)$ 
Deferred gains and losses on derivatives(0.3)0.4 0.1  
Foreign currency translation adjustments102.3  102.3  
Total components of other comprehensive income
$92.0 $3.0 $95.0 $ 


AGCO Corporation
Noncontrolling Interests
20222022
Before-tax
Amount
Income
Taxes
After-tax
Amount
After-tax
Amount
Defined pension and postretirement benefit plans
$(2.0)$1.2 $(0.8)$ 
Deferred gains and losses on derivatives(0.5) (0.5) 
Foreign currency translation adjustments(30.9) (30.9)0.9 
Total components of other comprehensive loss
$(33.4)$1.2 $(32.2)$0.9 

Derivatives

    The Company uses derivative and non-derivative instruments to manage its exposure to market risks, such as changes in foreign currency exchange rates, commodity prices and interest rates. The Company does not enter into derivative transactions for speculative purposes. The Company's derivative instruments are recognized as either assets or liabilities on the Consolidated Balance Sheets and measured at fair value. The accounting for changes in the fair value of each derivative financial instrument depends on whether it has been designated and qualifies as an accounting hedge, as well as the type of hedging relationship identified. See Note 14 for additional information regarding the Company’s derivative instruments and hedging activities.


62

AGCO CORPORATION
NOTES TO CONSOLIDATED FINANCIAL STATEMENTS - (Continued)

Leases

    The Company leases certain land, buildings, machinery, equipment, vehicles and office and computer equipment under finance and operating leases. The Company accounts for these leases pursuant to ASU 2016-02, “Leases”. Under the standard, lessees are required to record an asset (a right-of-use “ROU” asset or finance lease asset) and a lease liability. ROU assets represent the Company’s right to use an underlying asset during the lease term while lease liabilities represent the Company’s obligation to make lease payments during the lease term. The standard allows for two types of leases for income statement recognition purposes: operating leases and finance leases. Operating leases result in the recognition of a single lease expense on a straight-line basis over the lease term whereas finance leases result in an accelerated expense. ASU 2016-02 also contains guidance regarding the identification of embedded leases in service and supply contracts, as well as the identification of lease and nonlease components of an arrangement. All leases greater than 12 months result in the recognition of an ROU asset and liability at the lease commencement date based on the present value of the lease payments over the lease term. The present value of the lease payments is calculated using the applicable weighted-average discount rate. The weighted-average discount rate is based on the discount rate implicit in the lease, or if the implicit rate is not readily determinable from the lease, then the Company estimates an applicable incremental borrowing rate. The incremental borrowing rate is estimated using the currency denomination of the lease, the contractual lease term and the Company’s applicable borrowing rate.

    The Company does not recognize an ROU asset or lease liability with respect to operating leases with an initial term of 12 months or less and recognizes expense on such leases on a straight-line basis over the lease term. The Company accounts for lease components separately from nonlease components other than for real estate and office equipment. The Company evaluates its supplier agreements for the existence of leases and determined these leases comprised an insignificant portion of its supplier agreements. As such, these leases were not material to the Company’s Consolidated Balance Sheets. The Company has certain leases that contain one or more options to terminate or renew that can extend the lease term up to 13 years. Options that the company is reasonably certain to exercise are included in the lease term. The depreciable life of ROU assets and leasehold improvements are limited by the expected lease term. The Company has certain lease agreements that include variable rental payments that are adjusted periodically for inflation based on the index rate as defined by the applicable government authority. Generally, the Company’s lease agreements do not contain any residual value guarantees or restrictive covenants.

Recent Accounting Pronouncements

    In June 2016, the Financial Accounting Standards Board (“FASB”) issued Accounting Standards Update (“ASU”) 2016-13 “Financial Instruments - Credit Losses (Topic 326): Measurement of Credit Losses on Financial Instruments,” which requires measurement and recognition of expected versus incurred credit losses for financial assets. In November 2019, the FASB issued ASU 2019-10, “Financial Instruments - Credit Losses (Topic 326), Derivatives and Hedging (Topic 815), and Leases (Topic 842): Effective Dates,” which delays the effective date of ASU 2016-13 for smaller reporting companies and other non-SEC reporting entities. This delay applies to the Company’s equity method finance joint ventures, which were required to adopt ASU 2016-13 for annual periods beginning after December 15, 2022 and interim periods within those annual periods. The standard, and its subsequent modification, impacts the results of operations and financial condition of the Company’s finance joint ventures. For the adoption of the standard by the Company’s finance joint ventures on January 1, 2023 under the modified retrospective approach, the Company recognized the cumulative effect of ASU 2016-13 as an adjustment to the opening balance of stockholders’ equity as of January 1, 2023 within “Retained earnings.” The cumulative effect was a reduction of approximately $5.5 million.

    In September 2022, the FASB issued ASU 2022-04, “Liabilities-Supplier Finance Programs (Subtopic 405-50): Disclosure of Supplier Finance Program Obligations.” The new standard requires that a buyer in a supplier finance program disclose sufficient information about the key terms of the program, the amount of outstanding confirmed obligations at period end, where the obligations are presented in the balance sheet, and a rollforward of the obligations during the annual period. This guidance was effective for fiscal years beginning after December 15, 2022, including interim periods within those fiscal years, except for the rollforward, which is effective for fiscal years beginning after December 15, 2023. The adoption of ASU 2022-04 resulted in disclosure of the Company's supplier financing programs. Refer to Note 11 for further details.

    The Company has adopted ASU 2021-08, “Business Combinations: Accounting for Contract Assets and Contract Liabilities from Contracts with Customers,” effective for fiscal years beginning after December 15, 2022, which did not have a material impact on the Company's results of operations, financial condition or cash flows but may impact future acquisitions.

63

AGCO CORPORATION
NOTES TO CONSOLIDATED FINANCIAL STATEMENTS - (Continued)

    In November 2023, the FASB issued ASU 2023-07, “Segment Reporting (Topic 280): Improvements to Reportable Segment Disclosures” which expands annual and interim disclosure requirements and requires entities to disclose its significant segment expense categories and amounts for each reportable segment. The ASU is effective for public entities for fiscal years beginning after December 15, 2023, and interim periods in fiscal years beginning after December 15, 2024, with early adoption permitted. The Company adopted the new standard effective December 31, 2024. Refer to Note 25 for further details.

New Accounting Pronouncements to be Adopted

    In December 2023, the FASB issued ASU 2023-09, “Income Taxes (Topic 740): Improvements to Income Tax Disclosures”. The standard requires disaggregated information about a reporting entity’s effective tax rate reconciliation as well as information on income taxes paid. The requirements will be effective for annual periods beginning after December 15, 2024. The guidance will be applied on a prospective basis with the option to apply the standard retrospectively. Early adoption is permitted. The Company is currently evaluating the potential effect that the updated standard will have on its financial statement disclosures.

    In November 2024, the FASB issued ASU 2024-03, “Income Statement – Reporting Comprehensive Income – Expense Disaggregation Disclosures (Subtopic 220-40): Disaggregation of Income Statement Expenses,” which requires disaggregation of certain expense captions into specified natural expense categories in the disclosures within the notes to the consolidated financial statements. In addition, the guidance requires disclosure of selling expenses and its definition. The amendments in the ASU are effective for annual reporting periods beginning after December 15, 2026 and interim reporting periods beginning after December 15, 2027, with early adoption permitted. The ASU will be applied prospectively with an option to simultaneously apply retrospectively. The Company is currently evaluating the potential effect that the updated standard will have on its financial statement disclosures.

2.    ACQUISITIONS

    On September 28, 2023, the Company entered into a Sale and Contribution Agreement among AGCO, Trimble Inc. (“Trimble”) and PTx Trimble, LLC (“PTx Trimble” or the "Joint Venture"), formerly known as Trimble Solutions, LLC, which was subsequently amended and restated on March 31, 2024. On April 1, 2024, pursuant to the terms of an Amended and Restated Sale and Contribution Agreement (the “Agreement”), AGCO and Trimble completed (i) the contribution by Trimble to the Joint Venture of Trimble’s OneAg business (“OneAg”), which is Trimble’s agricultural business, excluding certain Global Navigation Satellite System and guidance technologies, and $8.1 million of cash, (ii) the contribution by AGCO to the Joint Venture of its interest in JCA Industries, LLC d/b/a JCA Technologies and $46.0 million of cash, and (iii) the purchase by AGCO from Trimble of membership interests in the Joint Venture in exchange for the payment by AGCO to Trimble of $1,954.0 million in cash, subject to customary working capital and other adjustments. Immediately following the closing and as a result of the transaction, AGCO directly and indirectly owns an 85% interest in the Joint Venture and Trimble owns a 15% interest in the Joint Venture. The purchase price was funded using net proceeds from the issuance of Senior Notes due 2027 and 2034, a term loan facility and the remainder through other borrowings and cash on hand. Refer to Note 12 for further information. AGCO began consolidating PTx Trimble within its consolidated financial statements on April 1, 2024.

    The Company is accounting for the Joint Venture transaction as a business combination using the acquisition method of accounting which requires assets acquired and liabilities assumed to be recorded at their acquisition date fair value. The Company allocated the purchase price of the acquisition to identified assets acquired, liabilities assumed, and noncontrolling interests based on their estimated fair values as of the acquisition date. The excess of the purchase price over the aggregate fair values was recorded as goodwill. The Company calculated the fair value of the assets acquired using the income, market or cost approach (or a combination thereof). Fair values of certain assets were determined based on Level 3 inputs, including estimated future cash flows, discount rates, royalty rates, growth rates and sales projections, all of which require significant management judgment and are susceptible to change. Measurement period adjustments were made to the previously disclosed preliminary fair values of developed technologies, trade name, customer relationships, deferred taxes and redeemable noncontrolling interests as a result of updated valuations resulting in an increase of intangible assets of $174.5 million, deferred taxes of $14.0 million, redeemable noncontrolling interests of $22.9 million and decrease in goodwill of $139.1 million. The goodwill consists of expected future economic benefits that will arise from expected future product sales, operating efficiencies and sales channel synergies that may result from the Joint Venture. The Company expects that the portion of the goodwill balance allocated to the US business will be deductible for tax purposes, and the goodwill allocated to the Joint Venture’s investments in foreign subsidiaries, primarily in Germany and France, will not be deductible for tax purposes. The goodwill arising from the Joint Venture has been assigned to four new reporting units within our North America, South America, Europe/Middle East and
64

AGCO CORPORATION
NOTES TO CONSOLIDATED FINANCIAL STATEMENTS - (Continued)

Asia/Pacific/Africa operating segments. Refer to Note 6 for the carrying amounts of goodwill by segment as of December 31, 2024.

    The purchase consideration transferred consisted of the following (in millions):

Purchase Consideration
Total cash consideration for OneAg$1,954.0 
Working capital and other adjustments
(47.1)
Equity transaction associated with JCA noncontrolling interest (a)3.1 
Total purchase consideration$1,910.0 

(a) Equity transaction associated with JCA noncontrolling interest

    The transfer of the 15% interest in AGCO's JCA business is accounted for as an equity transaction. The adjustment to additional paid-in-capital represents the excess of the fair value of the JCA business transferred over its historical carrying amount. The fair value of the JCA business was determined using a discounted cash flow model.

    The fair values of the assets acquired, liabilities assumed and noncontrolling interests as of the acquisition date are presented in the following table (in millions):

As of April 1, 2024
Cash$6.3 
Accounts receivable12.3 
Inventories62.6 
Other current assets6.0 
Property, plant and equipment21.6 
Deferred tax assets0.1 
Right-of-use lease assets2.4 
Other assets (non-current)0.1 
Intangible assets624.6 
Goodwill1,592.2 
Total assets acquired$2,328.2 
Accounts payable$5.8 
Accrued expenses11.2 
Other current liabilities14.0 
Operating lease liabilities1.6 
Deferred tax liabilities18.0 
Other noncurrent liabilities12.5 
Total liabilities assumed$63.1 
Redeemable noncontrolling interests (b)$355.1 
Net assets acquired$1,910.0 

(b) Redeemable noncontrolling interests

    Trimble has a put option to sell its noncontrolling interests to the Company, and the Company has a call option to redeem Trimble's noncontrolling interests. The first exercisable date of both the put and call options is April 1, 2027. The put and call options prices are based on multiples of EBITDA, subject to the terms of the Agreement. We estimated the fair value of
65

AGCO CORPORATION
NOTES TO CONSOLIDATED FINANCIAL STATEMENTS - (Continued)

the put and call options using a Monte Carlo simulation along with a Black Scholes model assuming an exercise date of three years from the close of the transaction, the first allowable exercise date. We evaluated the put and call options for the redeemable noncontrolling interests under ASC 480, Distinguishing Liabilities from Equity, and classified the redeemable noncontrolling interests as mezzanine equity based on its redemption features. The amount of the net income or loss attributable to the redeemable noncontrolling interests is recorded in “Net loss attributable to noncontrolling interests” within the Company's Consolidated Statements of Operations. To the extent the redemption value exceeds the initial fair value recorded, the Company will recognize the entire change in the redemption amount each reporting period in retained earnings.

    The acquired identifiable intangible assets of OneAg as of the date of the acquisition are summarized in the following table (in millions):

Fair Value
Useful Life(1)
Developed Technology$526.0 
7 - 15 years
Customer Relationships47.3 
20 years
Trade name6.5 
5 years
Favorable contracts44.8 
2 - 7 years
$624.6 
____________________________________
(1)    Based on available information and certain assumptions that we believe are reasonable.

    The following unaudited pro forma financial information presents the consolidated results of operations as if the OneAg acquisition had occurred on January 1, 2023. OneAg's pre-acquisition results have been added to the Company's historical results. The pro forma results (in millions) contained in the table below include adjustments for (i) the elimination of sales between the Company and OneAg, (ii) amortization of acquired intangible assets (iii) interest expense and amortization of debt issuance costs related to borrowings under the Senior Notes due 2027 and 2034 and term loan facility and (iv) transaction-related costs as if these had been incurred on January 1, 2023 for the periods ending December 31, 2023 and 2024, respectively.

Years Ended December 31,
20242023
Unaudited Consolidated Pro Forma Results
Net sales$11,745.3 $14,895.7 
Net income (loss) attributable to AGCO Corporation
(423.8)1,119.7 

    These pro forma results have been prepared for comparative purposes only and are not necessarily indicative of the results of operations as they would have been had the acquisitions occurred on the assumed dates, nor are they necessarily an indication of future operating results.

    The amounts of PTx Trimble's net sales and net loss attributable to AGCO Corporation consolidated by the Company since the acquisition date were $171.3 million and $350.9 million, respectively.

    During the years ended December 31, 2024 and 2023, transaction-related costs of approximately $23.1 million and $16.0 million were expensed as incurred to “Selling, general and administrative expenses” in the Company's Consolidated Statements of Operations, respectively.
66

AGCO CORPORATION
NOTES TO CONSOLIDATED FINANCIAL STATEMENTS - (Continued)

3.    BUSINESS DIVESTITURE

    On July 25, 2024, the Company entered into a Stock and Asset Purchase Agreement to sell the majority of its Grain & Protein (“G&P”) business, which includes the GSI®, Automated Production® (AP), Cumberland®, Cimbria® and Tecno® brands for a purchase price of $700.0 million, subject to customary working capital and other adjustments. On November 1, 2024, the Company completed the sale of the G&P business to A-AG Holdco Limited, an affiliate of American Industrial Partners. The Company previously classified the G&P business as held for sale as of June 30, 2024. The Company determined the sale of the G&P business did not represent a strategic shift that had or will have a major effect on the consolidated results of operations, and therefore results of this business were not classified as discontinued operations. The results of the G&P business through the date of the divestiture are included within our North America, South America, Europe/Middle East and Asia/Pacific/Africa segments. The Company received net proceeds of $630.7 million and recognized a loss on the sale of business of $507.3 million, which is included within “Loss on sale of business” in the Company's Consolidated Statements of Operations. The loss on sale of business includes $93.6 million of cumulative translation adjustment losses representing amounts previously recorded in accumulated other comprehensive loss. The proceeds from the sale were used to repay the Term Loan Facility and reduce borrowings under the Credit Facility. Refer to Note 12 for further information.

    The major categories of divested assets and liabilities as of the date of the divestiture were as follows (in millions):

Assets divested
Cash and cash equivalents$25.0 
Accounts and notes receivable, net170.2 
Inventories, net171.6 
Other current assets21.6 
Total current assets
388.4 
Property, plant and equipment, net101.8 
Right-of-use lease assets15.2 
Other assets16.5 
Intangible assets, net113.7 
Goodwill203.6 
Total assets
$839.2 
Liabilities divested
Accounts payable$90.4 
Accrued expenses98.4 
Other current liabilities54.7 
Total current liabilities
243.5 
Deferred tax liabilities8.3 
Operating lease liabilities10.5 
Other noncurrent liabilities5.2 
Total liabilities
$267.5 
Disposal group, net$571.7 

67

AGCO CORPORATION
NOTES TO CONSOLIDATED FINANCIAL STATEMENTS - (Continued)

4.    PROPERTY, PLANT, AND EQUIPMENT

    Property, plant, and equipment, net at December 31, 2024 and 2023 consisted of the following (in millions):

20242023
Land$141.8 $154.0 
Buildings and improvements998.3 1,042.5 
Machinery and equipment2,916.4 3,178.9 
Furniture and fixtures206.6 210.7 
Gross property, plant and equipment4,263.1 4,586.1 
Accumulated depreciation and amortization(2,444.5)(2,665.2)
Property, plant and equipment, net$1,818.6 $1,920.9 

5.    ACCOUNTS RECEIVABLE SALES AGREEMENTS

    The Company has accounts receivable sales agreements that permit the sale, on an ongoing basis, of a majority of its wholesale receivables in North America, Europe and Brazil to its U.S., Canadian, European and Brazilian finance joint ventures. The cash received from receivables sold under the U.S., Canadian, European and Brazilian accounts receivable sales agreements that remain outstanding as of December 31, 2024 and 2023 was approximately $2.3 billion and $2.5 billion, respectively.

    Under the terms of the accounts receivable sales agreements in the U.S., Canada, Europe and Brazil, the Company pays an annual fee to its finance joint ventures related to the servicing of the receivables sold. The Company also pays the respective AGCO Finance entities a subsidized interest payment with respect to the accounts receivable sales agreements, calculated based upon the interest rate charged by Rabobank to its affiliate, and such affiliate then lends to the AGCO Finance entities plus an agreed-upon margin. These fees are reflected within losses on the sales of receivables included within “Other expense, net” in the Company’s Consolidated Statements of Operations. The Company does not service the receivables after the sale occurs and does not maintain any direct retained interest in the receivables. The Company reviewed its accounting for the accounts receivable sales agreements and determined that receivables sold under these agreements should be accounted for as off-balance sheet transactions.

    In addition, the Company sells certain trade receivables under factoring arrangements to other financial institutions around the world. The cash received from trade receivables sold under factoring arrangements that remain outstanding as of December 31, 2024 and 2023 was approximately $220.5 million and $254.1 million, respectively. Under these arrangements, the Company is required to continue to service the sold receivables at market rates. The Company does not maintain any direct retained interest in the receivables. The Company reviewed its accounting for the accounts receivable sales agreements and determined that receivables sold under these agreements should be accounted for as off-balance sheet transactions.

    Losses on sales of receivables associated with the accounts receivable sales agreements discussed above, reflected within “Other expense, net” in the Company’s Consolidated Statements of Operations, were approximately $118.2 million, $148.4 million and $71.1 million during 2024, 2023 and 2022, respectively.

    The Company’s finance joint ventures in Europe, Brazil and Australia also provide wholesale financing directly to the Company’s dealers. As of December 31, 2024 and 2023, these finance joint ventures had approximately $139.2 million and $211.3 million, respectively, of outstanding accounts receivable associated with these arrangements.

    In certain foreign countries, the Company invoices its finance joint ventures directly and the finance joint ventures retain a form of title to the goods delivered to dealers until the dealer makes payment so that the finance joint ventures can recover the goods in the event of dealer or end customer default on payment. This occurs as the laws of some foreign countries do not provide for a seller’s retention of a security interest in goods in the same manner as established in the United States Uniform Commercial Code. The only right the finance joint ventures retain with respect to the title are those enabling recovery of the goods in the event of customer default on payment. The dealer or distributor may not return equipment or replacement parts to the Company while its contract with the finance joint venture is in force, and can only return the equipment to the retail finance joint venture with penalties that would generally not make it economically beneficial to do so.

68

AGCO CORPORATION
NOTES TO CONSOLIDATED FINANCIAL STATEMENTS - (Continued)

6.    GOODWILL AND OTHER INTANGIBLE ASSETS

    Changes in the carrying amount of goodwill during the years ended December 31, 2024, 2023 and 2022 are summarized as follows (in millions):

North
America
South
America
Europe/
Middle East
Asia/
Pacific/Africa
Consolidated
Balance as of December 31, 2022$667.3 $86.0 $444.3 $113.2 $1,310.8 
Foreign currency translation0.9 7.5 14.2  22.6 
Balance as of December 31, 2023668.2 93.5 458.5 113.2 1,333.4 
Acquisitions955.6 32.5 592.4 20.4 1,600.9 
Divestiture(1)
(523.9)(12.4)(61.4)(113.2)(710.9)
Impairment charge(354.1)   (354.1)
Foreign currency translation(3.0)(18.7)(27.2) (48.9)
Balance as of December 31, 2024$742.8 $94.9 $962.3 $20.4 $1,820.4 
_________________________________
(1)    Divestiture resulting from the Company's sale of the majority of the G&P business, $507.3 million is included within “Loss on sale of business” in the Company’s Consolidated Statements of Operations and $203.6 million was divested. Refer to Note 3 for additional information.
69

AGCO CORPORATION
NOTES TO CONSOLIDATED FINANCIAL STATEMENTS - (Continued)

    Changes in the carrying amount of acquired intangible assets during 2024 and 2023 are summarized as follows (in millions):

Gross Carrying AmountsTrademarks and
Trade Names
Customer
Relationships
Patents and
Technology
Other
Total
Balance as of December 31, 2022$191.8 $574.5 $150.6 $6.5 $923.4 
Impairment charge  (5.1) (5.1)
Foreign currency translation2.5 6.2 2.7 (0.2)11.2 
Balance as of December 31, 2023194.3 580.7 148.2 6.3 929.5 
Acquisitions6.5 47.3 526.0 44.8 624.6 
Divestiture
(122.7)(434.4)(59.2) (616.3)
Foreign currency translation(3.0)(14.5)(10.3)(0.2)(28.0)
Balance as of December 31, 2024$75.1 $179.1 $604.7 $50.9 $909.8 

Accumulated AmortizationTrademarks and
Trade Names
Customer
Relationships
Patents and
Technology
Other
Total
Balance as of December 31, 2022$103.3 $440.8 $101.5 $1.6 $647.2 
Amortization expense10.0 36.8 10.8 0.1 57.7 
Impairment charge
  (1.0) (1.0)
Foreign currency translation1.2 5.8 2.0  9.0 
Balance as of December 31, 2023114.5 483.4 113.3 1.7 712.9 
Amortization expense7.4 23.0 37.2 13.4 81.0 
Divestiture
(74.2)(383.7)(49.3) (507.2)
Foreign currency translation(2.1)(13.1)(6.2)(0.2)(21.6)
Balance as of December 31, 2024$45.6 $109.6 $95.0 $14.9 $265.1 

Indefinite-Lived Intangible AssetsTrademarks and
Trade Names
Balance as of December 31, 2022$84.8 
Foreign currency translation1.1 
Balance as of December 31, 202385.9 
Foreign currency translation(2.1)
Balance as of December 31, 2024$83.8 

    For the years ended December 31, 2024, 2023 and 2022, amortization expense related to acquired intangible assets was $81.0 million, $57.7 million and $60.1 million, respectively. The Company estimates amortization of existing intangible assets will be $61.3 million in 2025, $61.0 million in 2026, $58.9 million in 2027, $57.0 million in 2028, and $54.3 million in 2029. External-use software, net, developed by the Company and marketed externally, was approximately $0.4 million and $6.3 million as of December 31, 2024 and 2023, respectively, and classified within “Intangible assets, net.” Additionally, $4.6 million of external-use software, net was divested as part of the sale of the majority of the Company's G&P business.
70

AGCO CORPORATION
NOTES TO CONSOLIDATED FINANCIAL STATEMENTS - (Continued)

7.    ACCRUED EXPENSES

    Accrued expenses at December 31, 2024 and 2023 consisted of the following (in millions):

20242023
Reserve for volume discounts and sales incentives$961.1 $953.6 
Warranty reserves598.7 679.9 
Accrued employee compensation and benefits245.0 454.8 
Accrued taxes239.5 401.2 
Accrued restructuring expenses
125.2 6.4 
Other300.1 407.9 
Balance at the end of the year$2,469.6 $2,903.8 

8.    INVENTORIES

    Inventories, net at December 31, 2024 and 2023 were as follows (in millions):

20242023
Finished goods$1,187.9 $1,460.7 
Repair and replacement parts754.6 823.1 
Work in process170.0 255.2 
Raw materials618.8 901.7 
Inventories, net$2,731.3 $3,440.7 

    At December 31, 2024 and 2023, the Company had recorded $251.1 million and $238.9 million, respectively, as a reserve for surplus and obsolete inventories. These reserves are reflected within “Inventories, net” within the Company’s Consolidated Balance Sheets.

9.    PRODUCT WARRANTY

    The warranty reserve activity for the years ended December 31, 2024, 2023 and 2022, including deferred revenue associated with the Company's extended warranties that have been sold, was as follows (in millions):

202420232022
Balance at beginning of the year$800.8 $640.0 $592.5 
Acquisitions4.1   
Accruals for warranties issued
396.3 464.9 338.8 
Settlements made and deferred revenue recognized
(401.0)(328.7)(261.7)
Divestiture
(6.2)  
Foreign currency translation(51.0)24.6 (29.6)
Balance at the end of the year$743.0 $800.8 $640.0 

    The Company’s agricultural equipment products generally are under warranty against defects in materials and workmanship for a period of one to four years. The Company accrues for future warranty costs at the time of sale based on historical warranty experience. The Company's extended warranty period for the majority of products ranges from three to five years. Revenue is recognized for the extended warranty contracts on a straight-line basis, which the Company believes approximates the costs expected to be incurred in satisfying the obligations, over the extended warranty period. Approximately $598.7 million and $679.9 million of warranty reserves are included in “Accrued expenses” in the Company’s Consolidated Balance Sheets as of December 31, 2024 and 2023, respectively. Approximately $144.3 million and $120.9 million of warranty reserves are included in “Other noncurrent liabilities” in the Company’s Consolidated Balance Sheets as of December 31, 2024 and 2023, respectively.
71

AGCO CORPORATION
NOTES TO CONSOLIDATED FINANCIAL STATEMENTS - (Continued)


    The Company recognizes potential recoveries of the costs associated with warranties it provides when the collection is probable. When specifics of the recovery have been agreed upon with the Company’s suppliers through the confirmation of liability for the recovery, the Company records the recovery within “Accounts and notes receivable, net” in the Company's Consolidated Balance Sheets. Estimates of the amount of warranty claim recoveries to be received from the Company’s suppliers based upon contractual supplier arrangements are recorded within “Other current assets” in the Company's Consolidated Balance Sheets.

10.    INVESTMENTS IN AFFILIATES

    Investments in affiliates as of December 31, 2024 and 2023 were as follows (in millions):

20242023
Finance joint ventures$471.4 $464.3 
Manufacturing joint ventures31.4 30.6 
Other affiliates16.8 17.8 
$519.6 $512.7 

    The Company’s finance joint ventures provide retail financing and wholesale financing to its dealers. The majority of the assets of the Company’s finance joint ventures represents finance receivables. The majority of the liabilities represents notes payable and accrued interest. Under the various joint venture agreements, Rabobank or its affiliates provide financing to the joint venture companies. AGCO has a 49% interest in the Company’s finance joint ventures. Refer to Note 18 for further discussion of the Company's relationship with Rabobank.

    The Company’s manufacturing joint ventures consist of Groupement International De Mecanique Agricole SAS (“GIMA”), a joint venture with a third-party manufacturer to purchase, design and manufacture components for agricultural equipment in France, and CP GSI Machinery Co Ltd, a joint venture with a third-party manufacturer to manufacture protein production equipment in China. The other affiliates represent investments in farm equipment manufacturers, an electronic and software system manufacturer, precision agriculture technology providers, distributors and licensees.

    The Company concluded it has significant influence over its finance and manufacturing joint ventures and accounted for these investments using the equity method of accounting.

    The Company’s equity in net earnings of affiliates for the years ended December 31, 2024, 2023 and 2022 were as follows (in millions):

202420232022
Finance joint ventures$45.2 $66.9 $63.0 
Manufacturing and other joint ventures1.2 1.3 1.1 
$46.4 $68.2 $64.1 

    Summarized combined financial information of the Company’s finance joint ventures as of December 31, 2024 and 2023 and for the years ended December 31, 2024, 2023 and 2022 were as follows (in millions):

As of December 31,
20242023
Total assets$10,036.4 $10,035.8 
Total liabilities9,074.3 9,088.3 
Partners’ equity962.1 947.5 

72

AGCO CORPORATION
NOTES TO CONSOLIDATED FINANCIAL STATEMENTS - (Continued)

For the Years Ended December 31,
202420232022
Revenues$791.7 $680.5 $454.6 
Costs672.7 468.6 274.9 
Income before income taxes$119.0 $211.9 $179.7 

    At December 31, 2024 and 2023, the Company’s receivables from affiliates were approximately $32.0 million and $146.9 million, respectively. The receivables from affiliates are reflected within “Accounts and notes receivable, net” within the Company’s Consolidated Balance Sheets.

    The portion of the Company’s retained earnings balance that represents undistributed retained earnings of equity method investees was approximately $461.2 million and $445.1 million as of December 31, 2024 and 2023, respectively. The Company received dividends from certain finance joint ventures of approximately $13.7 million and $28.9 million during 2024 and 2023, respectively. There were no returns on investment in excess of earnings in 2024 and 2023, respectively. During 2022, approximately $5.7 million of these dividends were a return of investment in excess of earnings related to a certain finance joint venture, and were included within “Sale of, distributions from (investments in) unconsolidated affiliates, net” within the Company’s Consolidated Statements of Cash Flows. In addition, during the year ended December 31, 2022, the Company recorded a write-down of the investment in its Russian finance joint venture of approximately $4.8 million, reflected within “Equity in net earnings of affiliates” in the Consolidated Statements of Operations. The Russian finance joint venture was sold during the three months ended December 31, 2022.

11.    SUPPLIER FINANCE PROGRAMS

    The Company has supplier financing arrangements with certain banks or other intermediaries whereby a bank or intermediary purchases receivables held by the Company’s suppliers. Under the program, suppliers have the option to be paid by the bank or intermediary earlier than the payment due date. When the supplier receives an early payment, they receive discounted amounts, and the Company pays the bank or intermediary the face amount of the invoice on the payment due date. The Company does not reimburse suppliers for any costs incurred for participation in the program. The Company and its suppliers agree on the contractual terms, including prices, quantities and payment terms, regardless of whether the supplier elects to participate in the supplier finance programs. The suppliers’ voluntary inclusion in the supplier financing programs has no bearing on the Company’s payment terms. The Company has no economic interest in a supplier’s decision to participate in the programs, and the Company has no direct financial relationship with the banks or other intermediaries as it relates to the supplier finance programs. As of December 31, 2024, payment terms with the majority of the Company’s suppliers are 30 to 180 days, which correspond to the contractual terms, with rates that are based on market rates (such as SOFR) plus a credit spread. There are no assets pledged as security under the programs. As of December 31, 2024 and 2023, the amounts outstanding that remain unpaid to the banks or other intermediaries totaled $50.6 million and $82.7 million, respectively, and are reflected in “Accounts payable” in the Company’s Consolidated Balance Sheets.

    The following table summarizes the activity of the Company’s supplier finance programs during the year ended December 31, 2024 (in millions):

2024
Balance at beginning of the year$82.7 
Amounts added to the programs
282.5 
Amounts settled under the programs
(314.6)
Balance at the end of the year$50.6 
73

AGCO CORPORATION
NOTES TO CONSOLIDATED FINANCIAL STATEMENTS - (Continued)

12.    INDEBTEDNESS

    Long-term debt consisted of the following at December 31, 2024 and 2023 (in millions):

December 31, 2024December 31, 2023
Credit Facility, expires 2027
$ $ 
5.450% Senior notes due 2027
400.0  
5.800% Senior notes due 2034
700.0  
0.800% Senior notes due 2028
622.7 664.0 
1.002% EIB Senior term loan due 2025
259.5 276.7 
EIB Senior term loan due 2029
259.5 276.7 
EIB Senior term loan due 2030
176.4  
Senior term loans due between 2025 and 2028
152.0 162.1 
Other long-term debt
 3.1 
Debt issuance costs
(12.0)(3.1)
2,558.1 1,379.5 
Less:
Current portion of other long-term debt
 (2.3)
1.002% EIB Senior term loan due 2025
(259.5) 
Senior term loans due 2025
(65.3) 
Total long-term indebtedness
$2,233.3 $1,377.2 

    At December 31, 2024, the aggregate scheduled maturities of long-term debt, excluding the current portion of long-term debt, are as follows (in millions):

2026$54.4 
2027396.5 
2028652.9 
2029259.2 
Thereafter870.3 
$2,233.3 

    Cash payments for interest were approximately $125.5 million, $60.5 million and $45.1 million for the years ended December 31, 2024, 2023 and 2022, respectively.

Credit Facility and Term Loan Facility

    In December 2022, the Company, certain of its subsidiaries and Rabobank, and other named lenders entered into an amendment to its credit facility providing for a $1.25 billion multi-currency unsecured revolving credit facility (“Credit Facility”), which replaced the Company’s former $800.0 million multi-currency unsecured revolving credit facility. The amendment provided an additional $450.0 million in borrowing capacity. An initial borrowing under the credit facility was used to repay and retire a $240.0 million short-term multi-currency revolving credit facility with Rabobank that matured on March 31, 2023. The credit facility consists of a $325.0 million United States dollar tranche and a $925.0 million multi-currency tranche for loans denominated in United States Dollars, Euros or other currencies to be agreed upon. The credit facility matures on December 19, 2027. Interest accrues on amounts outstanding for any borrowings denominated in United States dollars, at the Company’s option, at either (1) the Secured Overnight Financing Rate (“SOFR”) plus 0.1% plus a margin ranging from 0.875% to 1.875% based on the Company’s credit rating, or (2) the base rate, which is the highest of (i) the Prime Rate, (ii) the Federal Funds Effective Rate plus 0.5%, and (iii) Term SOFR for a one-month tenor plus 1.0%, plus a margin ranging from 0.000% to
74

AGCO CORPORATION
NOTES TO CONSOLIDATED FINANCIAL STATEMENTS - (Continued)

0.875% based on the Company’s credit rating. Interest accrues on amounts outstanding for any borrowings denominated in Euros at the Euro Interbank Offered Rate (“EURIBOR”) plus a margin ranging from 0.875% to 1.875% based on the Company’s credit rating. As of December 31, 2024, the Company had no outstanding borrowings under the revolving credit facility and had the ability to borrow $1,249.9 million.

    In December 2023, the Company amended the Credit Facility to allow for incremental borrowings in the form of a delayed draw term loan facility in an aggregate principal amount of $250.0 million. In March 2024, the Company further amended the Credit Facility to increase this amount by $250.0 million, for an aggregate amount of $500.0 million (“Term Loan Facility”). The Company drew down the Term Loan Facility on March 28, 2024. Borrowings under the Term Loan Facility bear interest at the same rate and margin as the Credit Facility. The Term Loan Facility matures on December 19, 2027. On November 1, 2024, the Company repaid the $500.0 million outstanding under the Term Loan Facility utilizing proceeds from the sale of the majority of the Company’s G&P business. Refer to Note 3 for further information.

Uncommitted Credit Facility

    In June 2022, the Company entered into an uncommitted revolving credit facility that allows the Company to borrow up to €100.0 million (or approximately $103.8 million as of December 31, 2024). The credit facility expires on December 31, 2026. Any loans will bear interest at the EURIBOR plus a credit spread. As of December 31, 2024 and December 31, 2023, the Company had no outstanding borrowings under the revolving credit facility and had the ability to borrow €100.0 million (or approximately $103.8 million).

5.450% Senior Notes due 2027 and 5.800% Senior Notes due 2034

    On March 21, 2024, the Company issued (i) $400.0 million aggregate principal amount of 5.450% Senior Notes due 2027 (the “2027 Notes”) and (ii) $700.0 million aggregate principal amount of 5.800% Senior Notes due 2034 (the “2034 Notes”, and together with the 2027 Notes, the “Notes”). The Notes are unsecured and guaranteed on a senior unsecured basis by AGCO International Holdings B.V., AGCO International GmbH and Massey Ferguson Corp., direct and indirect subsidiaries of the Company (collectively, the “Guarantors”). The 2027 Notes mature on March 21, 2027, and interest is payable semi-annually, in arrears, at 5.450%. The 2034 Notes mature on March 21, 2034, and interest is payable semi-annually, in arrears, at 5.800%. The Notes contain covenants restricting among other things, the incurrence of certain secured indebtedness.

    Prior to February 21, 2027, in the case of the 2027 Notes, and December 21, 2033, in the case of the 2034 Notes, the Company may redeem the 2027 Notes and/or the 2034 Notes at its option, in whole or in part, at any time and from time to time, at the applicable “make-whole” redemption price (calculated as set forth in the Senior Note Indenture and First Supplemental Indenture and applicable series of the Notes). On or after February 21, 2027, in the case of the 2027 Notes, and December 21, 2033, in the case of the 2034 Notes, the Company may redeem the 2027 Notes or the 2034 Notes, as the case may be, in whole or in part, at any time and from time to time, at a redemption price equal to 100% of the principal amount of the Notes being redeemed plus accrued and unpaid interest thereon to, but not including, the redemption date.

0.800% Senior Notes Due 2028

    On October 6, 2021, the Company issued €600.0 million (or approximately $622.7 million as of December 31, 2024) of senior notes at an issue price of 99.993%. The notes mature on October 6, 2028, and interest is payable annually, in arrears, at 0.800%. The senior notes contain covenants restricting, among other things, the incurrence of certain secured indebtedness. The senior notes are subject to both optional and mandatory redemption in certain events.

1.002% European Investment Bank (“EIB”) Senior Term Loan Due 2025

    On January 25, 2019, the Company borrowed €250.0 million (or approximately $259.5 million as of December 31, 2024) from the EIB. The loan matures on January 24, 2025. The Company is permitted to prepay the term loan before its maturity date. Interest is payable on the term loan at 1.002% per annum, payable semi-annually in arrears. Subsequent to December 31, 2024, on January 24, 2025, the Company repaid €250.0 million (or approximately $262.3 million) upon maturity of the EIB Senior term loan due 2025.


75

AGCO CORPORATION
NOTES TO CONSOLIDATED FINANCIAL STATEMENTS - (Continued)

EIB Senior Term Loans due 2029 and 2030

    On September 29, 2023, the Company entered into a multi-currency Finance Contract with the EIB permitting the Company to borrow up to €250.0 million to fund up to 50% of certain investments in research, development and innovation primarily in Germany, France and Finland during the period from 2023 through 2026. On October 26, 2023, the Company borrowed €250.0 million (or approximately $259.5 million as of December 31, 2024) under the arrangement. The loan matures on October 26, 2029. The loan generally can be prepaid at any time upon the election of the Company and must be prepaid upon the occurrence of certain events. Interest is payable on the term loan at 3.980% per annum, payable semi-annually in arrears. The Company also has to fulfill financial covenants with respect to a net leverage ratio and an interest coverage ratio.

    On January 25, 2024, the Company entered into an additional multi-currency Finance Contract with the EIB permitting the Company to borrow up to €170.0 million, for which the proceeds will be used in a similar manner as described for the EIB Senior Term Loan due 2029 above. On February 15, 2024, the Company borrowed €170.0 million (or approximately $176.4 million as of December 31, 2024) under the arrangement. The loan matures on February 15, 2030. The loan generally can be prepaid at any time upon the election of the Company and must be prepaid upon the occurrence of certain events. Interest is payable on the term loan at 3.416% per annum, payable semi-annually in arrears. The Company also has to fulfill financial covenants with respect to a net leverage ratio and an interest coverage ratio.

Senior Term Loans Due Between 2025 and 2028

     In October 2016, the Company borrowed an aggregate amount of €375.0 million through a group of seven related term loan agreements, and in August 2018, the Company borrowed an additional aggregate amount of €338.0 million through a group of another seven related term loan agreements. Of the 2016 term loans, the Company repaid an aggregate amount of €322.5 million in October 2019, October 2021, April 2022 and October 2023. Of the 2018 senior loans, the Company repaid an aggregate amount of €244.0 million in August 2021, February 2022, and August 2023.

    In aggregate, as of December 31, 2024, the Company had indebtedness of €146.5 million (or approximately $152.0 million as of December 31, 2024) through a group of four remaining related term loan agreements. The provisions of the term loan agreements are substantially identical, with the exception of interest rate terms and maturities. As of December 31, 2024, for the term loans with a fixed interest rate, interest is payable in arrears on an annual basis, with interest rates ranging from 1.67% to 2.26% and maturity dates between August 2025 and August 2028. For the term loan with a floating interest rate, interest is payable in arrears on a semi-annual basis, with an interest rate based on the EURIBOR plus a margin of 1.10% and a maturity date of August 2025.

Bridge Facility

    On September 28, 2023, the Company entered into a bridge facility commitment letter with Morgan Stanley pursuant to which Morgan Stanley committed to provide a $2.0 billion senior unsecured 364-day bridge facility (the "Bridge Facility"). The availability under the Bridge Facility was reduced to zero by certain permanent financing transactions including the net proceeds from the issuance of the Notes, the Company's entry into the Term Loan Facility and by amounts based on the Company's cash flow, and the Company terminated the Bridge Facility on March 25, 2024.

Other Short-Term Borrowings

    As of December 31, 2024 and 2023, the Company had short-term borrowings due within one year, excluding the current portion of long-term debt, of approximately $90.4 million and $12.7 million, respectively.

Standby Letters of Credit and Similar Instruments

    The Company has arrangements with various banks to issue standby letters of credit or similar instruments, which guarantee the Company’s obligations for the purchase or sale of certain inventories and for potential claims exposure for insurance coverage. At December 31, 2024 and 2023, outstanding letters of credit totaled $13.2 million and $14.7 million, respectively.

76

AGCO CORPORATION
NOTES TO CONSOLIDATED FINANCIAL STATEMENTS - (Continued)

13.    RESTRUCTURING AND BUSINESS OPTIMIZATION EXPENSES AND ASSET IMPAIRMENT CHARGES

Restructuring Expenses

    On June 24, 2024, the Company announced a restructuring program (the “Program”) in response to increased weakening demand in the agriculture industry. The initial phase of the Program is focused on further reducing structural costs, streamlining the Company’s workforce and enhancing global efficiencies related to changing the Company’s operating model for certain corporate and back-office functions and better leveraging technology and global centers of excellence. The Company estimates that it will incur charges for one-time termination benefits of approximately $150.0 million to $200.0 million in connection with this phase of the Program, primarily consisting of cash charges related to severance payments, employees benefits and related costs. The Company incurred the majority of charges in 2024 and expects to incur the remaining charges in 2025.

    Additionally, in recent years, the Company announced and initiated several actions to rationalize employee headcount in various manufacturing facilities and administrative offices located in the U.S., Europe, South America, Africa and Asia, in order to reduce costs in response to fluctuating global market demand.

    Restructuring expenses activity, which relates to severance and other related costs, during the years ended December 31, 2024, 2023 and 2022 is summarized as follows (in millions):

Balance as of December 31, 2021$14.7 
2022 provision, net of reversals6.1 
2022 cash activity(12.8)
Foreign currency translation(1.2)
Balance as of December 31, 20226.8 
2023 provision, net of reversals11.9 
2023 cash activity(9.2)
Foreign currency translation(1.7)
Balance as of December 31, 20237.8 
2024 provision, net of reversals157.8 
2024 cash activity(27.2)
Foreign currency translation(2.2)
Balance as of December 31, 2024$136.2 

    Approximately $125.2 million and $6.4 million of restructuring expenses are included in “Accrued expenses” in the Company’s Consolidated Balance Sheets as of December 31, 2024 and 2023, respectively. Approximately $11.0 million and $1.4 million of restructuring expenses are included in “Other noncurrent liabilities” in the Company’s Consolidated Balance Sheets as of December 31, 2024 and 2023, respectively.

Business Optimization Expenses

    Business optimization expenses primarily relate to professional services costs incurred as part of the restructuring program aimed at reducing structural costs, enhancing global efficiencies by changing the Company’s operating model for certain corporate and back-office functions. During the year ended December 31, 2024, the Company recognized approximately $14.9 million of business optimization expenses.

77

AGCO CORPORATION
NOTES TO CONSOLIDATED FINANCIAL STATEMENTS - (Continued)

Asset Impairment Charges

    As a consequence of the conflict between Russia and Ukraine, during the three months ended March 31, 2022, the Company assessed the fair value of its gross assets related to the joint ventures operating in Russia for potential impairment and recorded asset impairment charges of approximately $36.0 million, reflected as “Impairment charges” in its Consolidated Statements of Operations, with an offsetting benefit of approximately $12.2 million included within “Net loss attributable to noncontrolling interests.” The Company sold its interest in its Russian distribution joint venture during the three months ended December 31, 2022. Foreign currency translation impacts since inception of the Russian joint venture previously recognized within “Accumulated other comprehensive loss” were therefore recorded within “Other expense, net” on the Company’s Consolidated Statements of Operations during the three months ended December 31, 2022. In addition, during the three months ended March 31, 2022, the Company recorded a write-down of its investment in its Russian finance joint venture of approximately $4.8 million, reflected within “Equity in net earnings of affiliates” in its Consolidated Statements of Operations. The Russian finance joint venture was sold during the three months ended December 31, 2022.

14.    DERIVATIVE INSTRUMENTS AND HEDGING ACTIVITIES

    The Company attempts to manage its transactional foreign exchange exposure by hedging foreign currency cash flow forecasts and commitments arising from the anticipated settlement of receivables and payables and from future purchases and sales. Where naturally offsetting currency positions do not occur, the Company hedges certain, but not all, of its exposures through the use of foreign currency contracts. The Company’s translation exposure resulting from translating the financial statements of foreign subsidiaries into United States dollars may be partially hedged from time to time. When practical, the translation impact is reduced by financing local operations with local borrowings.

    The Company uses floating rate and fixed rate debt to finance its operations. The floating rate debt obligations expose the Company to variability in interest payments due to changes in the EURIBOR, SOFR or other applicable benchmark interest rates. The Company believes it is prudent to limit the variability of a portion of its interest payments, and to meet that objective, the Company periodically enters into interest rate swaps to manage the interest rate risk associated with the Company’s borrowings. The Company designates interest rate contracts used to convert the interest rate exposure on a portion of the Company’s debt portfolio from a floating rate to a fixed rate as cash flow hedges, while those contracts converting the Company’s interest rate exposure from a fixed rate to a floating rate are designated as fair value hedges.

    To protect the value of the Company’s investment in foreign operations against adverse changes in foreign currency exchange rates, the Company from time to time, may hedge a portion of the Company’s net investment in the foreign subsidiaries by using a cross currency swap or foreign currency denominated debt. The component of the gains and losses on the Company’s net investment in the designated foreign operations driven by changes in foreign exchange rates are economically offset by movements in the fair value of the cross currency swap contracts or foreign currency denominated debt.

    The Company is exposed to commodity risk from steel and other raw material purchases where a portion of the contractual purchase price is linked to a variable rate based on publicly available market data. From time to time, the Company enters into cash flow hedges to mitigate its exposure to variability in commodity prices.

    The Company’s senior management establishes the Company’s foreign currency and interest rate risk management policies. These policies are reviewed periodically by the Finance Committee of the Company’s Board of Directors. The policies allow for the use of derivative instruments to hedge exposures to movements in foreign currency and interest rates. The Company’s policies prohibit the use of derivative instruments for speculative purposes.

    All derivatives are recognized on the Company’s Consolidated Balance Sheets at fair value. On the date the derivative contract is entered into, the Company designates the derivative as either (1) a cash flow hedge of a forecasted transaction, (2) a fair value hedge of a recognized liability, (3) a hedge of a net investment in a foreign operation, or (4) a non-designated derivative instrument.

    The Company categorizes its derivative assets and liabilities into one of three levels based on the assumptions used in valuing the asset or liability. Refer to Note 21 for a discussion of the fair value hierarchy as per the guidance in ASC 820, “Fair Value Measurements”. The Company’s valuation techniques are designed to maximize the use of observable inputs and minimize the use of unobservable inputs.

78

AGCO CORPORATION
NOTES TO CONSOLIDATED FINANCIAL STATEMENTS - (Continued)

Counterparty Risk

    The Company regularly monitors the counterparty risk and credit ratings of all the counterparties to the derivative instruments. The Company believes that its exposures are appropriately diversified across counterparties and that these counterparties are creditworthy financial institutions. There have been no negative impacts to the Company from any non-performance of any counterparties.

Derivative Transactions Designated as Hedging Instruments

Cash Flow Hedges

Foreign Currency Contracts

    The Company uses cash flow hedges to minimize the variability in cash flows of assets or liabilities or forecasted transactions caused by fluctuations in foreign currency exchange rates. The changes in the fair values of these cash flow hedges are recorded in accumulated other comprehensive loss and are subsequently reclassified into “Cost of goods sold” during the period the sales and purchases are recognized. These amounts offset the effect of the changes in foreign currency rates on the related sale and purchase transactions.

    The Company designates certain foreign currency contracts as cash flow hedges of expected future sales and purchases. The total notional value of derivatives that were designated as cash flow hedges was $356.7 million, $262.2 million and $364.8 million as of December 31, 2024, 2023 and 2022, respectively.

Steel Commodity Contracts

    The Company designates certain steel commodity contracts as cash flow hedges of expected future purchases of steel. The Company did not have any derivatives that were designated as cash flow hedges related to steel commodity contracts as of December 31, 2024. The total notional value of derivatives that were designated as cash flow hedges was approximately $2.5 million and $0.9 million as of December 31, 2023 and 2022, respectively.

Interest Rate Risk

    The Company entered into treasury rate locks in early March 2024 to fix the interest rate for the 2034 Notes issued on March 21, 2024. The derivative position settled on March 28, 2024 with a cash settlement that offset changes in the benchmark treasury rate between the execution of the treasury rate lock and the debt pricing date for the 2034 Notes. This treasury rate lock was designated as a cash flow hedge and the gain at termination of $8.2 million was recognized in accumulated other comprehensive loss. The amount recognized in accumulated other comprehensive loss is reclassified to interest expense as interest payments are made on the 2034 Notes through the maturity date.accumulated other comprehensive loss is reclassified to interest expense as interest payments are made on the 2034 Notes through the maturity date.

79

AGCO CORPORATION
NOTES TO CONSOLIDATED FINANCIAL STATEMENTS - (Continued)

    The following table summarizes the activity in accumulated other comprehensive loss related to the derivatives held by the Company during the years ended December 31, 2024, 2023 and 2022 (in millions):

Before-Tax
Amount
Income Tax Expense (Benefit)
After-Tax
Amount
Accumulated derivative net losses as of December 31, 2021$(0.5)$(0.1)$(0.4)
Net changes in fair value of derivatives
Foreign Currency Contracts:(15.0)(3.9)(11.1)
Commodity Contracts
(4.7)(1.2)(3.5)
Total
(19.7)(5.1)(14.6)
Net losses reclassified from accumulated other comprehensive loss into income
Foreign Currency Contracts:14.5 3.9 10.6 
Commodity Contracts
4.7 1.2 3.5 
Total
19.2 5.1 14.1 
Accumulated derivative net losses as of December 31, 2022$(1.0)$(0.1)$(0.9)
Net changes in fair value of derivatives
Foreign Currency Contracts:(11.8)(2.7)(9.1)
Commodity Contracts
0.3 0.1 0.2 
Total(11.5)(2.6)(8.9)
Net losses reclassified from accumulated other comprehensive loss into income
Foreign Currency Contracts:11.1 2.2 8.9 
Commodity Contracts
0.1  0.1 
Total11.2 2.2 9.0 
Accumulated derivative net losses as of December 31, 2023$(1.3)$(0.5)$(0.8)
Net changes in fair value of derivatives
Foreign currency contracts(1)
(1.2)1.2 (2.4)
Commodity contracts(2)
(0.3) (0.3)
Treasury Rate Locks
8.2 2.1 6.1 
Total6.7 3.3 3.4 
Net losses reclassified from accumulated other comprehensive loss into income
Foreign currency contracts(1)
6.7 0.3 6.4 
Commodity contracts(2)
0.3  0.3 
Treasury Rate Locks
(0.7)(0.3)(0.4)
Total6.3  6.3 
Accumulated derivative net gains as of December 31, 2024$11.7 $2.8 $8.9 
____________________________________
(1)     The outstanding contracts as of December 31, 2024 range in maturity through December 2025.
(2)     As of December 31, 2024, there were no outstanding contracts.

    As of December 31, 2024, approximately $2.0 million of realized derivative net losses, before taxes, remain in accumulated other comprehensive loss related to foreign currency contracts associated with inventory that had not yet been sold.
80

AGCO CORPORATION
NOTES TO CONSOLIDATED FINANCIAL STATEMENTS - (Continued)

Net Investment Hedges

    The Company uses non-derivative and derivative instruments, to hedge a portion of its net investment in foreign operations against adverse movements in exchange rates. For instruments that are designated as hedges of net investments in foreign operations, changes in the fair value of the derivative instruments are recorded in foreign currency translation adjustments, a component of accumulated other comprehensive loss, to offset changes in the value of the net investments being hedged. When the net investment in foreign operations is sold or substantially liquidates, the amounts recorded in accumulated other comprehensive loss are reclassified to earnings. To the extent foreign currency denominated debt is de-designated from a net investment hedge relationship, changes in the value of the foreign currency denominated debt are recorded in earnings through the maturity date.

    On January 29, 2021, the Company entered into a cross currency swap contract as a hedge of its net investment in foreign operations to offset foreign currency translation gains or losses on the net investment. The cross currency swap had an expiration date of January 29, 2028. At maturity of the cross currency swap contract, the Company was expected to deliver the notional amount of approximately €247.9 million (or approximately $257.3 million as of December 31, 2024) and receive $300.0 million from the counterparties. The Company receives quarterly interest payments from the counterparties based on a fixed interest rate until maturity of the cross currency swap. On November 4, 2024, the Company's existing cross currency swap contract was terminated and the Company delivered the notional amount of approximately $277.4 million and received $300.0 million from the counterparties, resulting in a gain of approximately $22.6 million that was recognized in accumulated other comprehensive loss.

    On November 4, 2024, the Company entered into new $600.0 million cross currency swap contracts comprising of $200.0 million tranche for three years tenor, $200 million tranche for five years tenor and $200.0 million tranche for seven years tenor. as a hedge of its net investment in foreign operations to offset foreign currency translation gains or losses on the net investment. The cross currency swap contracts have an expiration date of November 6, 2027, November 6, 2029 and November 6, 2031, respectively. At maturity of the cross currency swap contract, the Company is expected to deliver the notional amount of approximately €385.5 million (or approximately $400.1 million as of December 31, 2024) and 155.5 million Swiss francs (or approximately $171.9 million as of December 31, 2024), respectively, and receive $600.0 million from the counterparties. The Company receives quarterly interest payments from the counterparties based on a fixed interest rate until maturity of the cross currency swap.

    During 2023, the Company designated €150.0 million of its multi-currency revolving credit facility maturing in December 2027 as a hedge of its net investment in foreign operations to offset foreign currency translation gains or losses on the net investment. The Company recognized the change in fair value of the foreign currency denominated debt designated as a net investment hedge, a loss of $3.1 million, net of tax, in accumulated other comprehensive loss during the year ended December 31, 2023. This portion of the multi-currency revolving credit facility was repaid in December 2023.

    The following table summarizes the notional values of the instrument designated as a net investment hedge (in millions):

Notional Amount as of
December 31, 2024December 31, 2023
Cross currency swap contract$600.0 $300.0 

81

AGCO CORPORATION
NOTES TO CONSOLIDATED FINANCIAL STATEMENTS - (Continued)

    The following table summarizes the after-tax impact of changes in the fair value of the instruments designated as net investment hedges (in millions):

Gain (Loss) Recognized in Accumulated Other Comprehensive Loss for the Years Ended
Cross currency swap contracts:
Before-Tax Amount
Income Tax Expense (Benefit)
After-Tax Amount
December 31, 2024(4.1)(1.1)(3.0)
December 31, 2023(12.7)(3.3)(9.4)
December 31, 202220.5 5.3 15.2 

Derivative Transactions Not Designated as Hedging Instruments

    The Company enters into foreign currency contracts to economically hedge receivables and payables on the Company and its subsidiaries’ balance sheets that are denominated in foreign currencies other than the functional currency. These contracts were classified as non-designated derivative instruments. Gains and losses on such contracts are substantially offset by losses and gains on the remeasurement of the underlying asset or liability being hedged and are immediately recognized into earnings. As of December 31, 2024 and 2023, the Company had outstanding foreign currency contracts with a notional amount of approximately $3,231.2 million and $3,125.1 million, respectively.

    The following table summarizes the results on net income of derivatives not designated as hedging instruments (in millions):

Gain (Loss) Recognized in Net Income for the Years Ended
Classification of
Gain (Loss)
December 31, 2024December 31, 2023December 31, 2022
Foreign currency contractsOther expense, net$(49.3)$29.9 $(38.2)

    The table below sets forth the fair value of derivative instruments as of December 31, 2024 (in millions):

Asset Derivatives as of
December 31, 2024
Liability Derivatives as of
December 31, 2024
Balance Sheet
Location
Fair
Value
Balance Sheet
Location
Fair
Value
Derivative instruments designated as hedging instruments:
Foreign currency contractsOther current assets$3.7 Other current liabilities$1.6 
Commodity contractsOther current assets Other current liabilities 
Cross currency swap contracts
Other noncurrent assets16.2 Other noncurrent liabilities 
Derivative instruments not designated as hedging instruments:
Foreign currency contracts (1)
Other current assets26.1 Other current liabilities12.6 
Total derivative instruments$46.0 $14.2 
____________________________________
(1)    The outstanding contracts as of December 31, 2024 range in maturity through February 2025.

82

AGCO CORPORATION
NOTES TO CONSOLIDATED FINANCIAL STATEMENTS - (Continued)

    The table below sets forth the fair value of derivative instruments as of December 31, 2023 (in millions):

Asset Derivatives as of
December 31, 2023
Liability Derivatives as of
December 31, 2023
Balance Sheet
Location
Fair
Value
Balance Sheet
Location
Fair
Value
Derivative instruments designated as hedging instruments:
Foreign currency contractsOther current assets$1.3 Other current liabilities$1.2 
Cross currency swap contractOther noncurrent assets20.3 Other noncurrent liabilities 
Derivative instruments not designated as hedging instruments:
Foreign currency contractsOther current assets17.1 Other current liabilities12.8 
Total derivative instruments$38.7 $14.0 

15.    STOCK COMPENSATION PLANS

    The Company recorded stock compensation expense as follows for the years ended December 31, 2024, 2023 and 2022 (in millions):

Years Ended December 31,
2024(1)
20232022
Cost of goods sold$0.5 $1.8 $1.3 
Selling, general and administrative expenses17.9 44.6 32.7 
Total stock compensation expense$18.4 $46.4 $34.0 
_________________________________
(1)    Includes approximately $6.5 million of compensation expense related to PTx Trimble employees vesting in legacy Trimble awards.

    The Company recognizes the effect of award forfeitures as an adjustment to stock compensation expense in the period in which the forfeiture occurs.

Stock Incentive Plan

    Under the Company's 2006 Long-Term Incentive Plan (“the Plan”), up to 10,000,000 shares of AGCO’s common stock may be issued. As of December 31, 2024, of the 10,000,000 shares reserved for issuance under the Plan, approximately 3,441,051 shares remained available for grant, assuming the maximum number of shares are earned related to the performance award grants discussed below. The Plan allows the Company, under the direction of the Board of Directors’ Talent and Compensation Committee, to make grants of performance shares, stock appreciation rights (“SSARs”), restricted stock units and restricted stock awards to employees, officers and non-employee directors of the Company.

Long-Term Incentive Plan and Related Performance Awards

    The Company’s primary long-term incentive plan is a performance share plan that provides for awards of shares of the Company’s common stock based on achieving financial targets, such as targets for return on net assets and revenue growth, as determined by the Company’s Board of Directors. Performance periods for the Company’s primary long-term incentive plan are consecutive and overlapping three-year cycles, and performance targets are set at the beginning of each cycle. The primary long-term incentive plan provides for participants to earn 16.5% to 200% of the target awards depending on the actual performance achieved, with no shares earned if performance is below the established minimum target. Awards earned under the Plan are paid in shares of common stock at the end of each three-year performance period. The percentage level achievement is determined annually or over the three-year cycle in aggregate, with the ultimate award that is earned determined based upon the average of the three annual percentages. The 2024 grant of performance award shares is subject to a total shareholder return modifier. The compensation expense associated with these awards is amortized ratably over the vesting or performance period based on the Company’s projected assessment of the level of performance that will be achieved and earned.

83

AGCO CORPORATION
NOTES TO CONSOLIDATED FINANCIAL STATEMENTS - (Continued)

    During 2024, the Company granted performance awards covering up to 344,592 shares, assuming the Company achieves maximum levels of performance related to varying performance periods. Compensation expense recorded during 2024, 2023 and 2022 with respect to awards granted was based upon the fair value as of the grant date. The award included a market condition and the Company measured the fair value using a Monte Carlo simulation. The weighted average grant-date fair value of performance awards granted under the Plan during 2024, 2023 and 2022 was as follows:

Years Ended December 31,
202420232022
Weighted average grant-date fair value$126.95 $143.63 $119.35 

    Performance award transactions during 2024 were as follows and are presented as if the Company were to achieve its maximum levels of performance under the plan:

Performance awardsWeighted-Average Grant Date
Fair Value
Shares awarded but not earned at January 1571,382 $131.14 
Shares awarded344,592 126.95 
Shares forfeited(82,714)132.03 
Shares vested or earned(263,110)118.60 
Shares awarded but not earned at December 31570,150 $134.26 

    Based on the level of performance achieved as of December 31, 2024, 167,875 shares were earned under the related performance period, including 1,997 shares vested as of December 31, 2023 related to certain retirees and other individuals. 105,053 shares were issued in February 2025, net of 62,822 shares that were withheld for taxes related to the earned awards. The Plan allows for the participant to have the option of forfeiting a portion of the shares awarded in lieu of a cash payment contributed to the participant’s tax withholding to satisfy the participant’s statutory minimum federal, state and employment taxes which would be payable at the time of grant.

    As of December 31, 2024, the total compensation cost related to unearned performance awards not yet recognized, assuming the Company’s current projected assessment of the level of performance that will be achieved, was approximately $8.3 million, and the weighted average period over which it is expected to be recognized is approximately one and one-half years. This estimate is based on the current projected levels of performance of outstanding awards. The compensation cost not yet recognized could be higher or lower based on actual achieved levels of performance.

Restricted Stock Units (“RSUs”)

    RSU awards granted under the Plan do not entitle recipients to vote or receive dividends during the vesting period and will be forfeited in the event of the recipient’s termination of employment, except for certain circumstances. The fair value of restricted stock and restricted stock units is the closing market price per share of the Company’s stock on the grant date less the present value of the expected dividends not received during the vesting period.

    The weighted average grant-date fair value of the RSUs granted under the Plan during 2024, 2023 and 2022 was as follows:

Years Ended December 31,
202420232022
Weighted average grant-date fair value$114.07 $134.63 $109.09 

84

AGCO CORPORATION
NOTES TO CONSOLIDATED FINANCIAL STATEMENTS - (Continued)

    During the year ended December 31, 2024, the Company granted 200,560 RSU awards. These awards entitle the participant to receive one share of the Company’s common stock for each RSU granted and vest one-third per year over a three-year requisite service period. The compensation expense associated with all RSU awards is being amortized ratably over the requisite service period for the awards that are expected to vest. RSU transactions during the year ended December 31, 2024 were as follows:

RSUsWeighted-Average
Grant Date
Fair Value
Shares awarded but not vested at January 1213,947 $122.48 
Shares awarded
200,560 114.07 
Shares forfeited(37,305)116.87 
Shares vested(108,000)119.25 
Shares awarded but not vested at December 31269,202 $118.29 

    During January 2025, 56,009 RSUs shares were issued, net of 34,605 shares that were withheld for taxes. The Plan allows for the participant to have the option of forfeiting a portion of the shares awarded in lieu of a cash payment contributed to the participant’s tax withholding to satisfy the participant’s statutory minimum federal, state and employment taxes which would be payable at the time of grant. As of December 31, 2024, the total compensation cost related to the unvested RSUs not yet recognized was approximately $19.6 million, and the weighted average period over which it is expected to be recognized is approximately one and one-half years.

2025 Awards

    On January 29, 2025, the Company granted 215,621 performance award shares (subject to the Company achieving future target levels of performance) and 148,578 RSUs under the Plan. The 2025 grant of performance award shares is subject to a total shareholder return modifier.

Director Restricted Stock Grants

    Pursuant to the Plan, all non-employee directors receive annual restricted stock grants of the Company’s common stock. All restricted stock grants made to the Company’s directors are restricted as to transferability for a period of one year. In the event a director departs from the Company’s Board of Directors, the non-transferability period expires immediately. The plan allows each director to have the option of forfeiting a portion of the shares awarded in lieu of a cash payment contributed to the participant’s tax withholding to satisfy the statutory minimum federal, state and employment taxes that would be payable at the time of grant. The 2024 grant was made on April 25, 2024, and equated to 14,148 shares of common stock, of which 12,842 shares of common stock were issued, after shares were withheld for taxes. The Company recorded stock compensation expense of approximately $1.7 million during 2024 associated with these grants.

16.    STOCKHOLDERS' EQUITY

Common Stock

    At December 31, 2024, the Company had 150,000,000 authorized shares of common stock with a par value of $0.01 per share, with approximately 74,420,952 shares of common stock outstanding and approximately 3,441,051 shares reserved for issuance under the Company’s Plan (See Note 15).

Share Repurchase Program

    In November 2024, the Company entered into an accelerated share repurchase ("ASR") agreement with a financial institution to repurchase $22.0 million of shares of its common stock. The Company received approximately 228,969 shares associated with the completion of this transaction as of December 31, 2024. In November 2023, the Company entered into an ASR agreement with a financial institution to repurchase $53.0 million of shares of its common stock. The Company received approximately 371,669 shares associated with this transaction as of December 31, 2023. In January 2024, the Company
85

AGCO CORPORATION
NOTES TO CONSOLIDATED FINANCIAL STATEMENTS - (Continued)

received an additional 82,883 shares upon final settlement of its November 2023 ASR agreement. In August and November 2021, the Company entered into two ASR agreements with financial institutions to repurchase an aggregate of $135.0 million of shares of its common stock. The Company received approximately 952,204 shares associated with these transactions as of December 31, 2021. In January 2022, the Company received an additional 113,824 shares upon final settlement of its November 2021 ASR agreement. All shares received under the ASR agreements were retired upon receipt, and the excess of the purchase price over par value per share was recorded to a combination of “Additional paid-in capital” and “Retained earnings” within our Consolidated Balance Sheets.

    As of December 31, 2024, the remaining amount authorized to be repurchased under board-approved share repurchase authorizations was approximately $35.0 million, which has no expiration date.

Dividends

    The Company’s Board of Directors has declared and the Company has paid cash dividends per common share during the following years:
2024(1)
2023(2)
2022(3)
Dividends declared and paid per common share
$3.66 $6.10 $5.40 

    On January 16, 2025, the Company's Board of Directors declared a regular quarterly dividend of $0.29 per common share to be paid on March 14, 2025, to all stockholders of record as of the close of business February 14, 2025.
____________________________________
(1)    The Company’s Board of Directors declared and the Company has paid quarterly cash dividends of $0.29 per common share during each quarter of 2024. In addition, the Company's Board of Directors declared and the Company paid a special variable dividend of $2.50 per common share during 2024 totaling approximately $186.6 million.
(2)    On April 27, 2023, the Company’s Board of Directors approved a quarterly dividend of $0.29 per common share outstanding commencing in the second quarter of 2023. The Company’s Board of Directors declared and the Company has paid quarterly cash dividends of $0.29 per common share beginning in the second quarter of 2023, from $0.24 per common share in the first quarter of 2023. In addition, the Company's Board of Directors declared and the Company paid a special variable dividend of $5.00 per common share during 2023 totaling approximately $374.4 million.
(3)    On April 28, 2022, the Company’s Board of Directors approved a quarterly dividend of $0.24 per common share outstanding commencing in the second quarter of 2022. The Company’s Board of Directors declared and the Company has paid quarterly cash dividends of $0.24 per common share beginning in the second quarter of 2022, from $0.20 per common share in the first quarter of 2022. In addition, the Company's Board of Directors declared and the Company paid a special variable dividend of $4.50 per common share during 2022 totaling approximately $335.7 million.

86

AGCO CORPORATION
NOTES TO CONSOLIDATED FINANCIAL STATEMENTS - (Continued)

Accumulated Other Comprehensive Loss

    The following table sets forth changes in accumulated other comprehensive loss by component, net of tax, attributed to AGCO Corporation for the years ended December 31, 2024, 2023 and 2022 (in millions):

Defined Pension and Postretirement Benefit Plans
Cumulative Translation Adjustment
Deferred Gains and Losses on Derivatives
Total
Accumulated other comprehensive loss, December 31, 2021
$(230.4)$(1,540.1)$(0.4)$(1,770.9)
Other comprehensive loss before reclassifications
(7.2)(30.9)(14.6)(52.7)
Net losses reclassified from accumulated other comprehensive loss6.4  14.1 20.5 
Other comprehensive loss
(0.8)(30.9)(0.5)(32.2)
Accumulated other comprehensive loss, December 31, 2022
$(231.2)$(1,571)$(0.9)$(1,803.1)
Other comprehensive income (loss) before reclassifications
(15.7)102.3 (8.9)77.7 
Net losses reclassified from accumulated other comprehensive loss8.3  9.0 17.3 
Other comprehensive income (loss)
(7.4)102.3 0.1 95.0 
Accumulated other comprehensive loss, December 31, 2023$(238.6)$(1,468.7)$(0.8)$(1,708.1)
Other comprehensive income (loss) before reclassifications(3.1)(224.3)3.4 (224.0)
Net losses reclassified from accumulated other comprehensive loss22.9  6.3 29.2 
Other comprehensive income (loss)
19.8 (224.3)9.7 (194.8)
Accumulated other comprehensive loss, December 31, 2024
$(218.8)$(1,693.0)$8.9 $(1,902.9)


87

AGCO CORPORATION
NOTES TO CONSOLIDATED FINANCIAL STATEMENTS - (Continued)

    The following table sets forth reclassification adjustments out of accumulated other comprehensive loss by component attributed to AGCO Corporation for the years ended December 31, 2024, 2023 and 2022 (in millions):

Details about Accumulated Other Comprehensive Loss ComponentsAmount Reclassified from Accumulated Other Comprehensive LossAffected Line Item within the Consolidated
Statements of Operations
Year ended December 31, 2024(1)
Year ended December 31, 2023(1)
Year ended December 31, 2022(1)
Derivatives:
Net losses on foreign currency contracts
$6.7 $11.1 $14.5 Cost of goods sold
Net losses on commodity contracts
0.3 0.1 4.7 Cost of goods sold
Net gains on treasury rate locks
(0.7)  Interest expense, net
Reclassification before tax6.3 11.2 19.2 
Income tax benefit
 (2.2)(5.1)Income tax provision
Reclassification net of tax$6.3 $9.0 $14.1 
Defined pension and postretirement benefit plans:
Amortization of net actuarial losses$10.5 $9.4 $8.7 
Other expense, net(2)
Amortization of prior service cost1.5 1.7 0.2 
Other expense, net(2)
Net loss recognized due to settlement
18.8   
Other expense, net(2)
Reclassification before tax30.8 11.1 8.9 
Income tax benefit
(7.9)(2.8)(2.5)Income tax provision
Reclassification net of tax$22.9 $8.3 $6.4 
Net losses reclassified from accumulated other comprehensive loss$29.2 $17.3 $20.5 
____________________________________
(1)    Losses (Gains) included within the Consolidated Statements of Operations for the years ended December 31, 2024 and 2023, respectively.
(2)    These accumulated other comprehensive loss components are included in the computation of net periodic pension and postretirement benefit cost. Refer to Note 20 of the Company’s Consolidated Financial Statements.

17.    NET INCOME (LOSS) PER COMMON SHARE

    Basic net income (loss) per common share is computed by dividing net income (loss) by the weighted average number of common shares outstanding during each period. Diluted net income (loss) per common share assumes the exercise of outstanding stock-settled stock appreciation rights ("SSARs") and the vesting of restricted stock units ("RSUs") using the treasury stock method when there is no other circumstance other than the passage of time under which they would not be issued, and the effects of such assumptions are dilutive.

88

AGCO CORPORATION
NOTES TO CONSOLIDATED FINANCIAL STATEMENTS - (Continued)

    A reconciliation of net income (loss) attributable to AGCO Corporation and weighted average common shares outstanding for purposes of calculating basic and diluted net income (loss) per share for the years ended December 31, 2024, 2023 and 2022 is as follows (in millions, except per share data):

2024(1)
20232022
Basic net income (loss) per share:
Net income (loss) attributable to AGCO Corporation
$(424.8)$1,171.4 $889.6 
Weighted average number of common shares outstanding74.6 74.8 74.6 
Basic net income (loss) per share attributable to AGCO Corporation
$(5.69)$15.66 $11.92 
Diluted net income (loss) per share:
Net income (loss) attributable to AGCO Corporation
$(424.8)$1,171.4 $889.6 
Weighted average number of common shares outstanding74.6 74.8 74.6 
Dilutive SSARs and RSUs
0.1 0.1 0.3 
Weighted average number of common shares and common share equivalents outstanding for purposes of computing diluted net income (loss) per share
74.7 74.9 74.9 
Diluted net income (loss) per share attributable to AGCO Corporation
$(5.69)$15.63 $11.87 
____________________________________
(1)    As the Company has reported a loss for 2024, all potentially dilutive securities are antidilutive, and accordingly, basic net loss per share equals diluted net loss per share.

18.    RELATED PARTY TRANSACTIONS

    Rabobank, a financial institution based in the Netherlands, is a 51% owner in the Company’s finance joint ventures, which are located in the United States, Canada, Europe, Brazil, Argentina and Australia. Rabobank is also the principal agent and participant in the Company’s revolving credit facility (see Note 12). The majority of the assets of the Company’s finance joint ventures represents finance receivables. The majority of the liabilities represents notes payable and accrued interest. Under the various joint venture agreements, Rabobank or its affiliates provide financing to the joint venture companies, primarily through lines of credit. During 2024 and 2023, respectively, the Company made a total of approximately $12.0 million and $24.6 million of additional investments in its finance joint venture in Brazil. During 2022, the Company did not make additional investments in its finance joint ventures. During 2024, 2023, and 2022, the Company received approximately $13.7 million, $28.9 million and $27.0 million, respectively, of dividends from certain of its finance joint ventures.

    The Company’s finance joint ventures provide retail financing and wholesale financing to its dealers. The terms of the financing arrangements offered to the Company’s dealers are similar to arrangements the finance joint ventures provide to unaffiliated third parties. In addition, the Company transfers, on an ongoing basis, a majority of its wholesale receivables in North America, Europe and Brazil to its U.S., Canadian, European and Brazilian finance joint ventures (see Note 5). The Company has outstanding guarantees of residual values that may be owed to its finance joint ventures in the U.S. and Canada upon the expiration of certain eligible operating leases and also has guarantees with its other finance joint ventures (see Note 22). In addition, as part of sales incentives provided to end users, the Company may from time to time subsidize interest rates of retail financing provided by its finance joint ventures. The cost of those programs is recognized at the time of sale to the Company’s dealers (see Note 1).

    The Company has a minority equity interest in Tractors and Farm Equipment Limited (“TAFE”), which manufactures and sells Massey Ferguson-branded equipment primarily in India, and also supplies tractors and components to the Company for sale in other markets. Mallika Srinivasan, who is the Chairman and Managing Director of TAFE, is currently a member of the Company’s Board of Directors. As of December 31, 2024, TAFE beneficially owned 12,150,152 shares of the Company’s common stock, not including shares of the Company’s common stock received by Ms. Srinivasan for service as a director. The Company and TAFE are parties to an agreement pursuant to which, among other things, TAFE has agreed not to purchase in excess of 12,150,152 shares of the Company’s common stock, subject to certain adjustments, and the Company has agreed to annually nominate a TAFE representative to its Board of Directors. During 2024, 2023 and 2022, the Company purchased approximately $165.9 million, $171.6 million and $148.7 million, respectively, of tractors and components from TAFE. During 2024, 2023 and 2022, the Company sold approximately $5.0 million, $3.6 million and $1.2 million, respectively, of parts to TAFE. In April 2024, the Company terminated all of its commercial relationships with TAFE and does not expect to incur
89

AGCO CORPORATION
NOTES TO CONSOLIDATED FINANCIAL STATEMENTS - (Continued)

material purchases. The Company received dividends from TAFE of approximately $3.3 million, $2.9 million and $2.1 million during 2024, 2023 and 2022, respectively.

19.    INCOME TAXES

    The sources of income (loss) before income taxes and equity in net earnings of affiliates were as follows for the years ended December 31, 2024, 2023 and 2022 (in millions):

202420232022
United States$(1,314.3)$(63.5)$(60.2)
Foreign880.7 1,397.0 1,167.4 
Income (loss) before income taxes and equity in net earnings of affiliates
$(433.6)$1,333.5 $1,107.2 

    The provision (benefit) for income taxes by location of the taxing jurisdiction for the years ended December 31, 2024, 2023 and 2022 consisted of the following (in millions):

202420232022
Current:
United States$(2.3)$61.2 $26.0 
Foreign203.3 433.6 328.6 
201.0 494.8 354.6 
Deferred:
United States(126.6)(82.8)(55.3)
Foreign24.0 (181.6)(2.7)
(102.6)(264.4)(58.0)
$98.4 $230.4 $296.6 

    The Company's income tax provision as of December 31, 2023 includes a benefit of $112.3 million related to the recognition of a deferred tax asset of $197.7 million, net of a valuation allowance of $85.4 million, related to the finalization of negotiations surrounding the application of Swiss Tax reform legislation enacted in 2020. The provision also includes a charge of approximately $26.4 million associated with our enrollment in a Brazilian tax amnesty program, “Litigation Zero”, discussed further below.

    A reconciliation of income taxes computed at the United States federal statutory income tax rate (21% for 2024, 2023 and 2022) to the provision for income taxes reflected in the Company’s Consolidated Statements of Operations for the years ended December 31, 2024, 2023 and 2022 is as follows (in millions):

202420232022
Provision for income taxes at United States federal statutory rate
$(91.1)$280.0 $232.5 
Impairment charges
108.1   
State and local income taxes, net of federal income tax effects
(19.8)(3.0)(2.9)
Taxes on foreign income which differ from the United States statutory rate(1)
23.7 (193.9)43.6 
Foreign inclusion, net of foreign tax credits
42.8 13.5 4.4 
Tax effect of permanent differences13.6 (34.0)(4.6)
Change in valuation allowance(1)
13.1 116.5 0.7 
Change in tax contingency reserves30.1 33.2 25.5 
Research and development tax credits(6.4)(9.6)(6.9)
Brazil Amnesty Program, net of United States foreign tax credit
 26.4  
Other, net(2)
(15.7)1.3 4.3 
$98.4 $230.4 $296.6 


90

AGCO CORPORATION
NOTES TO CONSOLIDATED FINANCIAL STATEMENTS - (Continued)

____________________________________
(1)    In 2023, a gross deferred tax asset of $197.7 million less a valuation allowance of $85.4 million was recognized to reflect future Swiss tax incentives the Company anticipates it will be able to utilize by 2034 when the incentive expires.
(2)    In recent decisions, the Brazilian courts have confirmed a favorable tax ruling regarding the taxability of certain state value added tax incentive benefits, which allowed the Company to record a $29.6 million reduction in the provision for income taxes during the year ended December 31, 2024. Further, in 2024, “Other, net” also includes a provision of approximately $12.7 million related to a noncontrolling interest.

    The significant components of the deferred tax assets and liabilities at December 31, 2024 and 2023 were as follows (in millions):

20242023
Deferred Tax Assets:
Net operating loss carryforwards$30.3 $42.1 
Sales incentive discounts117.8 102.5 
Inventory valuation reserves48.8 50.0 
Pension and postretirement health care benefits
15.4 17.9 
Warranty and other reserves122.0 162.8 
Research and development tax credits0.3 5.1 
Foreign tax credits36.0 33.4 
Swiss tax basis adjustment
182.8 197.7 
Investment in affiliates67.5  
Other30.6 22.7 
Total gross deferred tax assets651.5 634.2 
Valuation allowance(147.2)(149.8)
Total deferred tax assets504.3 484.4 
Deferred Tax Liabilities:
Tax over book depreciation and amortization62.3 102.5 
Investment in affiliates 3.9 
Other6.0 19.0 
Total deferred tax liabilities68.3 125.4 
Net deferred tax assets$436.0 $359.0 
Amounts recognized in Consolidated Balance Sheets:
Deferred tax assets - noncurrent$561.0 $481.6 
Deferred tax liabilities - noncurrent(125.0)(122.6)
$436.0 $359.0 

    As reflected in the preceding table, the Company recorded a net deferred tax asset of $436.0 million and $359.0 million as of December 31, 2024 and 2023, respectively, and had a valuation allowance against its gross deferred tax assets of approximately $147.2 million and $149.8 million as of December 31, 2024 and 2023, respectively.

    The Company maintains a valuation allowance to reserve a portion of its net deferred tax assets in the United States and certain foreign jurisdictions. A valuation allowance is established when it is more likely than not that some portion or all of the deferred tax assets may not be realized. The Company assessed the likelihood that its deferred tax assets would be recovered from estimated future taxable income and the current economic climate, as well as available tax planning strategies, and determined that all adjustments to the valuation allowance were appropriate. The Company believes it is more likely than not that it will realize its remaining net deferred tax assets, net of the valuation allowance, in future years.
91

AGCO CORPORATION
NOTES TO CONSOLIDATED FINANCIAL STATEMENTS - (Continued)

    Changes in the valuation allowance during the years ended December 31, 2024, 2023 and 2022 are summarized as follows (in millions):

Additions
DescriptionBalance at
Beginning
of Period
Acquired
Businesses
Charged (Credited) to
Costs and
Expenses(1)
Deductions(2)
Foreign
Currency
Translation
Balance at
End of Period
Year ended December 31, 2024      
Deferred tax valuation allowance$149.8 $ $13.1 $(8.7)$(7.0)$147.2 
Year ended December 31, 2023      
Deferred tax valuation allowance$47.3 $ $116.5 $(16.7)$2.7 $149.8 
Year ended December 31, 2022      
Deferred tax valuation allowance$47.4 $ $0.7 $ $(0.8)$47.3 
____________________________________
(1)     The amounts recorded to expense in 2024 are primarily related to China and the amounts recorded to expense in 2023 are primarily related to Switzerland and the U.S. There were no amounts credited or charged through other comprehensive income during 2024, 2023 and 2022.
(2)      The deductions in 2024 are primarily related to reversal of valuation allowance from the divestiture of the majority of the Company's G&P business. The deductions in 2023 are primarily related to reversal of valuation allowance from the effective utilization of certain tax losses in the Brazil amnesty program.

    The Company had net operating loss carryforwards of $93.9 million as of December 31, 2024, with expiration dates as follows: 2025 - $0.7 million; 2026 - $0.3 million; 2027 - $4.0 million; 2028 and thereafter - $42.3 million and unlimited - $46.6 million. The net operating loss carryforwards of $93.9 million are entirely in tax jurisdictions outside of the United States. The amount of the Company’s U.S. state net operating loss carryforwards is not material.

    The Company paid income taxes of $344.0 million, $463.6 million and $304.0 million for the years ended December 31, 2024, 2023 and 2022, respectively.

    The Company recognizes income tax benefits from uncertain tax positions only when there is a more than 50% likelihood that the tax positions will be sustained upon examination by the taxing authorities based on the technical merits of the positions. At December 31, 2024 and 2023, the Company had approximately $9.3 million and $9.9 million, respectively, of accrued or deferred taxes related to uncertain income tax positions connected with ongoing income tax audits in various jurisdictions that it expects to settle or pay in the next 12 months, reflected in “Other current liabilities” in the Company’s Consolidated Balance Sheets. At December 31, 2024 and 2023, the Company had approximately $378.4 million and $344.2 million, respectively, of accrued taxes reflected in “Other noncurrent liabilities” in the Company’s Consolidated Balance Sheets. The Company accrued approximately $3.6 million and $0.3 million of interest and penalties related to unrecognized tax benefits in its provision for income taxes during 2024 and 2023, respectively. At December 31, 2024 and 2023, the Company had accrued interest and penalties related to unrecognized tax benefits of $30.9 million and $27.9 million, respectively.

    A reconciliation of the beginning and ending balances of the total amounts of gross unrecognized tax benefits as of and during the years ended December 31, 2024 and 2023 is as follows (in millions):

20242023
Gross unrecognized income tax benefits at the beginning of the year$351.2 $281.7 
Additions for tax positions of the current year55.8 67.9 
Additions for tax positions of prior years7.4 5.5 
Reductions for tax positions of prior years for:
Changes in judgments(0.5)2.8 
Settlements during the year (15.4)
Lapses of applicable statute of limitations(2.4)(2.0)
Foreign currency translation and other(24.1)10.7 
Gross unrecognized income tax benefits at the end of the year$387.4 $351.2 

92

AGCO CORPORATION
NOTES TO CONSOLIDATED FINANCIAL STATEMENTS - (Continued)

    At December 31, 2024 and 2023, the Company had $387.4 million and $351.2 million, respectively, of unrecognized income tax benefits, which would affect the Company’s effective tax rate if recognized. The reconciliation of gross unrecognized income tax benefits above for 2024 and 2023 excludes certain indirect favorable effects that relate to other tax jurisdictions of approximately $126.4 million and $103.9 million, respectively. The change in certain indirect favorable effects between 2024 and 2023 includes approximately $30.2 million and $26.7 million, respectively, related to additions and reductions for tax positions of current and prior years, changes in judgments and lapses of statutes of limitations. During 2022, the Company made the determination that it will be able to utilize approximately $15.7 million of indirect favorable benefits in the United States related to the settlement of a foreign audit examination. In addition, the gross unrecognized income tax benefits as of December 31, 2024 and 2023 exclude certain deposits made in a foreign jurisdiction of approximately $25.2 million, net of $18.5 million refunds received, and $26.9 million, net of $19.7 million refunds received, respectively, associated with an ongoing audit.

    The Company and its subsidiaries file income tax returns in the United States and in various state, local and foreign jurisdictions. The Company and its subsidiaries are routinely examined by tax authorities in these jurisdictions. As of December 31, 2024, a number of income tax examinations in foreign jurisdictions, as well as the United States, were ongoing. It is possible that certain of these ongoing examinations may be resolved within 12 months. Due to the potential for resolution of federal, state and foreign examinations, and the expiration of various statutes of limitation, it is reasonably possible that the Company’s gross unrecognized income tax benefits balance may materially change within the next 12 months. In certain foreign jurisdictions, there are either statutory expirations or the Company’s settlement expectations such that approximately $9.3 million could be concluded within the next 12 months. Although there are ongoing examinations in various federal and state jurisdictions, the 2019 through 2024 tax years generally remain subject to examination in the United States by applicable authorities. In the Company’s significant foreign jurisdictions, primarily the United Kingdom, France, Germany, Switzerland, Finland and Brazil, the 2019 through 2024 tax years generally remain subject to examination by their respective tax authorities.

    In 2008 and 2012, as part of routine audits, the Brazilian taxing authorities disallowed deductions relating to the amortization of certain goodwill recognized in connection with a reorganization of the Company’s Brazilian operations and the related transfer of certain assets to the Company’s Brazilian subsidiaries. The amount of the tax disallowance through December 31, 2023 would have been approximately 131.5 million Brazilian reais (or approximately $27.1 million) and subject to significant interest and penalties. In the first quarter of 2023, the Brazilian government issued a “Litigation Zero” tax amnesty program, whereby cases being disputed at the administrative court level of review for a period of more than ten years could be considered for amnesty. Enrollment in the amnesty program was not considered an admission of guilt and allowed for outstanding contested cases to be settled at a significant monetary discount. The Company contested the disallowance and had been historically advised by its legal and tax advisors that its position was allowable under the tax laws of Brazil. After weighing various impacts involved with enrollment, including the avoidance of potential interest, penalties and legal costs, the Company enrolled in the program in the quarter ended March 31, 2023. The Company recorded approximately 182.6 million Brazilian reais (or approximately $34.8 million) within “Income tax provision” net of associated U.S. income tax credits of approximately $8.4 million and completed its installment payments related to its enrollment in the program during the year ended December 31, 2023.

20.    PENSION AND POSTRETIREMENT BENEFIT PLANS

    The Company sponsors defined benefit pension plans covering certain employees, principally in the United Kingdom, Germany, Switzerland, Finland, France, Norway and Argentina. The Company also provides certain postretirement health care and life insurance benefits for certain employees, principally in the United States and Brazil.

    The Company merged its U.S. qualified defined benefit pension plans for hourly and salaried employees into one plan (the "Plan") on December 31, 2023 and finalized the termination of the Plan in 2024. In connection with the termination process, the Company offered a lump sum benefit payout option to Plan participants, and the remaining assets of the Plan were used to purchase a group annuity contract that transferred the remaining plan liabilities to an insurance carrier. The termination process was finalized by December 31, 2024 and the settlement resulted in the recognition of approximately $18.5 million within “Other expense, net” within the Company's Consolidated Statements of Operations representing the amounts previously recognized in accumulated other comprehensive loss. As of December 31, 2024, there were no remaining balances on the balance sheet related to the Plan.

    The Company also maintains an Executive Nonqualified Pension Plan (“ENPP”) in the U.S. that provides certain senior executives with retirement income for a period of 15 years or up to a lifetime annuity, if certain requirements are met. Benefits under the ENPP vest if the participant has attained age 50 and has at least ten years of service (including five years
93

AGCO CORPORATION
NOTES TO CONSOLIDATED FINANCIAL STATEMENTS - (Continued)

as a participant in the ENPP), but are not payable until the participant reaches age 65. The lifetime annuity benefit generally is available only to vested participants who retire on or after reaching age 65 and was eliminated during 2021 for participants reaching age 65 subsequent to December 31, 2022. The ENPP is an unfunded, nonqualified defined benefit pension plan. The ENPP is frozen as of December 31, 2024 against future benefit accruals.

    Net annual pension costs for the years ended December 31, 2024, 2023 and 2022 for the Company’s defined benefit pension plans and ENPP are set forth below (in millions):

Pension benefits202420232022
Service cost$8.2 $9.6 $12.8 
Interest cost27.8 29.3 14.8 
Expected return on plan assets(30.8)(30.4)(16.9)
Amortization of net actuarial losses1.4 9.4 8.7 
Amortization of prior service cost10.5 1.5 0.1 
Net (gain) loss recognized due to settlement18.8 0.4 (0.4)
Curtailment (gain) loss
(0.2)  
Net annual pension cost$35.7 $19.8 $19.1 

    The components of net periodic pension and postretirement benefits cost, other than the service cost component, are included in “Other expense, net” in the Company’s Consolidated Statements of Operations.

    The weighted average assumptions used to determine the net annual pension costs for the Company’s defined benefit pension plans and ENPP for the years ended December 31, 2024, 2023 and 2022 are as follows:

202420232022
All plans:
Weighted average discount rate4.5 %4.9 %1.9 %
Weighted average expected long-term rate of return on plan assets5.5 %5.5 %2.3 %
Rate of increase in future compensation
1.7%-5.0%
1.8%-5.0%
1.5%-5.0%
U.S.-based plans:
Weighted average discount rate5.3 %5.7 %3.1 %
Weighted average expected long-term rate of return on plan assets(1)
5.8 %5.8 %4.3 %
Rate of increase in future compensation(2)
5.0 %5.0 %5.0 %
___________________________________
(1)    Applicable for U.S. funded, qualified plan.
(2)    Applicable for U.S. unfunded, nonqualified plan.

    Net annual postretirement benefit costs, and the weighted average discount rate used to determine them, for the years ended December 31, 2024, 2023 and 2022 are set forth below (in millions, except percentages):

Postretirement benefits202420232022
Service cost$ $0.1 $0.1 
Interest cost1.5 1.3 0.9 
Amortization of prior service cost0.1 0.2 0.1 
Net annual postretirement benefit cost$1.6 $1.6 $1.1 
Weighted average discount rate6.7 %6.6 %4.1 %

94

AGCO CORPORATION
NOTES TO CONSOLIDATED FINANCIAL STATEMENTS - (Continued)

    The following tables set forth reconciliations of the changes in benefit obligation, plan assets and funded status as of December 31, 2024 and 2023 (in millions):

Pension and ENPP BenefitsPostretirement Benefits
Change in benefit obligation2024202320242023
Benefit obligation at beginning of year$647.0 $611.6 $23.0 $21.2 
Service cost8.2 9.6  0.1 
Interest cost27.8 29.3 1.5 1.3 
Plan participants’ contributions1.3 1.3   
Actuarial losses (gains)(42.3)21.6 (3.1)1.7 
Amendments(0.3)0.1 1.6  
Settlements(34.0)(4.9)  
Benefits paid(44.4)(46.1)(1.9)(1.8)
Foreign currency exchange rate changes(12.2)24.5 (1.4)0.5 
Curtailment
(1.0)   
Benefit obligation at end of year$550.1 $647.0 $19.7 $23.0 
Pension and ENPP BenefitsPostretirement Benefits
Change in plan assets2024202320242023
Fair value of plan assets at beginning of year$572.0 $528.7 $ $ 
Actual return on plan assets(18.2)31.2   
Employer contributions26.9 35.1 1.8 1.8 
Plan participants’ contributions1.3 1.3   
Benefits paid(44.4)(46.1)(1.9)(1.8)
Settlements(33.9)(4.9)  
Foreign currency exchange rate changes(9.7)26.7 0.1  
Fair value of plan assets at end of year$494.0 $572.0 $ $ 
Funded status$(56.0)$(75.0)$(19.7)$(23.0)

Amounts recognized in Consolidated
Balance Sheets:
Other assets (noncurrent)
$92.9 $85.0 $ $ 
Other current liabilities(7.5)(7.4)(1.6)(1.6)
Accrued expenses(3.7)(4.1)  
Pension and postretirement health care benefits (noncurrent)
(137.7)(148.5)(18.1)(21.4)
Net amount recognized$(56.0)$(75.0)$(19.7)$(23.0)

95

AGCO CORPORATION
NOTES TO CONSOLIDATED FINANCIAL STATEMENTS - (Continued)

    The following table summarizes the activity in accumulated other comprehensive loss related to the Company’s ENPP and defined pension and postretirement benefit plans during the years ended December 31, 2024, 2023 and 2022 (in millions):

Before-Tax
Amount
Income
Tax Expense
(Benefit)
After-Tax
Amount
Accumulated other comprehensive loss as of December 31, 2021
$(302.4)$(72.0)$(230.4)
Prior service cost arising during the year
(25.5)(6.4)(19.1)
Net gain recognized due to settlement
(0.4) (0.4)
Net actuarial gain arising during the year
15.0 2.7 12.3 
Amortization of prior service cost0.2 0.2  
Amortization of net actuarial losses8.7 2.3 6.4 
Accumulated other comprehensive loss as of December 31, 2022
$(304.4)$(73.2)$(231.2)
Net loss recognized due to settlement
0.4  0.4 
Net actuarial loss arising during the year
(21.5)(5.4)(16.1)
Amortization of prior service cost 1.7 0.4 1.3 
Amortization of net actuarial losses9.4 2.4 7.0 
Accumulated other comprehensive loss as of December 31, 2023
$(314.4)$(75.8)$(238.6)
Prior service cost arising during the year
(1.4)(0.5)(0.9)
Net loss recognized due to settlement
18.8 4.8 14.0 
Net actuarial loss arising during the year
(2.7)(0.5)(2.2)
Amortization of prior service cost 1.5 0.4 1.1 
Amortization of net actuarial losses 10.5 2.7 7.8 
Accumulated other comprehensive loss as of December 31, 2024
$(287.7)$(68.9)$(218.8)

    The unrecognized net actuarial losses included in accumulated other comprehensive loss related to the Company’s defined benefit pension plans and ENPP as of December 31, 2024 and 2023 are set forth below (in millions):

20242023
Unrecognized net actuarial losses$256.7 $280.2 

    The decrease in unrecognized net actuarial losses between years is primarily due to the termination of the U.S. qualified defined benefits plan, as well as the total net impact of the changes in the assumptions, specifically the increase in the discount rate. The unrecognized net actuarial losses will be impacted in future periods by actual asset returns, discount rate changes, currency exchange rate fluctuations, actual demographic experience and certain other factors. For some of the Company’s defined benefit pension plans, these losses, to the extent they exceed 10% of the greater of the plan’s liabilities or the fair value of assets (“the gain/loss corridor”), will be amortized on a straight-line basis over the periods discussed as follows. For the Company’s U.K. defined benefit pension plan, the population covered is predominantly inactive participants, and losses related to those plans, to the extent they exceed the gain/loss corridor, will be amortized over the average remaining lives of those participants while covered by the respective plan. For the Company’s ENPP, the population is predominantly active participants, and losses related to the plan will be amortized over the average future working lifetime of the active participants expected to receive benefits. As of December 31, 2024, the average amortization periods were as follows:

ENPPU.K. Plan
Average amortization period of losses related to defined benefit pension plans6 years16 years


96

AGCO CORPORATION
NOTES TO CONSOLIDATED FINANCIAL STATEMENTS - (Continued)

    The following table summarizes the unrecognized prior service cost related to the Company’s defined benefit pension plans as of December 31, 2024 and 2023 (in millions):

20242023
Unrecognized prior service cost$29.8 $31.4 

    The decrease in the unrecognized prior service cost between years is due primarily to the amortization of unrecognized prior service cost related to prior plan amendments.

    The following table summarizes the unrecognized net actuarial gains included in the Company’s accumulated other comprehensive loss related to the Company’s U.S. and Brazilian postretirement health care benefit plans as of December 31, 2024 and 2023 (in millions):

20242023
Unrecognized net actuarial gains(1)
$(3.3)$(0.2)
___________________________________
(1)      Includes a gain of approximately $1.3 million and $1.2 million, respectively, related to the Company’s U.S. postretirement benefit plans.

    The change in unrecognized net actuarial gains related to the Company’s U.S. and Brazilian postretirement benefit plans is primarily resulting from the gain in relation to the change in the projected benefit obligation as a result of the favorable impact of the underlying assumptions as of December 31, 2024. The unrecognized net actuarial gains or losses will be impacted in future periods by discount rate changes, actual demographic experience, actual health care inflation and certain other factors. These gains or losses, to the extent they exceed the gain/loss corridor, will be amortized on a straight-line basis over the average remaining service period of active employees expected to receive benefits, or the average remaining lives of inactive participants, covered under the postretirement benefit plans. As of December 31, 2024, the gains or losses did not exceed the corridor for the Company’s U.S. postretirement benefit plan and therefore, there will be no amortization of unrecognized gains or losses during 2025.

    As of December 31, 2024 and 2023, the net prior service cost related to the Company’s Brazilian postretirement health care benefit plans was as follows (in millions):

20242023
Net prior service cost$4.5 $3.0 

    The following table summarizes the fair value of plan assets, aggregate projected benefit obligation and accumulated benefit obligation as of December 31, 2024 and 2023 for defined benefit pension plans, ENPP and other postretirement plans with accumulated benefit obligations in excess of plan assets (in millions):

20242023
All plans:
Fair value of plan assets$30.7 $37.3 
Projected benefit obligation199.3 220.2 
Accumulated benefit obligation189.8 209.3 
U.S.-based plans and ENPP:
Fair value of plan assets$ $ 
Projected benefit obligation102.5 104.9 
Accumulated benefit obligation102.5 104.1 

    The amounts for 2024 and 2023 disclosed above do not include the fair value of plan assets, the projected benefit obligation or the accumulated benefit obligation related to the Company’s U.K. plan. The Company’s U.K. plan’s fair value of plan assets was in excess of the plan’s accumulated benefit obligation as of December 31, 2024 and 2023.

97

AGCO CORPORATION
NOTES TO CONSOLIDATED FINANCIAL STATEMENTS - (Continued)

    The Company’s defined benefit pension obligation has been reflected in the manner in which its defined benefit plans are being administered or expected to be administered in the future. The obligation and resulting liability or asset is calculated employing both actuarial and legal assumptions. These assumptions include, but are not limited to, future inflation, the return on pension assets, discount rates, life expectancy and potential salary increases. There are also assumptions related to the manner in which individual benefit plan benefits are calculated, some of which are legal in nature and include, but are not limited to, member eligibility, years of service, and the uniformity of both guaranteed minimum pension benefits and member normal retirement ages for men and women. Some of these assumptions also are subject to the outcome of certain legal cases, which are currently unknown. In the event that any of these assumptions or the administration approach are proven to be different from the Company’s current interpretations and approach, there could be material increases or decreases in the Company’s defined benefit pension obligation and related amounts such as prior service cost and actuarial gains and losses, as well as the related amount and timing of future contributions to be paid by the Company.

    The weighted average assumptions used to determine the benefit obligation for the Company’s defined benefit pension plans and ENPP as of December 31, 2024 and 2023 are as follows:

20242023
All plans:
Weighted average discount rate5.1 %4.5 %
Rate of increase in future compensation
1.5%-5.0%
1.7%-5.0%
U.S.-based plans:
Weighted average discount rate5.8 %5.3 %
Rate of increase in future compensation(1)
5.0 %5.0 %
____________________________________
(1)    Applicable for U.S. unfunded, nonqualified plan.

    The weighted average discount rate used to determine the benefit obligation for the Company’s postretirement benefit plans for the years ended December 31, 2024 and 2023 was 7.2% and 6.7%, respectively.

    For the years ended December 31, 2024, 2023 and 2022, the Company used a globally consistent methodology to set the discount rate in the countries where its largest benefit obligations exist. In the United States, the United Kingdom and the Euro Zone, the Company constructed a hypothetical bond portfolio of high-quality corporate bonds and then applied the cash flows of the Company’s benefit plans to those bond yields to derive a discount rate. The bond portfolio and plan-specific cash flows vary by country, but the methodology in which the portfolio is constructed is consistent.

    For measuring the expected U.S. postretirement benefit obligation at December 31, 2024, the Company assumed a 7.5% health care cost trend rate for 2025 decreasing to 5.0% by 2035. For measuring the expected U.S. postretirement benefit obligation at December 31, 2023, the Company assumed a 7.8% health care cost trend rate for 2024 decreasing to 5.0% by 2035. For measuring the Brazilian postretirement benefit plan obligation at December 31, 2024, the Company assumed a 10.2% health care cost trend rate for 2025, decreasing to 4.5% by 2035. For measuring the Brazilian postretirement benefit plan obligation at December 31, 2023, the Company assumed a 10.2% health care cost trend rate for 2024, decreasing to 4.5% by 2034.

    The Company currently estimates its minimum contributions and benefit payments to its U.S.-based unfunded ENPP for 2025 will aggregate to approximately $5.6 million. The Company currently estimates its minimum contributions for underfunded plans and benefit payments for unfunded plans for 2025 to its non-U.S.-based defined benefit pension plans will aggregate to approximately $8.9 million, of which approximately $0.2 million relates to its U.K. pension plan. The Company currently estimates its benefit payments for 2025 to its U.S.-based postretirement health care and life insurance benefit plans will aggregate to approximately $1.6 million and its benefit payments for 2025 to its Brazilian postretirement health care benefit plans will aggregate to less than $0.1 million.


98

AGCO CORPORATION
NOTES TO CONSOLIDATED FINANCIAL STATEMENTS - (Continued)

    During 2024, approximately $78.3 million of benefit payments were made related to the Company’s defined benefit pension plans and ENPP. At December 31, 2024, the aggregate expected benefit payments for the Company’s defined benefit pension plans and ENPP are as follows (in millions):

2025$42.2 
202643.3 
202744.4 
202842.4 
202943.6 
2030 through 2034240.2 
$456.1 

    During 2024, approximately $1.9 million of benefit payments were made related to the Company’s U.S. and Brazilian postretirement benefit plans. At December 31, 2024, the aggregate expected benefit payments for the Company’s U.S. and Brazilian postretirement benefit plans are as follows (in millions):

2025$1.7 
20261.7 
20271.8 
20281.8 
20291.8 
2030 through 20348.7 
$17.5 

Investment Strategy and Concentration of Risk

    The weighted average asset allocation of the Company’s U.S. pension benefit plans as of December 31, 2024 and 2023 are as follows:

Asset Category
2024(1)
2023
Equity securities % %
Fixed income securities %89 %
Other investments %11 %
Total %100 %
______________________________________
(1)    The U.S. defined qualified pension plan was terminated and fully settled as of December 31, 2024. As such, there are no related pension plan assets.

The weighted average asset allocation of the Company’s U.K. pension benefit plans as of December 31, 2024 and 2023 are as follows:

Asset Category20242023
Equity securities5 %11 %
Fixed income securities91 %82 %
Other investments4 %7 %
Total100 %100 %

99

AGCO CORPORATION
NOTES TO CONSOLIDATED FINANCIAL STATEMENTS - (Continued)

    The Company categorizes its pension plan assets into one of three levels based on the assumptions used in valuing the asset. See Note 21 for a discussion of the fair value hierarchy as per the guidance in ASC 820, “Fair Value measurements” (“ASC 820”). The Company’s valuation techniques are designed to maximize the use of observable inputs and minimize the use of unobservable inputs. The Company uses the following valuation methodologies to measure the fair value of its pension plan assets:

Equity Securities: Equity securities are valued on the basis of the closing price per unit on each business day as reported on the applicable exchange. Equity funds are valued using the net asset value of the fund, which is based on the fair value of the underlying securities.
Fixed Income: Fixed income securities are valued using the closing prices in the active market in which the fixed income investment trades. Fixed income funds are valued using the net asset value of the fund, which is based on the fair value of the underlying securities.
Cash: These investments primarily consist of short-term investment funds which are valued using the net asset value.
Alternative Investments: These investments are reported at fair value as determined by the general partner of the alternative investment. The “market approach” valuation technique is used to value investments in these funds. The funds typically are open-end funds as they generally offer subscription and redemption options to investors. The frequency of such subscriptions or redemptions is dictated by each fund’s governing documents. The amount of liquidity provided to investors in a particular fund generally is consistent with the liquidity and risk associated with the underlying portfolio (i.e., the more liquid the investments in the portfolio, the greater the liquidity provided to investors). Liquidity of individual funds varies based on various factors and may include “gates,” “holdbacks” and “side pockets” imposed by the manager of the fund, as well as redemption fees that may also apply. Investments in these funds typically are valued utilizing the net asset valuations provided by their underlying investment managers, general partners or administrators. The funds consider subscription and redemption rights, including any restrictions on the disposition of the interest, in its determination of the fair value.
Insurance Contracts: Insurance contracts are valued using current prevailing interest rates.

    The fair value of the Company’s pension assets as of December 31, 2024 is as follows (in millions):

TotalLevel 1Level 2Level 3
Equity securities:
Global equities$21.3 $ $21.3 $ 
Total equity securities21.3  21.3  
Fixed income:
Aggregate fixed income420.5 420.5   
Total fixed income share(1)
420.5 420.5   
Alternative investments:
Private equity fund   
Hedge funds measured at net asset value(4)
10.0 — — — 
Total alternative investments(2)
10.0    
Miscellaneous funds(3)
32.2   32.2 
Cash and equivalents measured at net asset value(4)
10.0 — — — 
Total assets$494.0 $420.5 $21.3 $32.2 
______________________________________
(1)    68% of “fixed income” securities are in government treasuries; 22% are in foreign securities; 7% are in asset or mortgage backed securities; 2% are in investment-grade corporate bonds and 1% are in high-yield securities.
(2)    49% of “alternative investments” are in relative value funds; 30% are in long-short equity funds; 14% are in event-driven funds and 7% are in credit funds.
(3)    “Miscellaneous funds” is comprised of insurance contracts in Finland, Norway and Switzerland.
(4)    Certain investments that are measured at fair value using the net asset value per share (or its equivalent) practical expedient have not been categorized in the fair value hierarchy.


100

AGCO CORPORATION
NOTES TO CONSOLIDATED FINANCIAL STATEMENTS - (Continued)

    The following is a reconciliation of Level 3 assets as of December 31, 2024 (in millions):

TotalAlternative InvestmentsMiscellaneous Funds
Beginning balance as of December 31, 2023$41.0 $2.2 $38.8 
Actual return on plan assets:
(a) Relating to assets still held at reporting date(0.6) (0.6)
Purchases, sales and /or settlements(5.9)(2.2)(3.7)
Foreign currency exchange rate changes(2.3) (2.3)
Ending balance as of December 31, 2024$32.2 $ $32.2 

    The fair value of the Company’s pension assets as of December 31, 2023 is as follows (in millions):

TotalLevel 1Level 2Level 3
Equity securities:
Global equities$55.8 $ $55.8 $ 
Total equity securities55.8  55.8  
Fixed income:
Aggregate fixed income437.1 437.1   
Total fixed income share(1)
437.1 437.1   
Alternative investments:
Private equity fund2.2   2.2 
Hedge funds measured at net asset value(4)
33.2 — — — 
Total alternative investments(2)
35.4   2.2 
Miscellaneous funds(3)
38.8   38.8 
Cash and equivalents measured at net asset value(4)
4.9 — — — 
Total assets$572.0 $437.1 $55.8 $41.0 
______________________________________
(1)    67% of “fixed income” securities are in government treasuries; 27% are in foreign securities; 4% are in investment-grade corporate bonds; 2% are in high-yield securities.
(2)    53% of “alternative investments” are in relative value funds; 24% are in long-short equity funds; 8% are in event-driven funds; 9% are in credit funds; and 6% are distributed in hedged and non-hedged funds.
(3)    “Miscellaneous funds” is comprised of insurance contracts in Finland, Norway and Switzerland.
(4)    Certain investments that are measured at fair value using the net asset value per share (or its equivalent) practical expedient have not been categorized in the fair value hierarchy.

    The following is a reconciliation of Level 3 assets as of December 31, 2023 (in millions):

TotalAlternative InvestmentsMiscellaneous Funds
Beginning balance as of December 31, 2022$40.2 $2.4 $37.8 
Actual return on plan assets:
(a) Relating to assets still held at reporting date2.6 (0.2)2.8 
Purchases, sales and /or settlements(3.0) (3.0)
Foreign currency exchange rate changes1.2  1.2 
Ending balance as of December 31, 2023$41.0 $2.2 $38.8 

    The Company’s global pension fund strategy is to diversify investments across broad categories of equity and fixed income securities with appropriate use of alternative investment categories to minimize risk and volatility. The primary investment objective of the Company’s pension plans is to secure participant retirement benefits. As such, the key objective in the pension plans’ financial management is to promote stability and, to the extent appropriate, growth in funded status.
101

AGCO CORPORATION
NOTES TO CONSOLIDATED FINANCIAL STATEMENTS - (Continued)


    The investment strategy for the plans’ portfolio of assets balances the requirement to generate returns with the need to control risk. The asset mix is recognized as the primary mechanism to influence the reward and risk structure of the pension fund investments in an effort to accomplish the plans’ funding objectives. The overall investment strategies and target allocations of retirement fund investments for the Company’s non-U.S. based pension plans are as follows:

Non-U.S. Pension Plans(1)
Overall investment strategies:(2)
Assets for the near-term benefit payments10.0 %
Assets for longer-term growth90.0 %
Total100.0 %
Target allocations:
Equity securities5.0 %
Fixed income securities95.0 %
Total100.0 %
_______________________________________
(1)    The majority of the Company’s non-U.S. pension fund investments are related to the Company’s pension plan in the United Kingdom.
(2)    The overall non-U.S. pension funds invest in a broad diversification of asset types.

    The Company has noted that over very long periods, this mix of investments would achieve an average return on its non-U.S. based pension plans of approximately 6.00%. In arriving at the choice of an expected return assumption of 5.50% for its U.K.-based plans for the year ending December 31, 2025, the Company has tempered this historical indicator with lower expectations for returns and changes to investments in the future as well as the administrative costs of the plans.

    Equity securities primarily include investments in large-cap and small-cap companies located across the globe. Fixed income securities include corporate bonds of companies from diversified industries, mortgage-backed securities, agency mortgages, asset-backed securities and government securities. Alternative and other assets include investments in hedge fund of funds that follow diversified investment strategies. To date, the Company has not invested pension funds in its own stock and has no intention of doing so in the future.

    Within each asset class, careful consideration is given to balancing the portfolio among industry sectors, geographies, interest rate sensitivity, dependence on economic growth, currency and other factors affecting investment returns. The assets are managed by professional investment firms, who are bound by precise mandates and are measured against specific benchmarks. Among asset managers, consideration is given, among others, to balancing security concentration, issuer concentration, investment style and reliance on particular active investment strategies.

    The Company participates in a small number of multiemployer plans in the Netherlands and Sweden. The Company has assessed and determined that none of the multiemployer plans which it participates in are individually, or in the aggregate, significant to the Company’s Consolidated Financial Statements. The Company does not expect to incur a withdrawal liability or expect to significantly increase its contributions over the remainder of the multiemployer plans’ contract periods.

    The Company maintains separate defined contribution plans covering certain employees and executives, primarily in the United States, the United Kingdom and Brazil. Under the plans, the Company contributes a specified percentage of each eligible employee’s compensation. The Company contributed approximately $23.1 million, $21.1 million and $17.9 million for the years ended December 31, 2024, 2023 and 2022, respectively.

102

AGCO CORPORATION
NOTES TO CONSOLIDATED FINANCIAL STATEMENTS - (Continued)

21.    FAIR VALUE OF FINANCIAL INSTRUMENTS

    The Company categorizes its assets and liabilities into one of three levels based on the assumptions used in valuing the asset or liability. Estimates of fair value for financial assets and liabilities are based on a fair value hierarchy that prioritizes the inputs to valuation techniques used to measure fair value. Observable inputs (highest level) reflect market data obtained from independent sources, while unobservable inputs (lowest level) reflect internally developed market assumptions. In accordance with this guidance, fair value measurements are classified under the following hierarchy:

Level 1 - Quoted prices in active markets for identical assets or liabilities.
Level 2 - Quoted prices for similar assets or liabilities in active markets; quoted prices for identical or similar assets or liabilities in markets that are not active; and model-derived valuations in which all significant inputs are observable or can be corroborated by observable market data for substantially the full term of the assets or liabilities.
Level 3 - Model-derived valuations in which one or more significant inputs are unobservable.

    The Company categorizes its pension plan assets into one of the three levels of the fair value hierarchy, except for those measured using the net asset value per share (or its equivalent) practical expedient. Refer to Note 20 for a discussion of the valuation methods used to measure the fair value of the Company’s pension plan assets.

    The Company enters into foreign currency, commodity and interest rate swap contracts. The fair values of the Company’s derivative instruments are determined using discounted cash flow valuation models. The significant inputs used in these models are readily available in public markets, or can be derived from observable market transactions, and therefore have been classified as Level 2. Inputs used in these discounted cash flow valuation models for derivative instruments include the applicable exchange rates, forward rates or interest rates. Such models used for option contracts also use implied volatility. Refer to Note 14 for a discussion of the Company’s derivative instruments and hedging activities.

    Assets and liabilities measured at fair value on a recurring basis as of December 31, 2024 and 2023 are summarized below (in millions):

As of December 31, 2024
Level 1Level 2Level 3Total
Derivative assets$ $46.0 $ $46.0 
Derivative liabilities 14.2  14.2 

As of December 31, 2023
Level 1Level 2Level 3Total
Derivative assets$ $38.7 $ $38.7 
Derivative liabilities 14.0  14.0 

    The carrying amounts of long-term debt under the Company’s 1.002% EIB Senior term loan due 2025, EIB Senior term loans due 2029 and 2030 and Senior term loans due between 2025 and 2028 approximate fair value based on the borrowing rates currently available to the Company for loans with similar terms and average maturities. At December 31, 2024, the estimated fair value of the Company’s 0.800% Senior notes due 2028, based on listed market values, was approximately €545.6 million (or approximately $566.2 million), compared to the carrying value of €600.0 million (or approximately $622.7 million). At December 31, 2024, the estimated fair value of the Company's 5.450% Senior notes due 2027, based on listed market values, was approximately $403.9 million compared to the carrying value of $400.0 million. At December 31, 2024, the estimated fair value of the Company's 5.800% Senior notes due 2034, based on listed market values, was approximately $704.7 million, compared to the carrying value of $700.0 million. Refer to Note 12 for additional information on the Company’s long-term debt.
103

AGCO CORPORATION
NOTES TO CONSOLIDATED FINANCIAL STATEMENTS - (Continued)

22.    COMMITMENTS AND CONTINGENCIES

    The future payments required under the Company’s significant commitments, excluding indebtedness, as of December 31, 2024 are as follows (in millions):

    Interest payments on indebtedness – The Company expects to make interest payments of approximately $118.0 million during the year ending December 31, 2025 related to indebtedness outstanding as of December 31, 2024. Indebtedness amounts reflect the principal amount of the Company’s EIB senior term loans, senior notes, senior term loans, credit facility and certain short-term borrowings, gross of any debt issuance costs. The projected amount of interest payments includes assumptions regarding the future fluctuations in interest rates, as well as borrowings under the Company’s revolving credit facility and other variable debt instruments. The amounts provided relate only to existing debt obligations and do not assume the refinancing or replacement of such debt. Refer to Note 12 of the Consolidated Financial Statements for additional information regarding indebtedness.

    Unconditional purchase obligations – As of December 31, 2024, the Company had approximately $114.5 million of outstanding purchase obligations payable during the year ending December 31, 2025. The Company's unconditional purchase obligations are primarily payable within 12 months.

    Other short-term and long-term obligations – As of December 31, 2024, the Company has approximately $9.3 million of income tax liabilities related to uncertain income tax provisions connected with ongoing income tax audits in various jurisdictions that it expects to pay or settle within the next 12 months. These liabilities and related income tax audits are subject to statutory expiration. Additionally, we currently expect that we will contribute $2.5 million to our non-U.S. defined benefit pension and postretirement plans due during the year ending December 31, 2025. The timing and amounts of future contributions are dependent upon the funding status of the plans, which is expected to vary as a result of changes in interest rates, returns on underlying assets, and other factors. Refer to Notes 19 and 20 of the Consolidated Financial Statements for additional information regarding the Company’s uncertain tax positions and pension and postretirement benefit plans, respectively. These obligations comprise a majority of the Company’s other short-term and long-term obligations.

Off-Balance Sheet Arrangements

Guarantees

    At December 31, 2024, the Company had outstanding guarantees issued to its Argentine finance joint venture, AGCO Capital Argentina S.A. (“AGCO Capital”) of approximately $64.0 million. Such guarantees generally obligate the Company to repay outstanding finance obligations owed to AGCO Capital if end users default on such loans to the extent that, due to non-credit risk, the end users are not able, or not required, to pay their loans, or are required to pay in a different currency than the one agreed in their loan. The Company also has obligations to guarantee indebtedness owed to certain of its finance joint ventures if dealers or end users default on loans. Losses under such guarantees historically have been insignificant. The Company believes the credit risk associated with these guarantees is not material.

    In addition, at December 31, 2024, the Company accrued approximately $12.7 million of outstanding guarantees of residual values that may be owed to its finance joint ventures in the United States and Canada upon expiration of certain eligible operating leases between the finance joint ventures and end users. The maximum potential amount of future payments under the guarantees is approximately $203.2 million.

Other

    The Company sells a majority of its wholesale receivables in North America, Europe and Brazil to its U.S., Canadian, European and Brazilian finance joint ventures. The Company also sells certain accounts receivable under factoring arrangements to financial institutions around the world. The Company accounts for the sale of such receivables as off-balance sheet transactions. Refer to Note 5 for discussion of the Company’s accounts receivable sales agreements.

Contingencies

    During 2017, the Company purchased Precision Planting, which provides precision agricultural technology solutions. In 2018, Deere & Company (“Deere”) filed separate complaints in the U.S. District Court of Delaware against the Company and Precision Planting alleging that certain products of those entities infringed certain patents of Deere. The two complaints
104

AGCO CORPORATION
NOTES TO CONSOLIDATED FINANCIAL STATEMENTS - (Continued)

subsequently were consolidated into a single case, Case No. 1:18-cv-00827-CFC. In July 2022, the case was tried before a jury, which determined that the Company and Precision Planting had not infringed the Deere patents. Following customary post-trial procedures, the Court entered a judgement in the Company’s favor, and Deere appealed the judgment to the U.S. Court of Appeals for the Federal Circuit. On January 24, 2025, the Court ruled in favor of the Company and Precision Planting. The case remains subject to the right of Deere to file for a writ of certiorari from the U.S. Supreme Court. The Company has an indemnity right under the purchase agreement related to the acquisition of Precision Planting from its previous owner. Pursuant to that right, the previous owner of Precision Planting currently is responsible for the litigation costs associated with the complaint and is obligated to reimburse AGCO for some or all of the damages in the event of an adverse outcome in the litigation.

    The Company is a party to various other legal claims and actions incidental to its business. The Company believes that none of these claims or actions, either individually or in the aggregate, is material to its business or financial statements as a whole, including its results of operations and financial condition.
105

AGCO CORPORATION
NOTES TO CONSOLIDATED FINANCIAL STATEMENTS - (Continued)

23.    LEASES

    Total lease assets and liabilities at December 31, 2024 and 2023 were as follows (in millions):

Lease AssetsClassificationAs of December 31, 2024
As of December 31, 2023
Operating ROU assetsRight-of-use lease assets$168.9 $176.2 
Finance lease assets
Property, plant and equipment, net(1)
6.1 6.5 
Total lease assets$175.0 $182.7 
Lease LiabilitiesClassificationAs of December 31, 2024As of December 31, 2023
Current:
OperatingAccrued expenses$45.0 $45.4 
FinanceOther current liabilities0.5 0.5 
Noncurrent:
OperatingOperating lease liabilities127.5 134.4 
FinanceOther noncurrent liabilities5.1 5.4 
Total lease liabilities$178.1 $185.7 
____________________________________
(1)    Finance lease assets are recorded net of accumulated depreciation of $2.8 million and $3.1 million as of December 31, 2024 and 2023, respectively.

    Total lease costs for 2024 and 2023 are set forth below (in millions):

Classification
Year Ended
December 31, 2024
Year Ended
December 31, 2023
Operating lease costSelling, general and administrative expenses$59.6 $57.2 
Variable lease costSelling, general and administrative expenses4.8 2.3 
Short-term lease costSelling, general and administrative expenses23.4 24.1 
Finance lease cost:
Amortization of lease assets
Depreciation expense(1)
0.5 0.7 
Interest on lease liabilitiesInterest expense, net0.2 0.2 
Total lease cost$88.5 $84.5 
____________________________________
(1)    Depreciation expense was included in both “Cost of goods sold” and “Selling, general and administrative expenses” within the Company's Consolidated Statements of Operations.













106

AGCO CORPORATION
NOTES TO CONSOLIDATED FINANCIAL STATEMENTS - (Continued)



    Lease payment amounts for operating and finance leases with remaining terms greater than one year as of December 31, 2024 were as follows (in millions):

December 31, 2024
Operating Leases(1)
Finance Leases
2025$53.3 $0.7 
202643.9 0.5 
202729.7 0.4 
202822.6 0.3 
202915.2 0.2 
Thereafter42.2 5.5 
Total lease payments206.9 7.6 
Less: imputed interest(2)
(34.4)(2.0)
Present value of lease liabilities$172.5 $5.6 
____________________________________
(1)    Operating lease payments include options to extend or terminate at the Company's sole discretion, which are included in the determination of lease term when they are reasonably certain to be exercised.
(2)    Calculated using the implicit interest rate for each lease or the Company’s incremental borrowing rate, when implicit rate is not available.

    Lease payment amounts for operating and finance leases with remaining terms greater than one year as of December 31, 2023 were as follows (in millions):
December 31, 2023
Operating Leases(1)
Finance Leases
2024$52.8 $0.7 
202543.0 0.6 
202632.6 0.4 
202719.7 0.3 
202814.7 0.1 
Thereafter46.5 5.8 
Total lease payments209.3 7.9 
Less: imputed interest(2)
(29.5)(2.0)
Present value of lease liabilities$179.8 $5.9 
____________________________________
(1)    Operating lease payments include options to extend or terminate at the Company's sole discretion, which are included in the determination of lease term when they are reasonably certain to be exercised.
(2)    Calculated using the implicit interest rate for each lease or the Company’s incremental borrowing rate, when implicit rate is not available.

107

AGCO CORPORATION
NOTES TO CONSOLIDATED FINANCIAL STATEMENTS - (Continued)

    The following table summarizes the weighted-average remaining lease term and weighted-average discount rate:

As of December 31, 2024
As of December 31, 2023
Weighted-average remaining lease term:
Operating leases6 years6 years
Finance leases16 years17 years
Weighted-average discount rate:
Operating leases6.4 %5.5 %
Finance leases2.8 %2.7 %

    The following table summarizes the supplemental cash flow information for 2024 and 2023 (in millions):

Year Ended December 31, 2024
Year Ended December 31, 2023
Cash paid for amounts included in the measurement of lease liabilities:
Operating cash flows from operating leases$59.5 $57.0 
Operating cash flows from finance leases0.1 0.1 
Financing cash flows from finance leases1.0 0.9 
Leased assets obtained in exchange for lease obligations:
Operating leases$61.9 $54.8 
Finance leases0.2 1.1 

108

AGCO CORPORATION
NOTES TO CONSOLIDATED FINANCIAL STATEMENTS - (Continued)

24.    REVENUE

Contract Liabilities

    Contract liabilities relate to the following: (1) unrecognized revenues where payment of consideration precedes the Company’s performance with respect to extended warranty and maintenance contracts and where the performance obligation is satisfied over time, (2) unrecognized revenues where payment of consideration precedes the Company’s performance with respect to precision agriculture technology services and where the performance obligation is satisfied over time and (3) unrecognized revenues where payment of consideration precedes the Company’s performance with respect to certain grain storage and protein production systems and where the performance obligation is satisfied over time.

    Significant changes in the balance of contract liabilities for the years ended December 31, 2024 and 2023 were as follows (in millions):

Year Ended December 31, 2024
Year Ended December 31, 2023
Balance at beginning of period$310.7 $239.0 
Acquisitions21.0  
Advance consideration received207.2 228.8 
Revenue recognized during the period for extended warranty contracts, maintenance services and technology services(156.6)(110.6)
Revenue recognized during the period related to grain storage and protein production systems(16.6)(53.7)
Divestiture
(10.9) 
Foreign currency translation(13.3)7.2 
Balance as of December 31$341.5 $310.7 

    The contract liabilities are classified as either "Accrued Expenses" or “Other current liabilities” and “Other noncurrent liabilities” in the Company’s Consolidated Balance Sheets. In 2024, the Company recognized approximately $139.2 million of revenue that was recorded as a contract liability at the beginning of 2024. In 2023, the Company recognized approximately $132.2 million of revenue that was recorded as a contract liability at the beginning of 2023.

Remaining Performance Obligations

    The estimated revenues expected to be recognized in the future related to performance obligations that are unsatisfied (or partially unsatisfied) as of December 31, 2024 are $133.3 million in 2025, $102.0 million in 2026, $58.9 million in 2027, $27.7 million in 2028 and $7.3 million thereafter, and relate primarily to extended warranty contracts. The Company applied the practical expedient in ASU 2014-09 and has not disclosed information about remaining performance obligations that have original expected durations of 12 months or less.

109

AGCO CORPORATION
NOTES TO CONSOLIDATED FINANCIAL STATEMENTS - (Continued)

Disaggregated Revenue

    Net sales for the year ended December 31, 2024 disaggregated by primary geographical markets and major products consisted of the following (in millions):

North
America
South
America
Europe/
Middle East
Asia/
Pacific/Africa
Consolidated
Primary geographical markets:
United States$2,228.9 $ $ $ $2,228.9 
Canada488.6    488.6 
Germany  1,733.3  1,733.3 
France  1,383.5  1,383.5 
United Kingdom and Ireland  540.4  540.4 
Finland and Scandinavia  778.8  778.8 
Italy  386.6  386.6 
Other Europe  1,557.1  1,557.1 
Brazil 963.7   963.7 
Other South America 338.6   338.6 
Middle East and Algeria  433.2  433.2 
Africa   108.6 108.6 
Asia   258.9 258.9 
Australia and New Zealand   315.3 315.3 
Mexico, Central America and Caribbean132.8 13.6   146.4 
$2,850.3 $1,315.9 $6,812.9 $682.8 $11,661.9 
Major products:
Tractors$922.6 $781.2 $4,965.3 $390.2 $7,059.3 
Replacement parts409.5 159.4 1,156.5 102.4 1,827.8 
Grain storage and protein production systems552.0 107.4 100.6 72.5 832.5 
Combines, application equipment and other machinery966.2 267.9 590.5 117.7 1,942.3 
$2,850.3 $1,315.9 $6,812.9 $682.8 $11,661.9 


110

AGCO CORPORATION
NOTES TO CONSOLIDATED FINANCIAL STATEMENTS - (Continued)

    Net sales for the year ended December 31, 2023 disaggregated by primary geographical markets and major products consisted of the following (in millions):

North
America
South
America
Europe/
Middle East
Asia/
Pacific/Africa
Consolidated
Primary geographical markets:
United States$2,961.5 $ $ $ $2,961.5 
Canada637.9    637.9 
Germany  1,749.5  1,749.5 
France  1,494.3  1,494.3 
United Kingdom and Ireland  703.1  703.1 
Finland and Scandinavia  837.3  837.3 
Italy  457.1  457.1 
Other Europe  1,871.5  1,871.5 
Brazil 1,860.3   1,860.3 
Other South America 358.1   358.1 
Middle East and Algeria  427.7  427.7 
Africa   144.3 144.3 
Asia   362.7 362.7 
Australia and New Zealand   378.0 378.0 
Mexico, Central America and Caribbean153.3 15.8   169.1 
$3,752.7 $2,234.2 $7,540.5 $885.0 $14,412.4 
Major products:
Tractors$1,402.3 $1,288.4 $5,532.9 $487.4 $8,711.0 
Replacement parts421.0 167.5 1,124.7 102.8 1,816.0 
Grain storage and protein production systems614.5 155.9 155.3 136.9 1,062.6 
Combines, application equipment and other machinery1,314.9 622.4 727.6 157.9 2,822.8 
$3,752.7 $2,234.2 $7,540.5 $885.0 $14,412.4 
111

AGCO CORPORATION
NOTES TO CONSOLIDATED FINANCIAL STATEMENTS - (Continued)

    Net sales for the year ended December 31, 2022 disaggregated by primary geographical markets and major products consisted of the following (in millions):

North
America
South
America(1)
Europe/
Middle East
Asia/
Pacific/Africa
Consolidated(1)
Primary geographical markets:
United States$2,546.9 $ $ $ $2,546.9 
Canada490.2    490.2 
Germany  1,394.9  1,394.9 
France  1,220.1  1,220.1 
United Kingdom and Ireland  664.1  664.1 
Finland and Scandinavia  838.8  838.8 
Italy  421.7  421.7 
Other Europe  1,691.5  1,691.5 
Brazil 1,748.8   1,748.8 
Other South America 358.0   358.0 
Middle East and Algeria  216.2  216.2 
Africa   157.0 157.0 
Asia   384.2 384.2 
Australia and New Zealand   366.2 366.2 
Mexico, Central America and Caribbean138.0 14.9   152.9 
$3,175.1 $2,121.6 $6,447.3 $907.4 $12,651.4 
Major products:
Tractors$1,191.1 $1,147.2 $4,607.2 $478.6 $7,424.1 
Replacement parts405.6 154.5 1,021.5 105.6 1,687.2 
Grain storage and protein production systems585.9 188.3 172.3 155.4 1,101.9 
Combines, application equipment and other machinery992.5 631.7 646.3 167.8 2,438.3 
$3,175.1 $2,121.6 $6,447.3 $907.4 $12,651.4 
____________________________________
(1)    Rounding may impact the summation of amounts.
112

AGCO CORPORATION
NOTES TO CONSOLIDATED FINANCIAL STATEMENTS - (Continued)

25.    SEGMENT REPORTING

    The Company has four operating segments which are also its reportable segments which consist of the North America, South America, Europe/Middle East and Asia/Pacific/Africa regions. The Company’s reportable segments are geography based and distribute a full range of agricultural machinery and precision agriculture technology. The Company’s Chief Operating Decision Maker (“CODM”), Eric P. Hansotia, Chairman of the Board, President and Chief Executive Officer, evaluates segment performance primarily based on income from operations. The CODM utilizes income from operations to evaluate each segment’s performance including the allocation of resources. Sales for each segment are based on the location of the third-party customer. The Company’s selling, general and administrative expenses and engineering expenses are charged to each segment based on the region and division where the expenses are incurred. As a result, the components of income from operations for one segment may not be comparable to another segment. Segment results for the years ended December 31, 2024, 2023 and 2022 based on the Company’s reportable segments are as follows (in millions):

Years Ended December 31,North AmericaSouth AmericaEurope/Middle EastAsia/Pacific/Africa
Total Segments
2024
Net sales$2,850.3 $1,315.9 $6,812.9 $682.8 $11,661.9 
Cost of goods sold2,150.3 1,052.6 5,021.7 538.2 8,762.8 
Selling, general and administrative expenses378.7 111.5 578.4 98.9 1,167.5 
Engineering expenses145.5 47.4 287.1 13.0 493.0 
Income from operations$175.8 $104.4 $925.7 $32.7 $1,238.6 
Depreciation$63.1 $35.1 $137.9 $15.1 $251.2 
Assets1,527.9 946.9 2,841.4 697.7 6,013.9 
Capital expenditures66.2 44.7 278.8 3.6 393.3 
2023
Net sales$3,752.7 $2,234.2 $7,540.5 $885.0 $14,412.4 
Cost of goods sold2,788.6 1,629.9 5,514.0 702.5 10,635.0 
Selling, general and administrative expenses353.5 162.6 598.0 90.9 1,205.0 
Engineering expenses151.3 55.3 327.9 14.3 548.8 
Income from operations$459.3 $386.4 $1,100.6 $77.3 $2,023.6 
Depreciation$62.3 $35.5 $115.6 $17.0 $230.4 
Assets1,883.2 1,394.9 3,017.4 875.2 7,170.7 
Capital expenditures122.6 75.8 315.4 4.3 518.1 
2022
Net sales$3,175.1 $2,121.6 $6,447.3 $907.4 $12,651.4 
Cost of goods sold2,462.8 1,590.1 4,904.8 692.4 9,650.1 
Selling, general and administrative expenses305.3 121.9 492.4 83.8 1,003.4 
Engineering expenses128.2 35.7 266.0 14.3 444.2 
Income from operations$278.8 $373.9 $784.1 $116.9 $1,553.7 
Depreciation$60.5 $29.4 $104.7 $14.9 $209.5 
Assets1,790.3 1,259.8 2,475.6 650.5 6,176.2 
Capital expenditures119.6 54.4 207.4 6.9 388.3 
113

AGCO CORPORATION
NOTES TO CONSOLIDATED FINANCIAL STATEMENTS - (Continued)

    A reconciliation from the segment information to the consolidated balances for income (loss) from operations and total assets is set forth below (in millions):

202420232022
Segment income from operations$1,238.6 $2,023.6 $1,553.7 
Corporate expenses(212.3)(204.9)(153.4)
Amortization of intangibles(81.0)(57.7)(60.1)
Stock compensation expense(17.9)(44.6)(32.7)
Impairment charges(369.5)(4.1)(36.0)
Restructuring and business optimization expenses
(172.7)(11.9)(6.1)
Loss on sale of business
(507.3)  
Consolidated income (loss) from operations
$(122.1)$1,700.4 $1,265.4 
Segment assets$6,013.9 $7,170.7 $6,176.2 
Cash and cash equivalents612.7 595.5 789.5 
Investments in affiliates519.6 512.7 436.9 
Deferred tax assets, other current and noncurrent assets1,495.1 1,500.1 1,025.9 
Intangible assets, net728.9 308.8 364.4 
Goodwill1,820.4 1,333.4 1,310.8 
Consolidated total assets$11,190.6 $11,421.2 $10,103.7 

    Property, plant and equipment, right-of-use lease assets and amortizable intangible assets by country as of December 31, 2024 and 2023 was as follows (in millions):

20242023
United States$945.8 $587.3 
Germany658.4 587.7 
Brazil200.6 271.2 
Finland282.2 232.3 
France163.8 143.2 
Italy86.0 109.4 
China59.1 68.8 
Denmark5.2 66.2 
Other231.5 253.9 
$2,632.6 $2,320.0 
114

Item 9.        Changes in and Disagreements with Accountants on Accounting and Financial Disclosure

    None.

Item 9A.    Controls and Procedures

    The Company’s management, including the Chief Executive Officer and the Chief Financial Officer, does not expect that the Company’s disclosure controls or the Company’s internal controls will prevent all errors and all fraud. However, our principal executive officer and principal financial officer have concluded the Company’s disclosure controls and procedures are effective at the reasonable assurance level. A control system, no matter how well conceived and operated, can provide only reasonable, not absolute, assurance that the objectives of the control system are met. Further, the design of a control system must reflect the fact that there are resource constraints, and the benefits of controls must be considered relative to their costs. Because of the inherent limitations in all control systems, no evaluation of controls can provide absolute assurance that all control issues and instances of fraud, if any, have been detected. Because of the inherent limitations in a cost effective control system, misstatements due to error or fraud may occur and not be detected. We will conduct periodic evaluations of our internal controls to enhance, where necessary, our procedures and controls.

Evaluation of Disclosure Controls and Procedures

    Our Chief Executive Officer and Chief Financial Officer, after evaluating the effectiveness of our disclosure controls and procedures (as defined in Rule 13a-15(e) under the Securities Exchange Act of 1934, as amended) as of December 31, 2024, have concluded that, as of such date, our disclosure controls and procedures were effective at the reasonable assurance level. Disclosure controls and procedures include, without limitation, controls and procedures designed to ensure that information required to be disclosed by an issuer in the reports that it files or submits under the Exchange Act is accumulated and communicated to the issuer’s management, including its principal executive and principal financial officers, or persons performing similar functions, as appropriate to allow timely decisions regarding required disclosure.

Management’s Annual Report on Internal Control over Financial Reporting

    Management of the Company is responsible for establishing and maintaining effective internal control over financial reporting as defined in Rule 13a-15(f) under the Securities Exchange Act of 1934. The Company’s internal control over financial reporting is designed to provide reasonable assurance to the Company’s management and Board of Directors regarding the preparation and fair presentation of published financial statements for external purposes in accordance with generally accepted accounting principles. In assessing the effectiveness of the Company’s internal control over financial reporting, management used the criteria set forth by the Committee of Sponsoring Organizations of the Treadway Commission (COSO) in “Internal Control — Integrated Framework (2013).”

    On April 1, 2024, the Company completed the PTx Trimble joint venture transaction. The scope of management’s assessment of the effectiveness of the Company’s disclosure controls and procedures did not include the internal controls over financial reporting of the PTx Trimble joint venture. This exclusion is in accordance with the SEC Staff’s general guidance that an assessment of a recently acquired business may be omitted from the scope of management’s assessment for one year following the acquisition. The PTx Trimble joint venture represented approximately 1% of our net sales for the year ended December 31, 2024. Total assets of the PTx Trimble joint venture represented approximately 3% of total assets, excluding goodwill and intangible assets, as of December 31, 2024.

    Management assessed the effectiveness of the Company’s internal control over financial reporting as of December 31, 2024. Based on this assessment, management believes that, as of December 31, 2024, the Company’s internal control over financial reporting is effective based on the criteria referred to above.

    The effectiveness of the Company’s internal control over financial reporting as of December 31, 2024 has been audited by KPMG LLP, an independent registered public accounting firm, which also audited the Company’s Consolidated Financial Statements as of and for the year ended December 31, 2024. KPMG LLP’s report on internal control over financial reporting is set forth below.

Changes in Internal Control over Financial Reporting

    There were no changes in our internal control over financial reporting that occurred during the quarter ended December 31, 2024 that have materially affected, or are reasonably likely to materially affect, our internal control over financial reporting.
115

Report of Independent Registered Public Accounting Firm

To the Stockholders and Board of Directors
AGCO Corporation:

Opinion on Internal Control Over Financial Reporting

We have audited AGCO Corporation and subsidiaries’ (the Company) internal control over financial reporting as of December 31, 2024, based on criteria established in Internal Control — Integrated Framework (2013) issued by the Committee of Sponsoring Organizations of the Treadway Commission. In our opinion, the Company maintained, in all material respects, effective internal control over financial reporting as of December 31, 2024, based on criteria established in Internal Control — Integrated Framework (2013) issued by the Committee of Sponsoring Organizations of the Treadway Commission.

We also have audited, in accordance with the standards of the Public Company Accounting Oversight Board (United States) (PCAOB), the consolidated balance sheets of the Company as of December 31, 2024 and 2023, the related consolidated statements of operations, comprehensive income (loss), stockholders’ equity, and cash flows for each of the years in the three-year period ended December 31, 2024, and the related notes (collectively, the consolidated financial statements), and our report dated February 24, 2025 expressed an unqualified opinion on those consolidated financial statements.

The Company acquired PTx Trimble during 2024, and management excluded from its assessment of the effectiveness of the Company’s internal control over financial reporting as of December 31, 2024, PTx Trimble’s internal control over financial reporting associated with 3% of total assets and 1% of net sales included in the consolidated financial statements of the Company as of and for the year ended December 31, 2024. Our audit of internal control over financial reporting of the Company also excluded an evaluation of the internal control over financial reporting of PTx Trimble.

Basis for Opinion

The Company’s management is responsible for maintaining effective internal control over financial reporting and for its assessment of the effectiveness of internal control over financial reporting, included in the accompanying Management’s Annual Report on Internal Control over Financial Reporting. Our responsibility is to express an opinion on the Company’s internal control over financial reporting based on our audit. We are a public accounting firm registered with the PCAOB and are required to be independent with respect to the Company in accordance with the U.S. federal securities laws and the applicable rules and regulations of the Securities and Exchange Commission and the PCAOB.

We conducted our audit in accordance with the standards of the PCAOB. Those standards require that we plan and perform the audit to obtain reasonable assurance about whether effective internal control over financial reporting was maintained in all material respects. Our audit of internal control over financial reporting included obtaining an understanding of internal control over financial reporting, assessing the risk that a material weakness exists, and testing and evaluating the design and operating effectiveness of internal control based on the assessed risk. Our audit also included performing such other procedures as we considered necessary in the circumstances. We believe that our audit provides a reasonable basis for our opinion.

Definition and Limitations of Internal Control Over Financial Reporting

A company’s internal control over financial reporting is a process designed to provide reasonable assurance regarding the reliability of financial reporting and the preparation of financial statements for external purposes in accordance with generally accepted accounting principles. A company’s internal control over financial reporting includes those policies and procedures that (1) pertain to the maintenance of records that, in reasonable detail, accurately and fairly reflect the transactions and dispositions of the assets of the company; (2) provide reasonable assurance that transactions are recorded as necessary to permit preparation of financial statements in accordance with generally accepted accounting principles, and that receipts and expenditures of the company are being made only in accordance with authorizations of management and directors of the company; and (3) provide reasonable assurance regarding prevention or timely detection of unauthorized acquisition, use, or disposition of the company’s assets that could have a material effect on the financial statements.

Because of its inherent limitations, internal control over financial reporting may not prevent or detect misstatements. Also, projections of any evaluation of effectiveness to future periods are subject to the risk that controls may become inadequate because of changes in conditions, or that the degree of compliance with the policies or procedures may deteriorate.



116

/s/ KPMG LLP

Atlanta, Georgia
February 24, 2025

117

Item 9B.    Other Information

    During the three months ended December 31, 2024, none of our directors or officers (as defined in Rule 16a-1(f) of the Securities Exchange Act of 1934, as amended) adopted or terminated a Rule 10b5-1 trading arrangement or non-Rule 10b5-1 trading arrangement (as such terms are defined in Item 408 of Regulation S-K of the Securities Act of 1933).

Item 9C.    Disclosure Regarding Foreign Jurisdictions that Prevent Inspections

    Not applicable.

PART III

    The information called for by Items 10, 11, 12, 13 and 14, if any, will be contained in our Proxy Statement for the 2025 Annual Meeting of Stockholders, which we intend to file in March 2025.

Item 10        Directors, Executive Officers and Corporate Governance

    The information with respect to directors and committees required by this Item set forth in our Proxy Statement for the 2025 Annual Meeting of Stockholders in the sections entitled “Proposal Number 1 — Election of Directors” and “Board of Directors and Corporate Governance” is incorporated herein by reference. The information with respect to executive officers required by this Item set forth in our Proxy Statement for the 2025 Annual Meeting of Stockholders in the section entitled “Certain Officers” is incorporated herein by reference.

    See the information under the heading “Available Information” set forth in Part I of this Form 10-K. The code of conduct referenced therein applies to our principal executive officer, principal financial officer, principal accounting officer and the persons performing similar functions.

    We have adopted an insider trading policy governing the purchase, sale and other disposition of our securities by our directors, officers, and employees, and by the Company. We believe this policy is reasonably designed to promote compliance with insider trading laws, rules, and regulations and listing standards applicable to the Company. A copy of our insider trading policy is filed as Exhibit 19 to this Annual Report on Form 10-K.

Item 11.        Executive Compensation

    The information with respect to executive compensation and its establishment required by this Item set forth in our Proxy Statement for the 2025 Annual Meeting of Stockholders in the sections entitled “Board of Directors and Corporate Governance,” “2024 CEO Pay Ratio,” “Certain Officers” and “Talent and Compensation Committee Report” is incorporated herein by reference.

118

Item 12.        Security Ownership of Certain Beneficial Owners and Management and Related Stockholder Matters

(a)Securities Authorized for Issuance Under Equity Compensation Plans

    AGCO maintains its Plan pursuant to which we may grant equity awards to eligible persons. For additional information, see Note 15, “Stock Compensation Plans,” in the Notes to the Consolidated Financial Statements included in this filing. The following table gives information about equity awards under our Plan.

(a)(b)(c)
Plan CategoryNumber of Securities
to be Issued
upon Exercise
of Outstanding
Awards Under the Plans
Weighted-Average
Exercise Price
of Outstanding
Awards Under
the Plans
Number of Securities
Remaining Available for Future
Issuance Under Equity
Compensation Plans
(Excluding Securities Reflected
in Column (a)
Equity compensation plans approved by security holders879,102 $126.48 3,441,051 
Equity compensation plans not approved by security holders— — — 
Total879,102 $126.48 3,441,051 

(b)Security Ownership of Certain Beneficial Owners and Management

    The information required by this Item set forth in our Proxy Statement for the 2025 Annual Meeting of Stockholders in the section entitled “Principal Holders of Common Stock” is incorporated herein by reference.

Item 13.        Certain Relationships and Related Party Transactions, and Director Independence

    The information required by this Item set forth in our Proxy Statement for the 2025 Annual Meeting of Stockholders in the section entitled “Certain Relationships and Related Party Transactions” is incorporated herein by reference.

Item 14.        Principal Accounting Fees and Services

    The information required by this Item set forth in our Proxy Statement for the 2025 Annual Meeting of Stockholders in the sections entitled “Audit Committee Report” and “Board of Directors and Corporate Governance” is incorporated herein by reference.

119

PART IV

Item 15.        Exhibits and Financial Statement Schedules

The following documents are filed as part of this Form 10-K:

(1) The Consolidated Financial Statements, Notes to Consolidated Financial Statements, Report of Independent Registered Public Accounting Firm for AGCO Corporation are presented under Item 8 of this Form 10-K.

    All schedules have been omitted because the required information is contained in Notes to the Consolidated Financial Statements or because such schedules are not required or are not applicable.

(2) The following exhibits are filed or incorporated by reference as part of this report. Each management contract or compensation plan required to be filed as an exhibit is identified by an asterisk (*). The exhibits below may not include all instruments defining the rights of holders of long-term debt where the debt does not exceed 10% of the Company’s total assets. The Company agrees to furnish copies of those instruments to the Commission upon request.
Exhibit
Number
Description of ExhibitThe Filings Referenced for
Incorporation by Reference are
AGCO Corporation
April 1, 2024, Form 8-K, Exhibit 2.1
July 25, 2024, Form 8-K, Exhibit 2.1
June 30, 2002, Form 10-Q, Exhibit 3.1
October 31, 2022, Form 8-K, Exhibit 3.1
March 1, 2021, Form 10-K, Exhibit 4.1
October 7, 2021, Form 8-K, Exhibit 4.1
March 21, 2024, Form 8-K, Exhibit 4.1
March 21, 2024, Form 8-K, Exhibit 4.2
September 30, 2017, Form 10-Q, Exhibit 10.5
November 7, 2024, Form 10-Q, Exhibit 10.1
March 31, 2006, Form 10-Q, Exhibit 10.4
January 22, 2019, Form 8-K, Exhibit 10.2
January 13, 2023, Form 8-K, Exhibit 10.3
January 22, 2019, Form 8-K, Exhibit 10.1
January 13, 2023, Form 8-K, Exhibit 10.2
February 2, 2024, Form 8-K, Exhibit 10.1
January 31, 2025, Form 8-K, Exhibit 10.1
January 27, 2021, Form 8-K, Exhibit 10.1
January 13, 2023, Form 8-K, Exhibit 10.1
February 2, 2024, Form 8-K, Exhibit 10.2
January 31, 2025, Form 8-K, Exhibit 10.2
April 12, 2021, Form 8-K, Exhibit 10.1
August 9, 2022, Form 10-Q, Exhibit 10.2
December 31, 2015, Form 10-K, Exhibit 10.9
120

Exhibit
Number
Description of ExhibitThe Filings Referenced for
Incorporation by Reference are
AGCO Corporation
December 6, 2024, Form 8-K, Exhibit 10.1
February 25, 2022, Form 10-K, Exhibit 10.10
June 15, 2022, Form 8-K, Exhibit 10.1
December 31, 2017, Form 10-K, Exhibit 10.13
February 25, 2022, Form 10-K, Exhibit 10.13
February 27, 2024, Form 10-K, Exhibit 10.18
Filed herewith
Filed herewith
August 9, 2022, Form 10-Q, Exhibit 10.1
December 21, 2022, Form 8-K, Exhibit 10.1
February 27, 2024, Form 10-K, Exhibit 10.22
May 3, 2024, Form 10-Q, Exhibit 10.1
November 8, 2023, Form 10-Q, Exhibit 10.2
February 27, 2024, Form 10-K, Exhibit 10.24
September 30, 2015, Form 10-Q, Exhibit 10.1
March 31, 2019, Form 10-Q, Exhibit 10.1
April 16, 2024, Form 8-K, Exhibit 10.1
September 4, 2014, Form 8-K, Exhibit 10.2
September 4, 2014, Form 8-K, Exhibit 10.3
July 27, 2017, Form 8-K, Exhibit 10.1
July 27, 2017, Form 8-K, Exhibit 10.2
February 27, 2024, Form 10-K, Exhibit 10.31
July 27, 2017, Form 8-K, Exhibit 10.3
July 27, 2017, Form 8-K, Exhibit 10.4
121

Exhibit
Number
Description of ExhibitThe Filings Referenced for
Incorporation by Reference are
AGCO Corporation
February 27, 2024, Form 10-K, Exhibit 10.34
Filed herewith
Filed herewith
Filed herewith
Filed herewith
Filed herewith
Filed herewith
Filed herewith
Furnished herewith
February 27, 2024, Form 10-K, Exhibit 97.1
101
The following audited financial information from this Annual Report on Form 10-K for the year ended December 31, 2024, are formatted in Inline XBRL:
(i) Consolidated Statements of Operations;
(ii) Consolidated Statements of Comprehensive Income (Loss);
(iii) Consolidated Balance Sheets;
(iv) Consolidated Statements of Stockholders’ Equity;
(v) Consolidated Statements of Cash Flows; and
(vi) Notes to Consolidated Financial Statements.
Filed herewith
104
Cover Page Interactive Data File - the cover page from this Annual Report on Form 10-K for the year ended December 31, 2024 is formatted in Inline XBRL
Filed herewith

Item 16.        Form 10-K Summary

    None.
122

SIGNATURES

    Pursuant to the requirements of Section 13 or 15(d) of the Securities Exchange Act of 1934, the registrant has duly caused this report to be signed on its behalf by the undersigned, thereunto duly authorized.
AGCO Corporation
By:/s/ Eric P. Hansotia
Eric P. Hansotia
Dated:February 24, 2025Chairman of the Board, President
and Chief Executive Officer

    Pursuant to the requirements of the Securities Exchange Act of 1934, this report has been signed below by the following persons on behalf of the registrant in the capacities and on the date indicated.
SignatureTitleDate
/s/ Eric P. HansotiaChairman of the Board, President and Chief
Executive Officer
February 24, 2025
Eric P. Hansotia
/s/ Damon Audia
Senior Vice President and Chief Financial Officer
(Principal Financial Officer)
February 24, 2025
Damon Audia
/s/ Indira Agarwal
Vice President, Chief Accounting Officer
(Principal Accounting Officer)
February 24, 2025
Indira Agarwal
/s/ Michael C. Arnold*
DirectorFebruary 24, 2025
Michael C. Arnold
/s/ Sondra L. Barbour*
DirectorFebruary 24, 2025
Sondra L. Barbour
/s/ Suzanne P. Clark*
DirectorFebruary 24, 2025
Suzanne P. Clark
/s/ Bob De Lange*
DirectorFebruary 24, 2025
Bob De Lange
/s/ George E. Minnich*
DirectorFebruary 24, 2025
George E. Minnich
/s/ Niels Pörksen*
DirectorFebruary 24, 2025
Niels Pörksen
/s/ David Sagehorn*
DirectorFebruary 24, 2025
David Sagehorn
/s/ Mallika Srinivasan*
DirectorFebruary 24, 2025
Mallika Srinivasan
/s/ Matthew Tsien*
DirectorFebruary 24, 2025
Matthew Tsien
*By:/s/ Damon AudiaFebruary 24, 2025
Damon Audia
Attorney-in-Fact
123


02_AGCO_logo_with_descriptor_logo (1).jpg
124
agcoex1023-202410xk


 


 


 


 


 


 


 


 


 


 


 


 


 


 


 


 
agcoex1024-202410xk
- 1 – EMPLOYMENT AND SEVERANCE AGREEMENT This Employment and Severance Agreement (the “Agreement”), is entered into this 15th day of August 2022, by and between AGCO CORPORATION, a Delaware corporation (the “Company”), and Tim Millwood (the “Executive”). WITNESSETH: In consideration of the mutual covenants and agreements hereinafter set forth, the Company and the Executive do hereby agree as follows: 1. EMPLOYMENT. (a) The Company hereby employs the Executive, and the Executive hereby agrees to serve the Company, upon the terms and conditions set forth in this Agreement. (b) The employment term shall commence August 15, 2022 and shall continue in effect until terminated in accordance with Section 5 of this Agreement. 2. POSITION AND DUTIES. The Executive shall serve as a Senior Vice President of the Company and shall perform such duties and responsibilities as may from time to time be prescribed by the Company’s board of directors (the “Board”), provided that such duties and responsibilities are consistent with the Executive’s position. The Executive shall perform and discharge faithfully, diligently and to the best of his ability such duties and responsibilities and shall devote all of his working time and efforts to the business and affairs of the Company and its affiliates. The Executive agrees that, during his/her employment with Company, he/she will not perform any activities or services or accept such other employment that would be inconsistent with Company’s business or would in any way interfere with or present a conflict of interest concerning the Executive’s employment with the Company. During the two (2) years following a Change in Control (as defined herein), the Executive’s position (including offices, titles and reporting requirements), duties, and responsibilities shall not be reduced, and the Executive shall not be required to work at a location other than the location at which the Executive was based at the time of the Change in Control. 3. COMPENSATION. (a) BASE SALARY. The Company shall pay to the Executive an annual base salary of U.S. $475,000.00, payable in equal semi-monthly installments throughout the term of such employment subject to Section 5 hereof (except that the first and last semi-monthly installments may be prorated, if necessary) and subject to applicable tax and payroll deductions. The Company shall consider increases in the Executive’s Base Salary annually, and any such increase in salary implemented by the Company shall become the Executive’s Base Salary for purposes of this Agreement.


 
- 2 – (b) INCENTIVE COMPENSATION. Provided Executive has duly performed his/her obligations pursuant to this Agreement, the Executive shall be entitled to participate in the Management Incentive Plan and the Long-Term Incentive Plan that is implemented by the Company, subject to the terms and conditions of such plans. (c) EXECUTIVE NON-QUALIFIED DEFINED CONTRIBUTION PLAN. During the term of this Agreement, the Executive shall be entitled to participate in the AGCO Corporation Executive Non-Qualified Defined Contribution Plan (the “DC Plan”), subject to the terms and conditions of the DC Plan. (d) OTHER BENEFITS. During the term of this Agreement, the Executive shall be entitled to participate in the employee benefit plans and arrangements which are available to senior executive officers of the Company, including, without limitation, group health and life insurance, pension and savings, and the Senior Management Employment Policy, subject to the terms and conditions of such plans and arrangements. (e) FRINGE BENEFITS. The Company shall pay or reimburse the Executive promptly for all reasonable and necessary expenses incurred by him/her in connection with his/her duties hereunder, upon submission by the Executive to the Company of such written evidence of such expenses as the Company may require. Throughout the term of this Agreement, the Company will provide the Executive with the use of a vehicle for purposes within the scope of his/her employment and shall pay, or reimburse Executive for, all expenses for fuel, maintenance and insurance in connection with such use of the automobile. The Company shall make any such reimbursement or payments under this Section 3(e) as soon as administratively practicable following submission of such written evidence of such expenses as the Company may require, but in no event will such reimbursements or payments be made later than the last day of the Executive’s taxable year next following the Executive’s taxable year in which the Executive incurs the expense. The Company further agrees that the Executive shall be entitled to four (4) weeks of vacation in any year of the term of employment hereunder, subject to the terms of the Company’s vacation policy. (f) MODIFICATION OF BENEFITS. Without by implication limiting the foregoing, during the two (2) years following a Change in Control, the Executive’s compensation, including Base Salary, incentive compensation opportunity, DC opportunity, other benefits and fringe benefits shall not be reduced. Notwithstanding the foregoing, the Company shall be entitled to modify the group health benefits provided such modifications are applicable to all similarly situated executive officers and management employees. To the extent that the Company is not able to continue life, group health or similar benefits as a result of the terms of the applicable plans or insurance policies, the Company shall pay the Executive the cost, no less frequently than monthly, that the Executive must incur to obtain such benefits privately.


 
- 3 – (g) Notwithstanding the other provisions of this Agreement, all compensation or payments hereunder shall be subject to any “clawback” or similar or obligation required to be implemented by the Company by applicable law or stock exchange rule.


 
- 4 – 4. RESTRICTIVE COVENANTS (a) ACKNOWLEDGMENTS. The Executive acknowledges that as an Executive Officer of the Company (i) he/she frequently will be exposed to certain “Trade Secrets” and “Confidential Information” of the Company (as those terms are defined in Subsection 4(b)), (ii) his/her responsibilities on behalf of the Company will extend to all geographical areas where the Company is doing business, and (iii) any competitive activity on the executive part during the term of his/her employment and for a reasonable period thereafter would necessarily involve his/her use of the Company’s Trade Secrets and Confidential Information and, therefore, would unfairly threaten the Company’s legitimate business interests, including its substantial investment in the proprietary aspects of its business and the goodwill associated with its customer base. Moreover, the Executive acknowledges that, in the event of the termination of employment with the Company, he/she would have sufficient skills to find alternative, commensurate work in his/her field of expertise that would not involve a violation of any of the provisions of this Section 4. Therefore, the Executive acknowledges and agrees that it is reasonable for the Company to require him/her to abide by the covenants set forth in this Section 4. The parties acknowledge and agree that if the nature of the Executive’s responsibilities for or on behalf of the Company and the geographical areas in which the Executive must fulfill them materially change, the parties will execute appropriate amendments to the scope of the covenants in this Section 4. (b) DEFINTIONS. (i) “Business of Company” means designing, manufacturing, marketing, and distributing agricultural equipment. (ii) “Material Contact” as used in the non-solicitation provision below means personal contact or the supervision of the efforts of those who have personal contact with an existing or potential Customer or Vendor in an effort to further or create a business relationship between the Company and such existing or potential Customer or Vendor. (iii) “Confidential Information” means information about the Company, its Executives, and Customers which is not generally known outside of the Company, which the Executive learns of in connection with the Executive’s employment with the Company, and which would be useful to competitors of the Company or potentially harmful to the Company’s reputation. Confidential Information includes, but is not limited to: (1) business and employment policies, marketing methods and the targets of those methods, finances, business plans, promotional materials and price lists; (2) the terms upon which the Company hires employees and provides services to its Customers; (3) the nature, origin, composition and development of the Company’s products and services; and (4) the manner in which the Company provides products and services to its Customers.


 
- 5 – (iv) “Trade Secrets” means Confidential Information which meets the additional requirements of the Georgia Trade Secrets Act. (v) “Territory” means those countries and areas as more particularly set forth on Exhibit A attached hereto. (c) COVENANT OF CONFIDENTIALITY. During the term of this Agreement, the Executive agrees only to use and disclose Confidential Information in connection with his/her duties hereunder and to otherwise maintain the secrecy of the same. The Executive agrees that for a period of five years following the cessation of his/her employment for any reason, he/she shall not directly or indirectly divulge or make use of any Confidential Information or Trade Secrets of the Company without prior written consent of the Company. The Executive further agrees that if questioned about information subject to this Agreement by anyone not authorized to receive such information, he/she will promptly notify the General Counsel. This Agreement does not limit the remedies available under common or statutory law, which may impose longer duties of non-disclosure. The Executive will immediately notify the General Counsel if he/she receives any subpoenas which could require the disclosure of Confidential Information, so that the Company may take whatever actions it deems necessary to protect its interests. For the avoidance of doubt, nothing herein shall limit Executive's ability to report violations of law to the Securities and Exchange Commission or other governmental authority or to respond to inquiries from a governmental authority. (d) COVENANT OF NON-COMPETITION. The Executive agrees that while employed by the Company and for a period of twenty-four (24) months following the cessation of his/her employment for any reason, he/she will not compete with the Business of Company by performing services of the same or similar type as those performed for the Company as an employee, contractor, consultant, officer, director or agent for any person or entity engaged in the Business of Company. Likewise, the Executive will not perform activities of the type which in the ordinary course of business would involve the utilization of Confidential Information or Trade Secrets protected from disclosure by Section 4 (c) of this Agreement. This paragraph restricts competition only within the Territory. (e) COVENANT OF NON-SOLICITATION. The Executive agrees that while employed by the Company and for a period of twenty-four (24) months following the cessation of his employment for any reason, he/she will not directly or indirectly solicit or attempt to solicit any business in competition with the Business of Company from any of the Customers with whom the Executive had Material Contact within the last 18 months of his/her employment with the Company. The Executive further agrees that for a period of twenty-four (24) months following the cessation of employment, he/she will not directly or indirectly solicit or attempt to solicit any Vendors of the Company with whom the Executive had Material Contact during the last 18 months of his employment with the Company to provide services to any person or entity which competes with the Business of Company. (f) COVENANT OF NON-RECRUITMENT. The Executive agrees that while employed by the Company and for a period of twenty-four (24) months following the


 
- 6 – cessation of his/her employment for any reason, he/she will not directly or indirectly solicit or attempt to solicit any other employee of the Company for the purpose of encouraging, enticing, or causing said employee to voluntarily terminate employment with the Company. (g) COVENANT TO RETURN PROPERTY AND INFORMATION. The Executive agrees to return all of the Company’s property within seven (7) days following the cessation of his/her employment for any reason. Such property includes, but is not limited to, the original and any copy (regardless of the manner in which it is recorded) of all information provided by the Company to the Executive, or which the Executive has developed or collected in the scope of his/her employment with the Company, as well as all Company-issued equipment, supplies, accessories, vehicles, keys, instruments, tools, devices, computers, cell phones, pagers, materials, documents, plans, records, notebooks, drawings, or papers. (h) ASSIGNMENT OF WORK PRODUCT AND INVENTIONS. The Executive hereby assigns and grants to the Company (and will upon request take any actions needed to formally assign and grant to the Company and/or obtain patents, trademark registrations or copyrights belonging to the Company) the sole and exclusive ownership of any and all inventions, information, reports, computer software or programs, writings, technical information or work product collected or developed by the Executive, alone or with others, during the term of the Executive's employment. This duty applies whether or not the forgoing inventions or information are made or prepared in the course of employment with the Company, so long as such inventions or information relate to the Business of Company and have been developed in whole or in part during the term of the Executive's employment. The Executive agrees to advise the Company in writing of each invention that Executive, alone or with others, makes or conceives during the term of Executive's employment. Inventions which the Executive developed before the Executive came to work for the Company, if any, are as follows: _____________________________________________________________________. (i) REMEDIES FOR VIOLATION OF RESTRICTIVE COVENANTS. The Executive acknowledges that the Company would suffer irreparable harm if the Executive fails to comply with the foregoing, and that the Company would be entitled to any appropriate relief, including money damages, injunctive and other equitable relief and attorneys' fees. The Executive agrees that the pendency of any claim whatsoever against the Company shall not constitute a defense to the enforcement of these restrictive covenants. (j) SEVERABILITY. In the event that any one or more of the provisions of these restrictive covenants shall be held to be invalid, illegal or unenforceable, the validity, legality and enforceability of the remaining provisions shall not in any way be affected or impaired thereby. Moreover, if any one or more of the provisions contained in these restrictive covenants shall be held to be excessively broad as to duration, activity or subject, the parties authorize the Court in which such action is pending to modify said covenants and enforce them to the extent that the Court deems reasonable.


 
- 7 – 5. TERMINATION. (a) DEATH. Executive’s employment shall terminate upon the death of the Executive. (b) DISABILITY. Executive’s employment shall terminate upon a finding that the Executive is disabled under the Company’s group long term disability plan. (c) CAUSE. The Company may terminate the Executive’s employment hereunder for Cause by giving written Notice of Termination (as defined in Section 5(e)) to the Executive. For the purposes of this Agreement, the Company shall have “Cause” to terminate the Executive’s employment hereunder upon: (i) the conviction of Executive of, or the entry of a plea of guilty, first offender probation before judgment, or nolo contendere by Executive to, any felony; (ii) fraud, misappropriation or embezzlement by Executive; (iii) Executive's willful failure or gross negligence in the performance of the Executive assigned duties for the Company, which failure or negligence continues for more than or was not remedied within thirty (30) calendar days following Executive's receipt of written notice of such willful failure or gross negligence; (iv) Executive's failure to follow reasonable and lawful directives of the Board or his breach of his/her fiduciary duty to the Company, which failure is not remedied within thirty (30) calendar days following Executive's receipt of written notice of such failure; (v) any act or omission of Executive that has a demonstrated and material adverse impact on the Company's business or reputation for honesty and fair dealing, other than an act or failure to act by Executive in good faith and without reason to believe that such act or failure to act would adversely impact on the Company's business or reputation for honesty and fair dealing; or (vi) the breach by Executive of any material term of this Agreement, which breach continues for more than or was not remedied within thirty (30) calendar days following Executive's receipt of written notice of such breach. (d) WITHOUT CAUSE; GOOD REASON. (i) The Company may terminate the Executive's employment hereunder without Cause, by giving written Notice of Termination to the Executive. (ii) The Executive may terminate his employment hereunder, by giving written Notice of Termination to the Company. For the purposes of this Agreement, the Executive shall have "Good Reason" to terminate his/her employment hereunder upon certain circumstances, including but not limited to: (a) a substantial reduction in the Executive's aggregate Base Salary and incentive compensation opportunity taken as a whole, excluding any reductions caused by the performance of the Company or the Executive, including but not limited to, the failure by the Executive to achieve performance targets established from time to time by the Board and/or under the Annual Incentive Plan or Long Term Incentive Plan or from below budget performance by the


 
- 8 – Company, or (b) the Company’s failure to make payments of Base Pay and incentive compensation, but only in the case of (a) or (b) upon notice of such reduction or failure given by the Executive within ninety (90) days of the initial existence of the reduction or failure, the subsequent failure of the Company to cure the reduction or failure within thirty (30) days of such notice, and termination of employment by the Executive for Good Reason within sixty (60) days after the Company’s period for curing such reduction or failure has expired. (e) NOTICE OF TERMINATION. Any termination by the Company pursuant to the Subsections (b), (c) or (d)(i) above or by the Executive pursuant to Subsection (d)(ii) above, shall be communicated by written Notice of Termination from the party issuing such notice to the other party hereto. For purposes of this Agreement, a “Notice of Termination” shall mean a notice which shall indicate the specific termination provision of this Agreement relied upon and shall set forth in reasonable detail the facts and circumstances claimed to provide a basis for such termination. A date of termination specified in the Notice of Termination (other than pursuant to Subsection (d)(ii) above) shall not be dated earlier than ninety (90) days from the date such Notice is delivered or mailed to the applicable party (except in the event of notice under Subsection (c), which may specify an earlier termination date) and not later than two (2) years after the initial existence of the failure. (f) OBLIGATION TO PAY. Subject to Sections 6, 16 and 17 below, the Company shall (i) pay the compensation specified in this Subsection 5(f) to the Executive as set forth below for the period specified in this Subsection 5(f), and, except upon termination by the Company for Cause, voluntary termination by the Executive without Good Reason, (ii) if and to the extent the Executive (or Executive's representatives or dependents) timely elects COBRA continuation coverage, pay the Executive, no less frequently than monthly, the cost of COBRA premiums for a period of 18 months or such lesser period as the Executive continues to have COBRA continuation coverage, subject in the case of (i) and (ii) to the same payments by the Executive that the Executive was required to make prior to termination. Notwithstanding the foregoing, the Company shall be entitled to modify the group health benefits provided such modifications are applicable to all similarly situated executive officers and management employees. To the extent that the Company is not able to continue life or group health benefits as a result of the terms of the applicable plans or insurance policies, the Company shall pay the Executive the cost, no less frequently than monthly, that the Executive must incur to obtain such benefits privately. Any other vested benefits or other amounts, including both cash and stock components, which pursuant to the terms of any Company plans, policies or programs have been earned or become payable, but which have not yet been paid to the Executive, including without limitation under the Company’s Long-Term Incentive Plan and DC Plan, will be paid in accordance with terms and conditions of such plans, policies or programs. If the Executive’s employment shall terminate by reason of death, the estate of the Executive shall be paid (i) an amount equal to the Executive’s Base Salary (at the rate in effect on the date of such termination) through the end of the third month after the month in which the death


 
- 9 – of the Executive occurred in a single lump sum and (ii) the Executive’s Base Salary through the date of termination and all reimbursements and bonus amounts accrued or accruable to the Executive through the end of the month in which the death of the Executive occurred, within sixty (60) days after the termination of the Executive’s employment, and the Company shall have no further obligations to the Executive under this Agreement. If the Executive’s employment is terminated by reason of disability as determined under the Company’s long term disability plan, the Executive or the person charged with legal responsibility for the Executive’s estate shall be paid (i) Executive’s Base Salary through the date of termination and (ii) all reimbursements and bonus amounts accrued to the Executive through the date Executive’s employment is terminated, within sixty (60) days after the termination of the Executive’s employment, and the Company shall have no further obligations to the Executive under this Agreement. If the Executive’s employment shall be terminated for Cause, or the Executive shall voluntarily resign without Good Reason, the Company shall pay the Executive (i) his Base Salary through the date of termination specified in the Notice of Termination and (ii) all reimbursements accrued to the Executives through the date Executive’s employment is terminated (but excluding any bonuses accrued through such date), within sixty (60) days after the termination of the Executive’s employment, and the Company shall have no further obligations to the Executive under this Agreement. Unless such termination occurs within two (2) years following a Change in Control, if the Executive's employment shall be terminated by the Company without Cause or by the Executive for Good Reason (a “Non-Change in Control Termination”), subject to Sections 6, 16 and 17 below, the Company shall (i) pay Executive’s Base Salary and all reimbursements and bonus amounts accrued through the date of termination within sixty (60) days after the termination of the Executive’s employment, (ii) pay an amount equal to the Executive’s Base Salary (at the rate in effect on the date of such termination) through the end of the third month after the month in which the death of the Executive occurred in a single lump sum within sixty (60) days after the termination of the Executive’s employment, (iii) continue to pay the Executive an amount equal to the Executive’s Base Salary (at the rate in effect on the date of such termination) less the amount set forth in clause (ii) hereof in equal semi-monthly installments for a period of one (1) year beginning immediately after the date of such termination (such one (1) year period being referred to hereinafter for purposes of a Non-Change in Control Termination as the "Severance Period"), (iv) continue to provide no less frequently than monthly over the Severance Period Executive’s normal life insurance benefits, and (v) pay the Executive a pro rata portion of the bonus or other incentive benefits to which the Executive would have been entitled for the year of termination had the Executive remained employed for the entire year, which bonus or other incentive compensation shall be payable at the time such bonus or other incentive compensation is payable generally under the applicable incentive plans; provided, however, that notwithstanding the foregoing, the Executive shall not be entitled to any severance payments under clauses (ii) and (v) of this sentence that would be payable upon and after reaching age 65. Any payment due to the Executive with respect to clause (v) that is calculated based upon the Company’s Management Incentive Plan shall be reduced by any similar amounts received by the Executive under such plan to prevent


 
- 10 – duplication of any such payments. To the extent that the Company is not able to continue life benefits as a result of the terms of the applicable plans or insurance policies, the Company shall pay the Executive the cost, no less frequently than monthly during the Severance Period, that the Executive must incur to obtain such benefits privately. If within two (2) years following a Change in Control the Executive's employment shall be terminated by the Company without Cause or by the Executive for Good Reason (a “Change in Control Termination”), subject to Sections 6, 16 and 17 below, the Company shall (i) pay Executive’s Base Salary and all reimbursements and bonus amounts accrued through the date of termination within sixty (60) days after the termination of the Executive’s employment, (ii) pay an amount equal to the Executive’s Base Salary (at the rate in effect on the date of such termination) through the end of the third month after the month in which the death of the Executive occurred in a single lump sum within sixty (60) days after the termination of the Executive’s employment, (iii) pay the Executive an amount equal to two (2) times the Executive’s Base Salary (at the rate in effect on the date of such termination) less the amount set forth in clause (ii) hereof in a single lump sum within sixty (60) days after the termination of the Executive’s employment, (iv) continue to provide no less frequently than monthly over the two (2) year beginning immediately after the date of such termination (such two (2) year period being referred to hereinafter for purposes of a Change in Control Termination as the "Severance Period") Executive’s normal life insurance benefits, and (v) pay the Executive a pro rata portion of the bonus or other incentive benefits to which the Executive would have been entitled for the year of termination had the Executive remained employed for the entire year which bonus or other incentive compensation shall be payable at the time such bonus or other incentive compensation is payable generally under the applicable incentive plans, plus (vi) pay the Executive a bonus in an amount equal to the three (3) year average of the awards received by the participant during the prior two (2) completed years and the current year’s trend (based upon results through the month most recently complete prior to the termination, extrapolated for the complete year) multiplied by two (2) times in a single lump sum within sixty (60) days after the termination of the Executive’s employment. Any payment due to the Executive with respect to clause (v) and (vi) that is calculated based upon the Company’s Management Incentive Plan shall be reduced by any similar amounts received by the Executive under such plan to prevent duplication of any such payments. For the purposes of this Agreement, the term “Change in Control” shall mean change in the ownership of the Company, change in the effective control of the Company or change in ownership of a substantial portion of the Company’s assets, as described in Section 409A of the Code, including each of the following: (i) a change in the ownership of the Company occurs on the date that any one person, or more than one person acting as a group, acquires ownership of stock of the Company that, together with stock held by such person or group, possess more than fifty percent (50%) of the total fair market value or total voting power of the stock of the Company (unless any one person, or more than one person acting as a group, who is considered to own more than fifty percent (50%) of the total fair market value or total voting power of the stock of the Company, acquires additional stock); (ii) change in the effective control of the Company occurs on the date that either: any one person, or more than one person acting as a group, acquires (or has acquired during the twelve (12)-month period ending on the date of the most recent acquisition by such person or persons) ownership of stock of the Company possessing thirty percent (30%) or


 
- 11 – more of the total voting power of the stock of such Company or a majority of members of the Company’s Board is replaced during any twelve (12)-month period by directors whose appointment or election is not endorsed by a majority of the members of the Company’s Board prior to the date of the appointment or election of such new directors; or (iii) a change in the ownership of a substantial portion of the Company’s assets occurs on the date that any one person, or more than one person acting as a group, acquires (or has acquired during the twelve (12)-month period ending on the date of the most recent acquisition by such person or persons) assets from the Company that have a total fair market value equal to forty percent (40%) or more of the total fair market value of all of the assets of the Company immediately prior to such acquisition or acquisitions unless the assets are transferred to: a stockholder of the Company (immediately before the asset transfer) in exchange for or with respect to its stock; an entity, fifty percent (50%) or more of the total value or voting power of which is owned, directly or indirectly by the Company; a person, or more than one person acting as a group, that owns, directly or indirectly, fifty percent (50%) or more of the total value or voting power of all of the outstanding stock of the Company; or an entity, at least fifty percent (50%) of the total value or voting power is owned, directly or indirectly, by a person, or more than one person acting as a group, that owns directly or indirectly, fifty percent (50%) or more of the total value of voting power of all of the outstanding stock of the Company. The Executive shall have no further right to receive any other compensation, benefits or perquisites after the date of termination of employment except as determined under the terms of this Agreement or any applicable employee benefit plans or programs of the Company or under applicable law. 6. CONDITIONS APPLICABLE TO SEVERANCE PERIOD; MITIGATION OF DAMAGES (a) If during the Severance Period, the Executive breaches his/her obligations under Section 4 above, the Company may, upon written notice to the Executive, terminate the Severance Period and cease to make any further payments or provide any benefits described in Subsection 5(f) and/or require the Executive to return the gross amount of any payments previously received under this Agreement that the Executive was not otherwise entitled to receive. (b) Although the Executive shall not be required to mitigate the amount of any payment provided for in Subsection 5(f) by seeking other employment, except in the case of a Change in Control Termination, any such payments shall be reduced by any amounts which the Executive receives or is entitled to receive from another employer with respect to the Severance Period. The Executive shall promptly notify the Company in writing in the event that other employment is obtained during the Severance Period. 7. NOTICES. For the purpose of this Agreement, notices and all other communications to either party hereunder provided for in the Agreement shall be in writing and


 
- 12 – shall be deemed to have been duly given when delivered in person or mailed by certified first- class mail, postage prepaid, addressed: in the case of the Company to: AGCO Corporation 4205 River Green Parkway Duluth, Georgia 30096 Attention: General Counsel in the case of the Executive to: [REDACTED] or to such other address as either party shall designate by giving written notice of such change to the other party. 8. ARBITRATION. Any claim, controversy, or dispute arising between the parties with respect to this Agreement, to the maximum extent allowed by applicable law, shall be submitted to and resolved by binding arbitration. The arbitration shall be conducted pursuant to the terms of the Federal Arbitration Act and (except as otherwise specified herein) the Commercial Arbitration Rules of the American Arbitration Association in effect at the time the arbitration is commenced. The venue for the arbitration shall be the Atlanta, Georgia offices of the American Arbitration Association. Either party may notify the other party at any time of the existence of an arbitrable controversy by delivery in person or by certified mail of a Notice of Arbitrable Controversy. Upon receipt of such a Notice, the parties shall attempt in good faith to resolve their differences within fifteen (15) days after the receipt of such Notice. Notice to the Company and the Executive shall be sent to the addresses specified in Section 7 above. If the dispute cannot be resolved within the fifteen (15) day period, either party may file a written Demand for Arbitration with the American Arbitration Association’s Atlanta, Georgia Regional Office, and shall send a copy of the Demand for Arbitration to the other party. The arbitration shall be conducted before a panel of three (3) arbitrators. The arbitrators shall be selected as follows: (a) The party filing the Demand for Arbitration shall simultaneously specify his/her or its arbitrator, giving the name, address and telephone number of said arbitrator; (b) The party receiving such notice shall notify the party demanding the arbitration of his/her or its arbitrator, giving the name, address and telephone number of the arbitrator within five (5) days of the receipt of such Demand for Arbitration; (c) A neutral person shall be selected through the American Arbitration Association’s arbitrator selection procedures to serve as the third arbitrator. The arbitrator designated by any party need not be neutral. In the event that any person fails or refuses timely to name his/her arbitrator within the time specified in this Section 8, the American Arbitration Association shall (immediately upon notice from the other party) appoint an arbitrator. The arbitrators thus constituted shall promptly meet, select a


 
- 13 – chairperson, fix the time, date(s), and place of the hearing, and notify the parties. To the extent practical, the arbitrators shall schedule the hearing to commence within sixty (60) days after the arbitrators have been impaneled. A majority of the panel shall render an award within ten (10) days of the completion of the hearing, which award may include an award of interest, legal fees and costs of arbitration. The panel of arbitrators shall promptly transmit an executed copy of the award to the respective parties. The award of the arbitrators shall be final, binding and conclusive upon the parties hereto. Each party shall have the right to have the award enforced by any court of competent jurisdiction. Executive initials: Company initials: 9. NO WAIVER. No provision of this Agreement may be modified, waived or discharged unless such waiver, modification or discharge is approved by the Board and agreed to in a writing signed by the Executive and such officer as may be specifically authorized by the Board. No waiver by either party hereto at any time of any breach by the other party hereto of, or compliance with, any condition or provision of this Agreement to be performed by such other party shall be deemed a waiver of any other provisions or conditions of this Agreement at the same or at any prior or subsequent time. 10. SUCCESSORS AND ASSIGNS. The rights and obligations of the Company under this Agreement shall inure to the benefit of and be binding upon the successors and assigns of the Company and the Executive’s rights under this Agreement shall inure to the benefit of and be binding upon his heirs and executors. Neither this Agreement or any rights or obligations of the Executive herein shall be transferable or assignable by the Executive. 11. VALIDITY. The invalidity or unenforceability of any provision or provisions of this Agreement shall not affect the validity or enforceability of any other provisions of this Agreement, which shall remain in full force and effect. The parties intend for each of the covenants contained in Section 4 to be severable from one another. 12. SURVIVAL. The provisions of Section 4 hereof shall survive the termination of Executive’s employment and shall be binding upon the Executive’s personal or legal representative, executors, administrators, successors, heirs, distributees, devisees and legatees and the provisions of Section 5 hereof relating to payments and termination of the Executive’s employment hereunder shall survive such termination and shall be binding upon the Company. 13. COUNTERPARTS. This Agreement may be executed in one or more counterparts, each of which shall be deemed to be an original but all of which together will constitute one and the same instrument. 14. ENTIRE AGREEMENT. This Agreement constitutes the full agreement and understanding of the parties hereto with respect to the subject matter hereof and all prior or contemporaneous agreements or understandings are merged herein. The parties to this Agreement each acknowledge that both of them and their respective agents and advisors were active in the negotiation and drafting of the terms of this Agreement.


 
- 14 – 15. GOVERNING LAW. The validity, construction and enforcement of this Agreement, and the determination of the rights and duties of the parties hereto, shall be governed by the laws of the State of Georgia. 16. DEFERRED COMPENSATION PLAN OMNIBUS PROVISIONS. Notwithstanding any other provision of this Agreement, it is intended that any payment or benefit which is provided pursuant to or in connection with this Agreement which is considered to be deferred compensation subject to Section 409A of the Code shall be provided and paid in a manner, and at such time, including without limitation payment and provision of benefits only in connection with a permissible payment event contained in Section 409A (e.g., death or separation from service from the Company and its affiliates as defined for purposes of Section 409A of the Code), and in such form, as complies with the applicable requirements of Section 409A of the Code, to avoid the unfavorable tax consequences provided therein for non-compliance. For purposes of this Agreement, all rights to payments and benefits hereunder shall be treated as rights to receive a series of separate payments and benefits to the fullest extent allowed by Section 409A of the Code. If Executive is a “specified employee” (as defined in Section 409A of the Code) and any of the Company’s stock is publicly traded on an established securities market or otherwise, then payment of any amount or provision of any benefit under this Agreement which is considered to be deferred compensation subject to Section 409A of the Code shall be deferred for six (6) months as required by Section 409A(a)(2)(B)(i) of the Code (the “409A Deferral Period”). In the event such payments are otherwise due to be made in installments or periodically during the 409A Deferral Period, the payments which would otherwise have been made in the 409A Deferral Period shall be accumulated and paid in a lump sum as soon as the 409A Deferral Period ends, and the balance of the payments shall be made as otherwise scheduled. In the event benefits are required to be deferred, any such benefit may be provided during the 409A Deferral Period at Executive’s expense, with Executive having a right to reimbursement from the Company once the 409A Deferral Period ends, and the balance of the benefits shall be provided as otherwise scheduled. For purposes of this Agreement, any termination of employment will be read to mean a “separation from service” within the meaning of Section 409A of the Code where it is reasonably anticipated that no further services would be performed after such date or that the level of bona fide services Executive would perform after that date (whether as an employee or independent contractor) would permanently decrease to less than fifty percent (50%) of the average level of bona fide services performed over the immediately preceding thirty-six (36)-month period. Additionally, to the extent any amounts payable under this Agreement would constitute exempt separation pay if they were to not exceed two times the limit under Section 401(a)(17) of the Code, the amount of the payments that do not exceed two times the limit under Section 401(a)(17) of the Code shall be deemed to be the amounts paid earliest in time. 17. GOLDEN PARACHUTE PROVISIONS. Anything in this Agreement to the contrary notwithstanding, in the event it shall be determined that any payment or distribution by the Company to or for the benefit of the Executive (whether paid or payable or distributed or distributable pursuant to the terms of this Agreement or otherwise) (a “Payment”) would be


 
- 15 – subject to the excise tax (the “Excise Tax”) imposed by Section 4999 of the Code, then, prior to the making of any Payment to the Executive, a calculation shall be made comparing (i) the net benefit to the Executive of the Payment after payment of the Excise Tax to (ii) the net benefit to the Executive if the Payment had been limited to the extent necessary to avoid being subject to the Excise Tax. If the amount calculated under (i) above is less than the amount calculated under (ii) above, then the Payment shall be limited to the extent necessary to avoid being subject to the Excise Tax (the “Reduced Amount”). In that event, cash payments to be made at the latest time shall be modified or reduced first and then any other benefits. The determination of whether an Excise Tax would be imposed, the amount of such Excise Tax, and the calculation of the amounts referred to in clauses (i) and (ii) of the foregoing sentence shall be made by an independent accounting firm selected by Company and reasonably acceptable to the Executive, at the Company’s expense (the “Accounting Firm”), and the Accounting Firm shall provide detailed supporting calculations. Any determination by the Accounting Firm shall be binding upon the Company and the Executive. 18. COOPERATION. At the Company's expense, the Executive agrees to cooperate with the Company following the Executive’s termination for any reason to transition the Executive’s duties and responsibilities. At the Company's expense, the Executive also agrees to cooperate with the Company in connection with any litigation, investigation or other legal matters involving the Company. 19. PARTIES IN INTEREST. Nothing in this Agreement shall be construed to be to the benefit of any third party, nor is it intended that any provision herein shall be for the benefit of any third party. 20. OTHER CONTRACTUAL OBLIGATIONS. The Executive agrees and covenants that the Executive will not be in violation of any legal or contractual duty to which the Executive is subject, including any restriction on working with a competitor, soliciting certain customers or using or disclosing confidential information or trade secrets, by performing services pursuant to this Agreement. The Executive agrees that, should the Executive be found to have violated a legal or contractual duty as a result of performing services for the Company, the Executive will indemnify and hold harmless the Company for any damages, costs or attorney fees the Company incurs as a result of any legal proceeding, or threats thereof, brought against the Company for the performance of such services by the Executive. 21. NOTIFICATION OF NEW EMPLOYER. The Executive agrees that, in the event that the Executive leaves the employment of the Company for any reason, the Executive, for so long as any of the provisions of Section 4 remain applicable, will provide a copy of Section 4 to his new employer and consents to the notification of the Executive’s new employer of the rights and obligations set forth in Section 4. 22. MODIFICATION AND AMENDMENT. No provision of this Agreement may be modified or amended unless such modification or amendment is approved by the Board and agreed to in a writing signed by the Executive and the Company. No evidence of any purported modification or amendment shall be offered or received in evidence in any proceeding between the


 
- 16 – parties hereto arising out of or affecting this Agreement or the rights or obligations or any party hereunder, unless such modification or amendment complies with the foregoing. Notwithstanding anything else in this agreement or in any other agreement between you and the Company, or in any policy of the Company, you are in no way prevented, and the Company does not in any way intend to deter you or any other employee, from making a complaint or reporting a violation of law to, or cooperating with, the Securities and Exchange Commission or any other governmental authority. The Company will not in any way retaliate, or tolerate anyone else’s retaliation, against you or any other employee for taking any of these actions. IN WITNESS WHEREOF, the parties hereto have executed this Agreement. AGCO CORPORATION By: /s/ Eric Hansotia Name: Eric Hansotia Title: Chairman, President & Chief Executive Officer Date: 11/14/2024 EXECUTIVE By: /s/ Tim Millwood Name: Tim Millwood Date: 11/14/2024


 
- 17 – Exhibit A Territory for Purposes of Employment and Severance Agreement AFGHANISTAN ALBANIA ALGERIA ANGOLA ANTIGUA AND BARBUDA ARGENTINA AUSTRALIA AUSTRIA AZORES BAHRAIN BANGLADESH BARBADOS, WEST INDIES BELGIUM BENIN BOLIVIA BOSNIA BRAZIL BULGARIA BURUNDI CAMEROON CANADA CENTRAL AFRICAN REPUBLIC CHILE CHINA COLOMBIA CONGO CONGO, DEM REP COSTA RICA CROATIA CYPRUS CZECH REPUBLIC DENMARK DJIBOUTI ECUADOR EGYPT EL SALVADOR ESTONIA ETHIOPIA FIJI


 
- 18 – FINLAND FRANCE FRENCH GUIANA FRENCH POLYNESIA GABON GAMBIA GEORGIA GERMANY GHANA GREECE GUADELOUPE GUATEMALA GUYANA HAITI HONDURAS HONG KONG HUNGARY I.RO. IRAN ICELAND INDIA INDONESIA IRAQ IRELAND ISRAEL ITALY IVORY COAST JAMAICA, WEST INDIES JAPAN JORDAN KAZAKHSTAN KENYA KUWAIT LATVIA LEBANON LIBYA LITHUANIA LUXEMBOURG MACEDONIA MACEDONIA MADAGASCAR MALAWI MALAYSIA MALI MARTINIQUE MAURITIUS


 
- 19 – MEXICO MOROCCO MOZAMBIQUE MYANMAR NEPAL NETHERLANDS NEW CALEDONIA NEW ZEALAND NIGERIA NORWAY OMAN PAKISTAN PALESTINE PAPUA NEW GUINEA PERU PHILIPPINES POLAND PORTUGAL PUERTO RICO QATAR REP. OF PANAMA REP. OF ZAMBIA ROMANIA RUSSIA RWANDA SAMOA SAUDI ARABIA SENEGAL SERBIA AND MONTENEGRO SEYCHELLES SINGAPORE SLOVAKIA SLOVENIA SOLOMON ISLANDS SOUTH AFRICA SOUTH KOREA SPAIN SRI LANKA SUDAN SURINAME SWEDEN SWITZERLAND SYRIA TAIWAN TANZANIA


 
- 20 – THAILAND THE DEM. REP. OF THE CONGO TOGO TONGA TRINIDAD AND TOBAGO TUNISIA TURKEY UGANDA UKRAINE UNITED ARAB EMIRATES UNITED KINGDOM UNITED STATES OF AMERICA URUGUAY VIETNAM ZIMBABWE


 
agcoex191-202410xk
1 AGCO CORPORATION INSIDER TRADING POLICY (As amended through July 11, 2023) 1. PURPOSE AND GENERAL OVERVIEW This Insider Trading Policy (this "Policy") of AGCO Corporation (together with its subsidiaries, "AGCO" or the "Company") sets forth the general standards for all employees, consultants, officers and directors with respect to engaging in transactions in AGCO's securities and securities of other publicly-traded companies. This Policy explains the prohibitions against "insider trading" based on U.S. federal securities laws and establishes the Company's policies and procedures to promote and monitor compliance with those laws. Violations of insider trading laws can, and often do, result in criminal investigations, prosecutions, disgorgement of trading profits, fines and prison sentences. Accordingly, your compliance with this Policy is of the utmost importance for both you and the Company. Questions regarding the prohibition on insider trading or concerning this Policy should be directed to AGCO's General Counsel. This Policy describes the general prohibition on insider trading applicable to all persons subject to this Policy and also additional restrictions on individuals who have been designated as "Insiders.". Insiders include members of the Company's Board of Directors, its "officers" (as defined in Rule 16a-1(f) under the Securities Exchange Act of 1934 (the "Exchange Act")) and any other employees designated by the General Counsel as "Insiders" who generally are more likely than other employees to be in possession of material nonpublic information due to the nature of their work at AGCO. 2. SCOPE OF THE POLICY Persons Covered. As an employee, consultant, officer or director of AGCO, this Policy applies to you. The same restrictions that apply to you also apply to your family members who reside with you, anyone else who lives in your household, and any family members who do not live in your household but whose transactions in Company Securities (defined below) are directed by you or are subject to your influence or control (such as parents or children who consult with you before they engage in transactions in Company Securities) (collectively referred to as "Family Members"). This Policy also applies to any entities that you influence or control, including any corporations, LLCs, partnerships or trusts (collectively referred to as "Controlled Entities"). Transactions by your Family Members and Controlled Entities should be treated for the purposes of this Policy and applicable securities laws as if they were for your own account. You are responsible for ensuring that the transactions of these other persons or entities do not violate this Policy and, therefore, you should make them aware of the need to confer with you before they engage in any transaction in Company Securities. Transactions Covered. Except as otherwise specified in this Policy under the heading "Transactions Excluded from this Policy," this Policy applies to all transactions in AGCO securities (collectively referred to in this Policy as "Company Securities"), including common stock, preferred stock, notes, and debentures, as well as to derivative securities relating to AGCO's stock, such as options and warrants, including those not issued by the Company, such as exchange-traded options, and other securities that are convertible into, settled in, or measured by reference to another Company Security, and securities attributable to an Insider under either Section 13 or Section 16 of the Securities Exchange Act of 1934 (the "Exchange Act"). This Policy also applies to transactions in the securities of certain companies with which AGCO or its subsidiaries do business. This Policy applies to transactions that occur even after you cease to be an employee, consultant, officer or director of AGCO for as long as you are in possession of material nonpublic information. 3. STATEMENT OF POLICY No person subject to this Policy who is aware of material nonpublic information relating to the Company may, directly or indirectly (including through Family Members, Controlled Entities or other persons):


 
2 • Engage in transactions in Company Securities, except as otherwise specified in this Policy under the heading "Transactions Excluded from this Policy;" • Recommend to others the purchase or sale of Company Securities; • Disclose material nonpublic information about the Company to persons (i) within the Company whose jobs do not require them to have that information, or (ii) outside of the Company, including, but not limited to, family, friends, business associates, investors and others, unless that disclosure is made in accordance with the Company's policies regarding the protection or authorized external disclosure of information regarding the Company; or • Assist anyone to engage in the above activities. In addition, no person subject to this Policy who, in the course of working for AGCO, learns of material nonpublic information about a company with which AGCO does business may trade in that company's securities until the information becomes public or is no longer material. Such companies include current or prospective suppliers or customers of AGCO, companies with which AGCO may be negotiating a major transaction, and companies that may be a party to potential corporate transactions, such as an acquisition, investment or sale. This Policy does not extend to trading in the securities of other companies where such trading is based upon your general knowledge of the industry and its prospects and not specific nonpublic information about AGCO or that company obtained as described above. There are no exceptions to this Policy, except as specifically noted herein. Transactions that may be necessary or justifiable for independent reasons (such as the need to raise money for an emergency expenditure), or small transactions, are not exceptions to this Policy. The securities laws do not recognize any mitigating circumstances, and, in any event, even the appearance of an improper transaction must be avoided to preserve the Company's reputation for adhering to the highest standards of conduct. 4. DEFINITION OF MATERIAL NONPUBLIC INFORMATION Material Information. Information is considered "material" if a reasonable investor would consider that information important in making a decision to buy, hold or sell securities. Any information that could be expected to affect the Company's stock price, whether it is positive or negative, should be considered material. There is no bright-line standard for assessing materiality; rather, materiality is based on an assessment of all of the facts and circumstances and is often evaluated by enforcement authorities and private plaintiffs with the benefit of hindsight. If you have a question about whether any particular item would be considered "material," the General Counsel should be consulted. While it is not possible to define all categories of material information, some examples of information that ordinarily would be regarded as material are: • Undisclosed earnings and other financial results of the Company; • Any earnings projections and other financial projections for the Company; • Any projections regarding the price of Company Securities; • Any proposal or negotiation for the acquisition of a material company, business or amount of assets, or the creation of a material joint venture or similar business enterprise in which the Company would be a participant; • Any material litigation or governmental proceeding or investigation concerning the Company or any of its officers, directors or employees, or any significant supplier or operation of the Company whether such proceeding is actual or threatened and any significant developments with respect to any such litigation, proceeding or investigation; • Any proposal or negotiation for the sale of a material amount of the Company's assets or of a significant portion of Company Securities, including mergers, tender offers and exchange offers; • Any major change in the corporate structure of the Company; • Any proposed public or private sale of Company Securities (debt or equity), any significant change in the level of borrowing by the Company, or Company redemptions or repurchases of its outstanding Company Securities; • Significant changes in Company management or key employees; • Any proposed significant new products or marketing plans of the Company;


 
3 • Any material write-up or write-down of assets or change in accounting methods; • Any actual or projected change in industry circumstances, competitive conditions or regulatory matters or other industry conditions that could significantly affect the Company's sales, earnings, financial position or future prospects; • Any proposed stock split or stock dividend; and • Any proposed change in cash dividends. When Information is Considered "Public." If you are aware of material nonpublic information, you may not trade until the information has been disclosed broadly to the marketplace (such as by press release, a filing with the Securities and Exchange Commission ("SEC"), or in limited cases posting on the Company's website) and the investing public has had time to absorb the information fully. To avoid the appearance of impropriety, as a general rule, information should not be considered fully absorbed by the marketplace until two full trading days have elapsed since the information was released. If, for example, the Company were to make a material announcement on a Monday before trading begins, you should not trade in Company Securities until Wednesday. If an announcement were made on a Friday after trading begins, Wednesday generally would be the first eligible trading day. The General Counsel can authorize exceptions to these time frames, but the exceptions likely would be very fact-specific and rare. 5. TRANSACTIONS EXCLUDED FROM THIS POLICY This Policy does not apply in the case of the following transactions, except as specifically noted: • Restricted Stock and Performance Awards. This Policy does not apply to the vesting of equity awards or the automatic exercise of a tax withholding right pursuant to which you have elected to have the Company withhold shares of stock to satisfy tax withholding requirements upon the vesting of equity awards. The Policy does apply, however, for any sale of common stock received by you as a result of vesting, including for the purpose of paying taxes. • Bona Fide Gifts. Bona fide gifts of Company Securities are not transactions subject to this Policy, unless the person making the gift has reason to believe that the recipient intends to sell the Company Securities while the donor is aware of material nonpublic information. • Rule 10b5-1 Plans. Rule 10b5-1 under the Exchange Act provides a defense from insider trading liability to a person who enters a trading plan for transactions in Company Securities that meets the conditions specified in Rule 10b5-1. A Rule 10b5-1 plan must be entered into at a time when the person is not aware of material nonpublic information. Once the plan is adopted, the person must not exercise any influence over the amount of securities to be traded, the price at which they are to be traded or the date of the trade. The plan must either specify the amount, pricing and timing of transactions in advance or delegate discretion on these matters to an independent third party. There are other constraints on using Rule 10b5-1 plans, including cooling off periods (generally 90 days) before trades can be executed and limitations on having multiple Rule 10b5-1 plans in effect at the same time. You should discuss the advisability of, and terms and process for implementing, a Rule 10b5-1 plan with your broker, financial advisor or legal advisor. However, any employee, consultant, officer or director of AGCO who wishes to enter into, modify, or terminate a Rule 10b5-1 plan must pre-clear the plan (and any modification to the plan) with the General Counsel prior to entering into the plan (or modification), and must also provide the General Counsel a copy of any Rule 10b5-1 plan immediately following its execution. You should be aware that the Company is obligated to publicly disclose Rule 10b5-1 plans entered into by officers and directors, including their basic terms, but not the price at which trades are executed. o Note: Although Rule 10b5-1 plans may help avoid trading while in possession of material nonpublic information, they do not eliminate the requirements and prohibitions contained in other relevant securities laws. Any transactions pursuant to a Rule 10b5-1 plan must still comply with the Section 16 reporting requirements and short-swing liability rules under the Exchange Act and with Rule 144 under the Securities Act of 1933 (the “Securities Act"). (See "Additional Restrictions Applicable for Insiders – Reporting Requirements" and "Additional Restrictions Applicable for Insiders – Short-Swing Profits" below for more information about these requirements.)


 
4 6. PENALTIES FOR NONCOMPLIANCE U.S. Federal and state securities laws prohibit the purchase or sale of securities while you are in possession of material nonpublic information as well as the disclosure of material nonpublic information to others who then trade in a company's securities (sometimes called "tipping"). Insider trading violations are pursued vigorously by the SEC, U.S. Attorneys, and state enforcement authorities as well as the authorities in foreign jurisdictions. Punishment for insider trading violations is severe, almost always includes disgorgement of the profit earned (or a multiple of that profit), and may include significant fines and imprisonment. While the regulatory authorities concentrate their efforts on the individuals who trade, or who tip inside information to others who trade, the federal securities laws also impose potential liability on companies and other "controlling persons" if they fail to take reasonable steps to prevent insider trading by company personnel. Failure to comply with this Policy may also subject you to Company-imposed sanctions, including dismissal for cause, whether or not the failure to comply with this Policy results in a violation of law. A violation of law, or even questionable conduct that leads to federal investigation that does not result in prosecution, can tarnish an individual's reputation and irreparably damage a career. Any failure to fully cooperate with an investigation, whether conducted by the Company or the government, also is subject to Company imposed sanctions, including dismissal for cause. 7. INDIVIDUAL RESPONSIBILITY Persons subject to this Policy have ethical and legal obligations to maintain the confidentiality of information about the Company and to not engage in transactions in Company Securities while in possession of material nonpublic information. You are individually responsible for ensuring that you (and your Family Members and Controlled Entities) do not engage in prohibited insider trading. You (and your Family Members and Controlled Entities) should use good judgment to be sure you are not trading in Company Securities while in possession of material nonpublic information. In all cases, the responsibility for determining whether an individual is in possession of material nonpublic information rests with that individual, and any action on the part of the Company, the General Counsel or any other employee or director pursuant to this Policy (or otherwise) does not in any way constitute legal advice or insulate an individual from liability under applicable securities laws. Administration and Company Assistance with this Policy AGCO's General Counsel is responsible for administering this Policy. Any person who has a question about this Policy or its application to any proposed transaction may obtain additional guidance from the General Counsel, who can be reached by telephone at 001-770-232-8276 or by e-mail at Roger.Batkin@AGCOcorp.com. 8. ADDITIONAL RESTRICTIONS APPLICABLE TO INSIDERS In addition to the general prohibitions on insider trading described above that apply to all persons subject to this Policy, directors, officers and certain other employees who have been notified of their designation as "Insiders" are subject to additional restrictions on trading. The provisions below will govern to the extent that any such requirement is more restrictive than the requirements set forth above. Window Period Requirement. Except for transactions specifically excluded above in the section "Transactions Excluded from this Policy," the Company requires that Insiders trade in Company Securities only during the period beginning after the second business day following the date of release of a quarterly or annual statement of earnings and ending at the close of the market on the last business day of that same month, i.e., the "window period." The Company will periodically issue detailed guidance and procedures to Insiders subject to the window period for trading in Company Securities. Trading during a window period minimizes the potential violation of insider trading laws because material financial information has just been released to the public. However, even during this trading window, an Insider who is in possession of any material nonpublic information should not trade in Company Securities until the information has been made disclosed publicly or is no longer material. In addition, the Company in its sole discretion may close a trading window if an event-specific blackout period discussed below is imposed and will re-open the trading window once the blackout period has ended.


 
5 Event-specific Blackout Periods. From time to time, an event may occur or may be anticipated to occur that is material to the Company and is known by only a few directors, officers, or other employees. So long as the event remains material and nonpublic, such directors, officers and other persons as are designated by the General Counsel may not engage in any transaction in Company Securities even during what would otherwise be a window period, except for transactions specifically excluded above in the section "Transactions Excluded from this Policy." The existence of an event-specific blackout will not be announced, other than to those who are, or might be, aware of the event giving rise to the blackout. Any person made aware of the existence of an event- specific blackout should not disclose the existence of the blackout to any other person. The failure of the General Counsel to designate a person as being subject to an event-specific blackout will not relieve that person of the obligation not to engage in any transaction while in possession of such material nonpublic information. Pre-Clearance Procedures. Even during trading windows, all Insiders and their related accounts, must receive clearance prior to effecting any trade in Company Securities (whether it be a purchase, sale or any other transfer, including a gift, pledge or loan). This clearance should be requested in writing from the General Counsel (or his delegates) at least two business days in advance of the proposed transaction. The General Counsel is under no obligation to approve a transaction submitted for preclearance, and may determine not to permit the transaction. If a person seeks pre-clearance and permission to engage in the transaction is denied, then he or she should refrain from initiating any transaction in Company Securities, and should not inform any other person of the restriction. Broker Interface Procedures. All Insiders must provide their brokers with a copy of this Policy and require their brokers to verify with the Company that any required pre-clearance has been obtained prior to effecting a trade in Company Securities, confirm that Rule 144 of the Securities Act has been complied with (including, if applicable, the filing of a Form 144 and compliance with volume limitations and manner of trade restrictions), and report the details of all transactions to the Company. Special and Prohibited Transactions. The Company considers it improper and inappropriate for Insiders to engage in short-term or speculative transactions in Company Securities. Accordingly, Insiders may not engage in any of the following transactions except as specifically noted: • Short-Term Trading. Short-term trading of Company Securities may be distracting and may unduly focus an Insider on the Company's short-term stock market performance instead of the Company's long- term business objectives. For these reasons, any Insider who purchases Company Securities in the open market may not sell any Company Securities of the same class during the six months following the purchase (or vice versa). In addition, Section 16(b) of the Exchange Act requires that any profit realized by a Section 16 Insider from such a short-term transaction must be paid to the Company (See "Short- Swing Profits" below). • Short Sales. Short sales of Company Securities (i.e., the sale of a security that the seller does not own) may evidence an expectation on the part of the seller that the securities will decline in value, and therefore have the potential to signal to the market that the seller lacks confidence in the Company's prospects. In addition, short sales may reduce a seller's incentive to seek to improve the Company's performance. For these reasons, short sales of Company Securities are prohibited. In addition, Section 16(c) of the Exchange Act prohibits Section 16 Insiders from engaging in short sales. • Exchange-Traded Options. Given the relatively short term of most exchange-traded options, transactions in options may create the appearance that an Insider is trading while in possession of material nonpublic information and focus an Insider's attention on short-term performance at the expense of the Company's long-term objectives. Accordingly, unless pre-approved by the General Counsel, transactions in put options, call options or other derivative securities regarding the Company, on an exchange or in any other organized market, are prohibited by this Policy. • Pledging and Hedging. Insiders are prohibited from, directly or indirectly, (1) pledging Company Securities, or (2) hedging with respect to Company Securities. For these purposes, (a) "pledging" includes the intentional creation of any form of pledge, security interest, deposit, lien or other hypothecation, including the holding of shares in a margin account, that entitles a third-party to foreclose against, or otherwise sell, any equity securities, whether with or without notice, consent, default or otherwise, but does not include either the involuntary imposition of liens, such as tax liens or liens


 
6 arising from legal proceedings, or customary purchase and sale agreements, such as Rule 10b5-1 plans, and (b) "hedging" includes any instrument or transaction, including put options and forward-sale contracts, through which the Insider offsets or reduces exposure to the risk of price fluctuations in a corresponding equity security. The pledging prohibition in this policy does not extend to Company Securities where the director or officer does not directly or indirectly control a majority of the equity securities of the owner of the Company Securities or otherwise directly control the Company Securities. Standing and Limit Orders. Standing and limit orders (except under approved Rule 10b5-1 plans as described above) create heightened risks for insider trading violations. There is no control over the timing of purchases or sales that result from standing instructions to a broker, and as a result the broker could execute a transaction when an Insider is in possession of material nonpublic information. The Company therefore discourages Insiders from placing standing or limit orders on Company Securities other than for short durations within a window period. Reporting Requirements. Many of the Company's Insiders, including all executive officers and directors ("Section 16 Insiders"), are subject to the reporting requirements of Section 16(a) of the Exchange Act. In order to monitor transactions of certain insiders, the SEC has reporting requirements that apply to most transactions in Company Securities by Section 16 Insiders. Although the Section 16(a) reporting requirements generally do not directly apply to Family Members and Controlled Entities, each Section 16 Insider is responsible for ensuring that transactions by Family Members and Controlled Entities are properly reported on the Section 16 Insider's reports and, therefore, each transaction in Company Securities should be promptly reported by Family Members and Controlled Entities to the respective Section 16 Insider. Section 16 obligations continue for up to six months following termination of employment or service. • SEC Forms. Section 16 Insiders generally are required to report their transactions in Company Securities on Forms 3s, 4s and 5s that are filed with the SEC. While these reporting requirements are the personal obligations of the individual Section 16 Insider, it is the Company's practice to provide assistance through the General Counsel. If you have any questions about whether or how Section 16 applies to your transactions, please seek additional guidance from the General Counsel. • Rule 144. The Company's Section 16 Insiders who are deemed "affiliates" of the Company also must comply with the reporting and other requirements of Rule 144 of the Securities Act. Rule 144 imposes various requirements, including volume limitations and manner of trade restrictions, on sales of Company Securities by affiliates. In general, for Section 16 • Insiders that are deemed "affiliates" of the Company, where the amount sold in any three- month period exceeds 5,000 shares or $50,000 in value, the Section 16 Insider is required to file a Form 144 with the SEC no later than the time the sale order is placed with a broker. Section 16 Insiders should make sure that their brokers are aware of the Rule 144 requirements and will make the required Rule 144 filing on theis behalf. See "Broker lnterface Procedures" above. Short-Swing Profits. Under Section 16(b) of the Exchange Act any "profit" realized by a Section 16 Insider on a "short-swing" transaction (meaning, a purchase and sale, or sale and purchase, of Company Securities within a period of less than six months) must be disgorged to the Company upon demand by the Company or any of the Company's stockholders. Liability under Section 16(b) is imposed in a mechanical fashion without regard to intent or mitigating factors. For this purpose, "profit" is calculated as the difference between the sale price and purchase price in the matching transactions, and may be unrelated to the actual gain on the shares sold. When computing recoverable profits on multiple purchases and sales within a six month period, the courts maximize the recovery by matching the lowest purchase price with the highest sale price, the next lowest purchase price with the next highest sale price, and so on. The use of this method makes it possible for a Section 16 Insider to sustain a net loss on a series of transactions while still having recoverable profits. The following are examples of how Section 16(b) would apply in hypothetical situations: • Example #1: Assume that a Section 16 Insider makes the following purchases and sales of AGCO's common stock at the following prices per share:


 
7 Transaction Date Shares Purchased Price Per Share Shares Sold Price Per Share January 1, 2013 1,000 $70 - - June 1, 2013 400 $55 - - July 1, 2013 400 $60 - - August 1, 2013 - - 500 $65 • In this example, there would be a short-swing profit of $4,500 that the Company would be required to recover. • To calculate the recoverable profit, match the highest price sold (500 shares on August 1 at $65 per share) with the lowest prices purchased within six months until all 500 shares are matched: 400 shares purchased on June 1 at $55 per share and 100 (of the 400) shares purchased on July 1 at $60. The total sales price is $32,500 (500 shares multiplied by $65). The total purchase price is $28,000 (400 shares multiplied by $55 and 100 shares multiplied by $60). The total recoverable profit is then $4,500 ($32,500 minus $28,000). • Note in this situation that for Section 16(b) purposes the purchase on January 1 (that is more than 6 months before the sale on August 1 and at a higher price) is irrelevant. Essentially, holding shares longer than 6 months prior to a sale does not cure a Section 16(b) violation if there are other purchase transactions that can be matched within a 6-month period. For Section 16(b) purposes, generally any purchase and sale within a 6- month period will be matched regardless of previous holdings. • Example #2: Assume that a Section 16 Insider makes the following purchases and sales of • AGCO's common stock at the following prices per share: Transaction Date Shares Purchased Price Per Share Shares Sold Price Per Share March 1, 2013 1,000 $70 - - June 1, 2013 - - 500 $60 August 1, 2013 500 $50 - - • In this example, there would be a short-swing profit of $5,000 that the Company would be required to recover. • It would appear in this case that no profit was realized since shares were purchased on March 1 at $70 per share and then later sold on June 1 at $60 per share. However, for Section 16(b) purposes the order of purchases and sales is not taken into account. In this case, the sale on June 1 of 500 shares at $60 would be matched with the purchase on August 1 of 500 shares at $50 even though the purchase came after the sale. By matching these two transactions together there would be a total purchase price of $25,000 (500 shares multiplied by $50) and a total sales price of $30,000 (500 shares multiplied by $60) for a recoverable profit of $5,000 ($30,000 - $25,000). The Section 16 rules are complicated and present ample opportunity for inadvertent error. There are some exceptions to the Section 16(b) matching process for transactions between the Company and the Section 16 Insider with respect to equity incentive plans. To avoid unnecessary costs and potential embarrassment, each Section 16 Insider is strongly encouraged to consult with his or her broker, financial advisor or legal advisor, or AGCO's General Counsel, regarding the potential applicability of Section 16(b) prior to engaging in any transaction in Company Securities. This Policy supersedes all prior AGCO Insider Trading Policies.


 
Document

AGCO CORP /DE
Exhibit 21.1(1)
12/31/2024
Wholly Owned Subsidiaries of AGCO CorporationCountry of
Jurisdiction
Ag-Chem Europe Fertilizer Equipment BVNetherlands
Ag-Chem Europe Industrial Equipment BVNetherlands
AGCO (Changzhou) Agricultural Machinery Co. LtdChina
AGCO (China) Investment Co., LtdChina
AGCO (Jining) Agricultural Machinery Co., LtdChina
AGCO A/SDenmark
AGCO ABSweden
AGCO Argentina SAArgentina
AGCO Australia LtdAustralia
AGCO Austria GmbHAustria
AGCO Canada LtdCanada
AGCO Contribution LLC
United States
AGCO Danmark A/SDenmark
AGCO Deutschland GmbHGermany
AGCO Distribution SASFrance
AGCO do Brasil Soluções Agrícolas LtdaBrazil
AGCO France SASFrance
AGCO Funding CompanyUnited Kingdom
AGCO GmbHGermany
AGCO GSI (Changzhou) Agriculture Equipment Co., Ltd
China
AGCO Hohenmölsen GmbHGermany
AGCO Holding BVNetherlands
AGCO Holdings (Hong Kong) LtdHong Kong
AGCO Holdings (Singapore) Pte. LtdSingapore
AGCO Holdings South AfricaSouth Africa
AGCO Hungary KftHungary
AGCO Iberia SASpain
AGCO International GmbHSwitzerland
AGCO International Holdings BVNetherlands
AGCO International LtdUnited Kingdom
AGCO Ireland LimitedIreland
AGCO Italia SpAItaly
AGCO LLCRussia
AGCO LtdUnited Kingdom
AGCO Manufacturing LtdUnited Kingdom
AGCO Mexico S de RL de CVMexico
AGCO Netherlands BVNetherlands
AGCO New Zealand LimitedNew Zealand
AGCO (NewCo1) GmbH
Germany
AGCO (NewCo2) GmbH
Germany
AGCO (NewCo3) GmbH
Germany
AGCO Pension Trust LtdUnited Kingdom



AGCO Power OyFinland
AGCO SASFrance
AGCO Services LtdUnited Kingdom
AGCO South Africa Pty LtdSouth Africa
AGCO Sp Z.o.oPoland
AGCO Suomi OyFinland
AGCO Tarim Makineleri Ticaret Ltd SirketiTurkey
AGCO Trading (India) Private LtdIndia
AGCO Ukraine LLCUkraine
AGCO Zambia LtdZambia
AgRevolution, LLCUnited States
Agri Park Distribution Co., LtdMorocco
Appareo Systems, LLCUnited States
Appareo Systems SASFrance
Eikmaskin ASNorway
Export Market Services LLCUnited States
Farmec SrlItaly
Farm Robotics and Automation S.L.
Spain
Fendt GmbHGermany
Fendt Immobilien GmbHGermany
Forage Company BVNetherlands
GSI Hungary KftHungary
Impulsora Inquo S.A de C.V
Mexico
Indamo SAArgentina
Intelligent Agricultural Solutions, LLCUnited States
Laverda AGCO SPAItaly
Massey Ferguson Corp.United States
Massey Ferguson Staff Pension Trust LtdUnited Kingdom
Massey Ferguson Works Pension Trust LtdUnited Kingdom
Precision Planting LLCUnited States
Sparex (Proprietary) LtdSouth Africa
Sparex (Tractor Accessories) LtdIreland
Sparex Agrirepuestos SLSpain
Sparex Australia PTY LtdAustralia
Sparex Belgium BVBABelgium
Sparex Canada LtdCanada
Sparex Handels-Und Vertriebs GmbHGermany
Sparex Holdings LtdUnited Kingdom
Sparex International LtdUnited Kingdom
Sparex Limited ApSDenmark
Sparex Limited Vestiging Holland BVNetherlands
Sparex LtdUnited Kingdom
Sparex Maschinensubehor Handelsgesellschaft m.b.HAustria
Sparex Mexicana S.A. de CVMexico
Sparex New Zealand LtdNew Zealand
Sparex Polska Sp. Z.o.o.Poland
Sparex Portugal Importacao e Comercio de Pecas LdaPortugal



Sparex S.A.R.L.France
Sparex Tarim Parca Sanayi Ve Ticaret Limited SirketiTurkey
Sparex, Inc.United States
Spenco Engineering Company LtdUnited Kingdom
The Galeo Group, LLCUnited States
The GSI Group (Shanghai) Co. Ltd
China
Unterstutzungskasse der Fella-Werke Gesellschaft mit beschankter HaftungGermany
Valtra Deutschland GmbHGermany
Valtra International BVNetherlands
Valtra OY ABFinland
50% or Greater Joint Venture Interests of the Registrant
AGCO Holdings (JCA) LLCUnited States
Bilberry SAS
France
JCA Industries ULCCanada
PTx Trimble LLC
United States
PTx Trimble Agricultura Ltda.
Brazil
PTx Trimble Sarl
France
PTx Trimble GmbH
Germany
PTx Trimble International Limited
United Kingdom
PTx Trimble General Services Limited
United Kingdom
PTx Trimble Technical Services Limited
United Kingdom
Spektra Agri Srl
Italy
Deutz AGCO Motores SAArgentina
CP GSI Machinery Co LtdChina
Groupement International De Mecanique Agricole SASFrance
Tecnoagro Maquinas Agrícolas LtdaBrazil
____________________________________
(1)    This exhibit does not include minority investments.

Document

Exhibit 22.1

List of Subsidiary Guarantors

    As of December 31, 2024, the 5.450% Senior Notes due 2027 and the 5.800% Senior Notes due 2034 issued by AGCO Corporation are guaranteed by the following direct and indirect subsidiaries of AGCO Corporation:

Name of SubsidiaryState or Other Jurisdiction of Incorporation or Organization
AGCO International Holdings B.V.The Netherlands
AGCO International GmbHSwitzerland
Massey Ferguson Corp.Delaware


Document
Exhibit 23.1

Consent of Independent Registered Public Accounting Firm
We consent to the incorporation by reference in the registration statements (No. 333-178399 and No. 333-142711) on Form S-8 and (No. 333-277740) on Form S-3 of our reports dated February 24, 2025, with respect to the consolidated financial statements of AGCO Corporation and the effectiveness of internal control over financial reporting.

/s/ KPMG LLP
Atlanta, Georgia
February 24, 2025


Document

Exhibit 24.1

Power of Attorney

    Know all men by these presents, that each person whose signature appears below, hereby constitutes and appoints Damon Audia and Roger N. Batkin his/her true and lawful attorneys-in-fact and agents, with full power of substitution and re-substitution, for him/her and in his/her name, place and stead, in any and all capacities, to sign the annual report on Form 10-K of AGCO Corporation for the fiscal year ended December 31, 2024 and any or all amendments or supplements thereto, and to file the same with all exhibits thereto and other documents in connection therewith, with the Securities and Exchange Commission, granting unto said attorneys-in-fact and agents full power and authority to do and perform each and every act and thing necessary or appropriate to be done with respect to the Form 10-K or any amendments or supplements thereto in and about the premises, as fully to all intents and purposes as he might or could do in person, hereby ratifying and confirming all that said attorneys-in-fact and agents or his substitute or substitutes, may lawfully do or cause to be done by virtue hereof.

SignatureDate
/s/ Eric P. HansotiaFebruary 24, 2025
Eric P. Hansotia
/s/ Michael C. ArnoldFebruary 24, 2025
Michael C. Arnold
/s/ Sondra L. BarbourFebruary 24, 2025
Sondra L. Barbour
/s/ Suzanne P. ClarkFebruary 24, 2025
Suzanne P. Clark
/s/ Bob De LangeFebruary 24, 2025
Bob De Lange
/s/ George E. MinnichFebruary 24, 2025
George E. Minnich
/s/ Niels PörksenFebruary 24, 2025
Niels Pörksen
/s/ David SagehornFebruary 24, 2025
David Sagehorn
/s/ Mallika SrinivasanFebruary 24, 2025
Mallika Srinivasan
/s/ Matthew TsienFebruary 24, 2025
Matthew Tsien

Document

Exhibit 31.1

Certification Pursuant to § 302 of the Sarbanes-Oxley Act of 2002

I, Eric P. Hansotia, certify that:

    1.    I have reviewed this Annual Report on Form 10-K of AGCO Corporation;

2.    Based on my knowledge, this report does not contain any untrue statement of a material fact or omit to state a material fact necessary to make the statements made, in light of the circumstances under which such statements were made, not misleading with respect to the period covered by this report;

3.    Based on my knowledge, the financial statements, and other financial information included in this report, fairly present in all material respects the financial condition, results of operations and cash flows of the registrant as of, and for, the periods presented in this report;

4.    The registrant’s other certifying officer(s) and I are responsible for establishing and maintaining disclosure controls and procedures (as defined in Exchange Act Rules 13a-15(e) and 15d-15(e)) and internal control over financial reporting (as defined in Exchange Act Rules 13a-15(f) and 15d-15(f)) for the registrant and have:

(a)Designed such disclosure controls and procedures, or caused such disclosure controls and procedures to be designed under our supervision, to ensure that material information relating to the registrant, including its consolidated subsidiaries, is made known to us by others within those entities, particularly during the period in which this report is being prepared;

(b)Designed such internal control over financial reporting, or caused such internal control over financial reporting to be designed under our supervision, to provide reasonable assurance regarding the reliability of financial reporting and the preparation of financial statements for external purposes in accordance with generally accepted accounting principles;

(c)Evaluated the effectiveness of the registrant’s disclosure controls and procedures and presented in this report our conclusions about the effectiveness of the disclosure controls and procedures, as of the end of the period covered by this report based on such evaluation; and

(d)Disclosed in this report any change in the registrant’s internal control over financial reporting that occurred during the registrant’s most recent fiscal quarter (the registrant’s fourth fiscal quarter in the case of an annual report) that materially affected, or is reasonably likely to materially affect, the registrant’s internal control over financial reporting; and

5.    The registrant’s other certifying officer(s) and I have disclosed, based on our most recent evaluation of internal control over financial reporting, to the registrant’s auditors and the audit committee of registrant’s board of directors (or persons performing the equivalent functions):

(a)All significant deficiencies and material weakness in the design or operation of internal control over financial reporting which are reasonably likely to adversely affect the registrant’s ability to record, process, summarize and report financial information; and

(b)Any fraud, whether or not material, that involves management or other employees who have a significant role in the registrant’s internal control over financial reporting.
Dated:February 24, 2025
/s/ Eric P. Hansotia
Eric P. Hansotia
Chairman of the Board, President and Chief Executive Officer

Document

Exhibit 31.2

Certification Pursuant to § 302 of the Sarbanes-Oxley Act of 2002

I, Damon Audia, certify that:

    1.    I have reviewed this Annual Report on Form 10-K of AGCO Corporation;

2.    Based on my knowledge, this report does not contain any untrue statement of a material fact or omit to state a material fact necessary to make the statements made, in light of the circumstances under which such statements were made, not misleading with respect to the period covered by this report;

3.    Based on my knowledge, the financial statements, and other financial information included in this report, fairly present in all material respects the financial condition, results of operations and cash flows of the registrant as of, and for, the periods presented in this report;

4.    The registrant’s other certifying officer(s) and I are responsible for establishing and maintaining disclosure controls and procedures (as defined in Exchange Act Rules 13a-15(e) and 15d-15(e)) and internal control over financial reporting (as defined in Exchange Act Rules 13a-15(f) and 15d-15(f)) for the registrant and have:

(a)Designed such disclosure controls and procedures, or caused such disclosure controls and procedures to be designed under our supervision, to ensure that material information relating to the registrant, including its consolidated subsidiaries, is made known to us by others within those entities, particularly during the period in which this report is being prepared;

(b)Designed such internal control over financial reporting, or caused such internal control over financial reporting to be designed under our supervision, to provide reasonable assurance regarding the reliability of financial reporting and the preparation of financial statements for external purposes in accordance with generally accepted accounting principles;

(c)Evaluated the effectiveness of the registrant’s disclosure controls and procedures and presented in this report our conclusions about the effectiveness of the disclosure controls and procedures, as of the end of the period covered by this report based on such evaluation; and

(d)Disclosed in this report any change in the registrant’s internal control over financial reporting that occurred during the registrant’s most recent fiscal quarter (the registrant’s fourth fiscal quarter in the case of an annual report) that materially affected, or is reasonably likely to materially affect, the registrant’s internal control over financial reporting; and

5.    The registrant’s other certifying officer(s) and I have disclosed, based on our most recent evaluation of internal control over financial reporting, to the registrant’s auditors and the audit committee of registrant’s board of directors (or persons performing the equivalent functions):

(a)All significant deficiencies and material weakness in the design or operation of internal control over financial reporting which are reasonably likely to adversely affect the registrant’s ability to record, process, summarize and report financial information; and

(b)Any fraud, whether or not material, that involves management or other employees who have a significant role in the registrant’s internal control over financial reporting.
Dated:February 24, 2025
/s/ Damon Audia
Damon Audia
Senior Vice President and Chief Financial Officer

Document

Exhibit 32.1

CERTIFICATION PURSUANT TO
18 U.S.C. SECTION 1350,
AS ADOPTED PURSUANT TO
SECTION 906 OF THE SARBANES-OXLEY ACT OF 2002

    The undersigned, as the Chairman of the Board, President and Chief Executive Officer and as the Senior Vice President and Chief Financial Officer of AGCO Corporation, respectively, certify that, to the best of their knowledge and belief, the Annual Report on Form 10-K for the year ended December 31, 2024 that accompanies this certification fully complies with the requirements of Section 13(a) of the Securities Exchange Act of 1934 and the information contained in the annual report fairly presents, in all material respects, the financial condition and results of operations of AGCO Corporation at the dates and for the periods indicated. The foregoing certifications are made pursuant to 906 of the Sarbanes-Oxley Act of 2002 (18 U.S.C. 1350) and shall not be relied upon for any other purpose.
 /s/ Eric P. Hansotia
 Eric P. Hansotia
 Chairman of the Board, President and Chief Executive Officer
February 24, 2025
 
 /s/ Damon Audia
 Damon Audia
 Senior Vice President and Chief Financial Officer
February 24, 2025


    A signed original of this written statement required by Section 906, or other document authenticating, acknowledging, or otherwise adopting the signature that appears in typed form within the electronic version of this written statement required by Section 906, has been provided to AGCO Corporation and will be retained by AGCO Corporation and furnished to the Securities and Exchange Commission or its staff upon request.